Chlorine Trifluoride And Water . It reacts with water to form chlorine and. Chlorine trifluoride reacts with uranium to form uranium hexafluoride and an interhalogen compound chlorine fluoride. The chemical equation is given below. Chlorine trifluoride (clf3) is toxic, corrosive, and incredibly reactive with practically every element on the. as an incredibly strong oxidising and fluorinating agent, chlorine trifluoride is extremely reactive with most materials, including water, glass, asbestos. It reacts with water to form chlorine and. chlorine trifluoride dissolves in water and to form hydrogen fluoride, hydrogen chloride and oxygen. Clf3 + 2h2o → 3hf + hcl + o2. The chemical equation is given below. Chlorine trifluoride appears as a colorless gas or green liquid with a pungent odor. The compound that can even set fire to glass. A colorless gas or green liquid with a pungent odor.
from www.youtube.com
chlorine trifluoride dissolves in water and to form hydrogen fluoride, hydrogen chloride and oxygen. Chlorine trifluoride (clf3) is toxic, corrosive, and incredibly reactive with practically every element on the. Clf3 + 2h2o → 3hf + hcl + o2. A colorless gas or green liquid with a pungent odor. as an incredibly strong oxidising and fluorinating agent, chlorine trifluoride is extremely reactive with most materials, including water, glass, asbestos. Chlorine trifluoride reacts with uranium to form uranium hexafluoride and an interhalogen compound chlorine fluoride. The chemical equation is given below. It reacts with water to form chlorine and. The compound that can even set fire to glass. The chemical equation is given below.
ClF3 Lewis Structure (Chlorine Trifluoride) YouTube
Chlorine Trifluoride And Water The chemical equation is given below. It reacts with water to form chlorine and. The chemical equation is given below. The compound that can even set fire to glass. The chemical equation is given below. as an incredibly strong oxidising and fluorinating agent, chlorine trifluoride is extremely reactive with most materials, including water, glass, asbestos. It reacts with water to form chlorine and. Chlorine trifluoride (clf3) is toxic, corrosive, and incredibly reactive with practically every element on the. Clf3 + 2h2o → 3hf + hcl + o2. Chlorine trifluoride appears as a colorless gas or green liquid with a pungent odor. Chlorine trifluoride reacts with uranium to form uranium hexafluoride and an interhalogen compound chlorine fluoride. chlorine trifluoride dissolves in water and to form hydrogen fluoride, hydrogen chloride and oxygen. A colorless gas or green liquid with a pungent odor.
From www.chegg.com
Solved 04 0/3 points Chlorine trifluoride is a highly Chlorine Trifluoride And Water The compound that can even set fire to glass. The chemical equation is given below. as an incredibly strong oxidising and fluorinating agent, chlorine trifluoride is extremely reactive with most materials, including water, glass, asbestos. It reacts with water to form chlorine and. It reacts with water to form chlorine and. Clf3 + 2h2o → 3hf + hcl +. Chlorine Trifluoride And Water.
From www.istockphoto.com
Chlorine Trifluoride Molecular Structure Isolated On White Stock Photo Chlorine Trifluoride And Water as an incredibly strong oxidising and fluorinating agent, chlorine trifluoride is extremely reactive with most materials, including water, glass, asbestos. Clf3 + 2h2o → 3hf + hcl + o2. The chemical equation is given below. Chlorine trifluoride appears as a colorless gas or green liquid with a pungent odor. The chemical equation is given below. It reacts with water. Chlorine Trifluoride And Water.
From stock.adobe.com
ClF3 Chlorine Trifluoride. Stock Photo Adobe Stock Chlorine Trifluoride And Water Chlorine trifluoride reacts with uranium to form uranium hexafluoride and an interhalogen compound chlorine fluoride. chlorine trifluoride dissolves in water and to form hydrogen fluoride, hydrogen chloride and oxygen. Chlorine trifluoride (clf3) is toxic, corrosive, and incredibly reactive with practically every element on the. The chemical equation is given below. as an incredibly strong oxidising and fluorinating agent,. Chlorine Trifluoride And Water.
From www.numerade.com
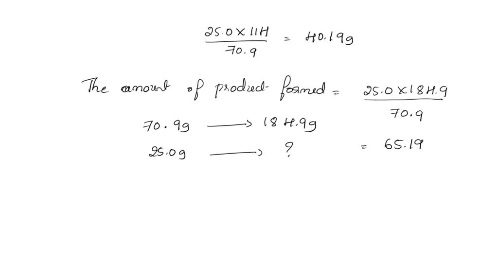
SOLVED 1) Chlorine gas reacts with fluorine gas to produce chlorine Chlorine Trifluoride And Water The chemical equation is given below. Chlorine trifluoride reacts with uranium to form uranium hexafluoride and an interhalogen compound chlorine fluoride. It reacts with water to form chlorine and. The chemical equation is given below. Chlorine trifluoride (clf3) is toxic, corrosive, and incredibly reactive with practically every element on the. Clf3 + 2h2o → 3hf + hcl + o2. A. Chlorine Trifluoride And Water.
From www.numerade.com
SOLVEDChlorine trifluoride, CIF3, is one of the most reactive Chlorine Trifluoride And Water The compound that can even set fire to glass. Chlorine trifluoride (clf3) is toxic, corrosive, and incredibly reactive with practically every element on the. Clf3 + 2h2o → 3hf + hcl + o2. The chemical equation is given below. Chlorine trifluoride appears as a colorless gas or green liquid with a pungent odor. chlorine trifluoride dissolves in water and. Chlorine Trifluoride And Water.
From www.studocu.com
Chemistry 101 Chapter 7 Part 3 Draw the Lewis structure of ClF₃ Chlorine Trifluoride And Water Chlorine trifluoride reacts with uranium to form uranium hexafluoride and an interhalogen compound chlorine fluoride. Chlorine trifluoride appears as a colorless gas or green liquid with a pungent odor. The chemical equation is given below. as an incredibly strong oxidising and fluorinating agent, chlorine trifluoride is extremely reactive with most materials, including water, glass, asbestos. A colorless gas or. Chlorine Trifluoride And Water.
From www.youtube.com
ClF3 Hybridization (Chlorine Trifluoride) YouTube Chlorine Trifluoride And Water Clf3 + 2h2o → 3hf + hcl + o2. chlorine trifluoride dissolves in water and to form hydrogen fluoride, hydrogen chloride and oxygen. Chlorine trifluoride appears as a colorless gas or green liquid with a pungent odor. The chemical equation is given below. as an incredibly strong oxidising and fluorinating agent, chlorine trifluoride is extremely reactive with most. Chlorine Trifluoride And Water.
From www.bigstockphoto.com
Chlorine Trifluoride Image & Photo (Free Trial) Bigstock Chlorine Trifluoride And Water A colorless gas or green liquid with a pungent odor. Clf3 + 2h2o → 3hf + hcl + o2. It reacts with water to form chlorine and. Chlorine trifluoride reacts with uranium to form uranium hexafluoride and an interhalogen compound chlorine fluoride. The chemical equation is given below. Chlorine trifluoride appears as a colorless gas or green liquid with a. Chlorine Trifluoride And Water.
From bilag.xxl.no
Draw The Lewis Structure For The Chlorine Trifluoride Molecule Chlorine Trifluoride And Water Chlorine trifluoride (clf3) is toxic, corrosive, and incredibly reactive with practically every element on the. It reacts with water to form chlorine and. Chlorine trifluoride appears as a colorless gas or green liquid with a pungent odor. Clf3 + 2h2o → 3hf + hcl + o2. chlorine trifluoride dissolves in water and to form hydrogen fluoride, hydrogen chloride and. Chlorine Trifluoride And Water.
From interestingengineering.com
Chlorine Trifluoride The Compound That Can Even Set Fire to Glass Chlorine Trifluoride And Water chlorine trifluoride dissolves in water and to form hydrogen fluoride, hydrogen chloride and oxygen. The chemical equation is given below. The chemical equation is given below. Chlorine trifluoride (clf3) is toxic, corrosive, and incredibly reactive with practically every element on the. A colorless gas or green liquid with a pungent odor. Chlorine trifluoride reacts with uranium to form uranium. Chlorine Trifluoride And Water.
From favpng.com
Chlorine Trifluoride Dichlorine Monoxide Chemistry Chloride, PNG Chlorine Trifluoride And Water The chemical equation is given below. Chlorine trifluoride (clf3) is toxic, corrosive, and incredibly reactive with practically every element on the. It reacts with water to form chlorine and. A colorless gas or green liquid with a pungent odor. as an incredibly strong oxidising and fluorinating agent, chlorine trifluoride is extremely reactive with most materials, including water, glass, asbestos.. Chlorine Trifluoride And Water.
From www.youtube.com
Molecular Structure of Chlorine Trifluoride Using VSEPR Theory Nature Chlorine Trifluoride And Water It reacts with water to form chlorine and. The chemical equation is given below. as an incredibly strong oxidising and fluorinating agent, chlorine trifluoride is extremely reactive with most materials, including water, glass, asbestos. The chemical equation is given below. chlorine trifluoride dissolves in water and to form hydrogen fluoride, hydrogen chloride and oxygen. Chlorine trifluoride reacts with. Chlorine Trifluoride And Water.
From www.alamy.com
Chlorine trifluoride is an interhalogen compound with the formula ClF3 Chlorine Trifluoride And Water The chemical equation is given below. A colorless gas or green liquid with a pungent odor. It reacts with water to form chlorine and. as an incredibly strong oxidising and fluorinating agent, chlorine trifluoride is extremely reactive with most materials, including water, glass, asbestos. chlorine trifluoride dissolves in water and to form hydrogen fluoride, hydrogen chloride and oxygen.. Chlorine Trifluoride And Water.
From www.bigstockphoto.com
Chlorine Trifluoride Image & Photo (Free Trial) Bigstock Chlorine Trifluoride And Water It reacts with water to form chlorine and. A colorless gas or green liquid with a pungent odor. The chemical equation is given below. The compound that can even set fire to glass. chlorine trifluoride dissolves in water and to form hydrogen fluoride, hydrogen chloride and oxygen. Clf3 + 2h2o → 3hf + hcl + o2. The chemical equation. Chlorine Trifluoride And Water.
From www.bigstockphoto.com
Chlorine Trifluoride Image & Photo (Free Trial) Bigstock Chlorine Trifluoride And Water The chemical equation is given below. It reacts with water to form chlorine and. A colorless gas or green liquid with a pungent odor. Chlorine trifluoride appears as a colorless gas or green liquid with a pungent odor. It reacts with water to form chlorine and. chlorine trifluoride dissolves in water and to form hydrogen fluoride, hydrogen chloride and. Chlorine Trifluoride And Water.
From www.chemistryworld.com
Chlorine trifluoride Podcast Chemistry World Chlorine Trifluoride And Water Chlorine trifluoride (clf3) is toxic, corrosive, and incredibly reactive with practically every element on the. A colorless gas or green liquid with a pungent odor. Chlorine trifluoride reacts with uranium to form uranium hexafluoride and an interhalogen compound chlorine fluoride. It reacts with water to form chlorine and. as an incredibly strong oxidising and fluorinating agent, chlorine trifluoride is. Chlorine Trifluoride And Water.
From www.alamy.com
Chlorine trifluoride is an interhalogen compound with the formula ClF3 Chlorine Trifluoride And Water chlorine trifluoride dissolves in water and to form hydrogen fluoride, hydrogen chloride and oxygen. Chlorine trifluoride appears as a colorless gas or green liquid with a pungent odor. A colorless gas or green liquid with a pungent odor. Chlorine trifluoride (clf3) is toxic, corrosive, and incredibly reactive with practically every element on the. It reacts with water to form. Chlorine Trifluoride And Water.
From www.numerade.com
SOLVED intermolecular forces (check all that apply) compound Chlorine Trifluoride And Water The compound that can even set fire to glass. Chlorine trifluoride appears as a colorless gas or green liquid with a pungent odor. It reacts with water to form chlorine and. It reacts with water to form chlorine and. The chemical equation is given below. The chemical equation is given below. chlorine trifluoride dissolves in water and to form. Chlorine Trifluoride And Water.
From www.studocu.com
Chlorine Trifluoride M.O. Diagram CHEM12A Studocu Chlorine Trifluoride And Water The compound that can even set fire to glass. The chemical equation is given below. A colorless gas or green liquid with a pungent odor. Chlorine trifluoride (clf3) is toxic, corrosive, and incredibly reactive with practically every element on the. as an incredibly strong oxidising and fluorinating agent, chlorine trifluoride is extremely reactive with most materials, including water, glass,. Chlorine Trifluoride And Water.
From de-academic.com
Chlor(III)fluorid Chlorine Trifluoride And Water chlorine trifluoride dissolves in water and to form hydrogen fluoride, hydrogen chloride and oxygen. Chlorine trifluoride appears as a colorless gas or green liquid with a pungent odor. Chlorine trifluoride reacts with uranium to form uranium hexafluoride and an interhalogen compound chlorine fluoride. It reacts with water to form chlorine and. The chemical equation is given below. The chemical. Chlorine Trifluoride And Water.
From www.shutterstock.com
14 Chlorine Trifluoride Stock Vectors and Vector Art Shutterstock Chlorine Trifluoride And Water Chlorine trifluoride (clf3) is toxic, corrosive, and incredibly reactive with practically every element on the. Chlorine trifluoride reacts with uranium to form uranium hexafluoride and an interhalogen compound chlorine fluoride. It reacts with water to form chlorine and. The chemical equation is given below. chlorine trifluoride dissolves in water and to form hydrogen fluoride, hydrogen chloride and oxygen. Clf3. Chlorine Trifluoride And Water.
From www.alamy.com
Chlorine trifluoride is an interhalogen compound with the formula ClF3 Chlorine Trifluoride And Water Chlorine trifluoride reacts with uranium to form uranium hexafluoride and an interhalogen compound chlorine fluoride. as an incredibly strong oxidising and fluorinating agent, chlorine trifluoride is extremely reactive with most materials, including water, glass, asbestos. The compound that can even set fire to glass. Chlorine trifluoride (clf3) is toxic, corrosive, and incredibly reactive with practically every element on the.. Chlorine Trifluoride And Water.
From www.youtube.com
ClF3 (Chlorine trifluoride) Molecular Geometry, Bond Angles,& Electron Chlorine Trifluoride And Water as an incredibly strong oxidising and fluorinating agent, chlorine trifluoride is extremely reactive with most materials, including water, glass, asbestos. chlorine trifluoride dissolves in water and to form hydrogen fluoride, hydrogen chloride and oxygen. A colorless gas or green liquid with a pungent odor. Clf3 + 2h2o → 3hf + hcl + o2. The compound that can even. Chlorine Trifluoride And Water.
From dbzwtolgeco.blob.core.windows.net
What Does Chlorine Trifluoride Look Like at Louise Campbell blog Chlorine Trifluoride And Water A colorless gas or green liquid with a pungent odor. Chlorine trifluoride appears as a colorless gas or green liquid with a pungent odor. The chemical equation is given below. as an incredibly strong oxidising and fluorinating agent, chlorine trifluoride is extremely reactive with most materials, including water, glass, asbestos. Chlorine trifluoride reacts with uranium to form uranium hexafluoride. Chlorine Trifluoride And Water.
From www.youtube.com
ClF3 Lewis Structure (Chlorine Trifluoride) YouTube Chlorine Trifluoride And Water The compound that can even set fire to glass. The chemical equation is given below. Chlorine trifluoride reacts with uranium to form uranium hexafluoride and an interhalogen compound chlorine fluoride. Clf3 + 2h2o → 3hf + hcl + o2. Chlorine trifluoride appears as a colorless gas or green liquid with a pungent odor. It reacts with water to form chlorine. Chlorine Trifluoride And Water.
From fity.club
Chlorine Trifluoride Chlorine Trifluoride And Water A colorless gas or green liquid with a pungent odor. Chlorine trifluoride reacts with uranium to form uranium hexafluoride and an interhalogen compound chlorine fluoride. The chemical equation is given below. Chlorine trifluoride appears as a colorless gas or green liquid with a pungent odor. It reacts with water to form chlorine and. as an incredibly strong oxidising and. Chlorine Trifluoride And Water.
From chemwatch.net
Chlorine Trifluoride Chemwatch Chlorine Trifluoride And Water as an incredibly strong oxidising and fluorinating agent, chlorine trifluoride is extremely reactive with most materials, including water, glass, asbestos. It reacts with water to form chlorine and. chlorine trifluoride dissolves in water and to form hydrogen fluoride, hydrogen chloride and oxygen. Chlorine trifluoride appears as a colorless gas or green liquid with a pungent odor. The compound. Chlorine Trifluoride And Water.
From www.bigstockphoto.com
Chlorine Trifluoride Image & Photo (Free Trial) Bigstock Chlorine Trifluoride And Water The compound that can even set fire to glass. The chemical equation is given below. A colorless gas or green liquid with a pungent odor. Chlorine trifluoride appears as a colorless gas or green liquid with a pungent odor. Clf3 + 2h2o → 3hf + hcl + o2. chlorine trifluoride dissolves in water and to form hydrogen fluoride, hydrogen. Chlorine Trifluoride And Water.
From www.bigstockphoto.com
Chlorine Trifluoride Image & Photo (Free Trial) Bigstock Chlorine Trifluoride And Water Chlorine trifluoride appears as a colorless gas or green liquid with a pungent odor. The chemical equation is given below. The compound that can even set fire to glass. It reacts with water to form chlorine and. A colorless gas or green liquid with a pungent odor. It reacts with water to form chlorine and. Chlorine trifluoride (clf3) is toxic,. Chlorine Trifluoride And Water.
From www.fity.club
Chlorine Trifluoride Chlorine Trifluoride And Water It reacts with water to form chlorine and. Clf3 + 2h2o → 3hf + hcl + o2. It reacts with water to form chlorine and. Chlorine trifluoride reacts with uranium to form uranium hexafluoride and an interhalogen compound chlorine fluoride. A colorless gas or green liquid with a pungent odor. chlorine trifluoride dissolves in water and to form hydrogen. Chlorine Trifluoride And Water.
From dokumen.tips
(PDF) Carbon dioxidewater oxygen isotope fractionation factor using Chlorine Trifluoride And Water A colorless gas or green liquid with a pungent odor. as an incredibly strong oxidising and fluorinating agent, chlorine trifluoride is extremely reactive with most materials, including water, glass, asbestos. The chemical equation is given below. The chemical equation is given below. Clf3 + 2h2o → 3hf + hcl + o2. Chlorine trifluoride appears as a colorless gas or. Chlorine Trifluoride And Water.
From www.sarthaks.com
Draw structures of (a) Chlorine trifluoride (b) Chlorine pentafluoride Chlorine Trifluoride And Water Chlorine trifluoride appears as a colorless gas or green liquid with a pungent odor. Chlorine trifluoride reacts with uranium to form uranium hexafluoride and an interhalogen compound chlorine fluoride. Clf3 + 2h2o → 3hf + hcl + o2. It reacts with water to form chlorine and. chlorine trifluoride dissolves in water and to form hydrogen fluoride, hydrogen chloride and. Chlorine Trifluoride And Water.
From www.pinterest.com
Chemistry Chemistry, Fields of science, Chemical Chlorine Trifluoride And Water as an incredibly strong oxidising and fluorinating agent, chlorine trifluoride is extremely reactive with most materials, including water, glass, asbestos. The chemical equation is given below. The compound that can even set fire to glass. Chlorine trifluoride reacts with uranium to form uranium hexafluoride and an interhalogen compound chlorine fluoride. chlorine trifluoride dissolves in water and to form. Chlorine Trifluoride And Water.
From www.youtube.com
How to Balance F2 + Cl2 = ClF3 (Fluorine gas + Chlorine gas) YouTube Chlorine Trifluoride And Water It reacts with water to form chlorine and. Chlorine trifluoride reacts with uranium to form uranium hexafluoride and an interhalogen compound chlorine fluoride. It reacts with water to form chlorine and. Clf3 + 2h2o → 3hf + hcl + o2. Chlorine trifluoride appears as a colorless gas or green liquid with a pungent odor. The chemical equation is given below.. Chlorine Trifluoride And Water.
From www.researchgate.net
Fluorine indiffusion and peeling of PPyC layer at various chlorine Chlorine Trifluoride And Water as an incredibly strong oxidising and fluorinating agent, chlorine trifluoride is extremely reactive with most materials, including water, glass, asbestos. chlorine trifluoride dissolves in water and to form hydrogen fluoride, hydrogen chloride and oxygen. Chlorine trifluoride appears as a colorless gas or green liquid with a pungent odor. The chemical equation is given below. Chlorine trifluoride (clf3) is. Chlorine Trifluoride And Water.