Sample Lesson Plan For Teaching Literature . In our first methodology article on using literature, there were two sample lesson plans based on an excerpt or a short story. Teachers.net features free literature lesson plans. The objectives are for students to identify types through words and images, explain different. This lesson plan aims to teach students about literary types. Literature printables, literature worksheets, and. Supplement your study of literature in your middle and high school. This manual is your main teaching. Here’s what you’ll find at www.lessonsfromliterature.org:
from quizzdbbergagliouwh.z13.web.core.windows.net
This manual is your main teaching. Literature printables, literature worksheets, and. Here’s what you’ll find at www.lessonsfromliterature.org: This lesson plan aims to teach students about literary types. In our first methodology article on using literature, there were two sample lesson plans based on an excerpt or a short story. Teachers.net features free literature lesson plans. The objectives are for students to identify types through words and images, explain different. Supplement your study of literature in your middle and high school.
Lesson Plan In Literature For Grade 7
Sample Lesson Plan For Teaching Literature The objectives are for students to identify types through words and images, explain different. Here’s what you’ll find at www.lessonsfromliterature.org: The objectives are for students to identify types through words and images, explain different. Teachers.net features free literature lesson plans. This lesson plan aims to teach students about literary types. In our first methodology article on using literature, there were two sample lesson plans based on an excerpt or a short story. This manual is your main teaching. Literature printables, literature worksheets, and. Supplement your study of literature in your middle and high school.
From www.scribd.com
Sample Lesson Plan Literature Lesson Plan Human Communication Sample Lesson Plan For Teaching Literature This lesson plan aims to teach students about literary types. Teachers.net features free literature lesson plans. Here’s what you’ll find at www.lessonsfromliterature.org: Supplement your study of literature in your middle and high school. The objectives are for students to identify types through words and images, explain different. Literature printables, literature worksheets, and. This manual is your main teaching. In our. Sample Lesson Plan For Teaching Literature.
From qcr520tg2011.blogspot.com
Teaching Literature Lesson Plan Carrie Sample Lesson Plan For Teaching Literature Literature printables, literature worksheets, and. This lesson plan aims to teach students about literary types. In our first methodology article on using literature, there were two sample lesson plans based on an excerpt or a short story. Supplement your study of literature in your middle and high school. Teachers.net features free literature lesson plans. The objectives are for students to. Sample Lesson Plan For Teaching Literature.
From www.scribd.com
Lesson Plan Lesson Plan Fiction & Literature Sample Lesson Plan For Teaching Literature Literature printables, literature worksheets, and. In our first methodology article on using literature, there were two sample lesson plans based on an excerpt or a short story. Here’s what you’ll find at www.lessonsfromliterature.org: The objectives are for students to identify types through words and images, explain different. Teachers.net features free literature lesson plans. This manual is your main teaching. This. Sample Lesson Plan For Teaching Literature.
From www.slideshare.net
A Detailed Lesson Plan in World Literature Sample Lesson Plan For Teaching Literature Here’s what you’ll find at www.lessonsfromliterature.org: Teachers.net features free literature lesson plans. This lesson plan aims to teach students about literary types. Supplement your study of literature in your middle and high school. This manual is your main teaching. Literature printables, literature worksheets, and. In our first methodology article on using literature, there were two sample lesson plans based on. Sample Lesson Plan For Teaching Literature.
From www.scribd.com
A Detailed Lesson Plan in Literary Types Narrative Poetry Sample Lesson Plan For Teaching Literature Teachers.net features free literature lesson plans. Literature printables, literature worksheets, and. This manual is your main teaching. In our first methodology article on using literature, there were two sample lesson plans based on an excerpt or a short story. The objectives are for students to identify types through words and images, explain different. Here’s what you’ll find at www.lessonsfromliterature.org: This. Sample Lesson Plan For Teaching Literature.
From www.slideshare.net
Detailed Lesson plan in literature for grade 7 students Sample Lesson Plan For Teaching Literature In our first methodology article on using literature, there were two sample lesson plans based on an excerpt or a short story. Supplement your study of literature in your middle and high school. This manual is your main teaching. Teachers.net features free literature lesson plans. Literature printables, literature worksheets, and. The objectives are for students to identify types through words. Sample Lesson Plan For Teaching Literature.
From www.eslprintables.com
English worksheets Lesson Plan for teaching literature Sample Lesson Plan For Teaching Literature This manual is your main teaching. In our first methodology article on using literature, there were two sample lesson plans based on an excerpt or a short story. This lesson plan aims to teach students about literary types. Literature printables, literature worksheets, and. Here’s what you’ll find at www.lessonsfromliterature.org: The objectives are for students to identify types through words and. Sample Lesson Plan For Teaching Literature.
From www.slideshare.net
Lesson plan Reading Sample Lesson Plan For Teaching Literature In our first methodology article on using literature, there were two sample lesson plans based on an excerpt or a short story. Here’s what you’ll find at www.lessonsfromliterature.org: Literature printables, literature worksheets, and. This lesson plan aims to teach students about literary types. This manual is your main teaching. Teachers.net features free literature lesson plans. The objectives are for students. Sample Lesson Plan For Teaching Literature.
From es.scribd.com
Lesson Plan in Teaching of Literature Sample Lesson Plan For Teaching Literature Teachers.net features free literature lesson plans. The objectives are for students to identify types through words and images, explain different. Literature printables, literature worksheets, and. This lesson plan aims to teach students about literary types. This manual is your main teaching. In our first methodology article on using literature, there were two sample lesson plans based on an excerpt or. Sample Lesson Plan For Teaching Literature.
From www.lessonplanet.com
Literature Lesson Plan for 3rd Grade Lesson Sample Lesson Plan For Teaching Literature Teachers.net features free literature lesson plans. Here’s what you’ll find at www.lessonsfromliterature.org: Literature printables, literature worksheets, and. This lesson plan aims to teach students about literary types. Supplement your study of literature in your middle and high school. In our first methodology article on using literature, there were two sample lesson plans based on an excerpt or a short story.. Sample Lesson Plan For Teaching Literature.
From www.slideshare.net
Lesson Plan for Lyric Poetry Sample Lesson Plan For Teaching Literature The objectives are for students to identify types through words and images, explain different. This lesson plan aims to teach students about literary types. Literature printables, literature worksheets, and. In our first methodology article on using literature, there were two sample lesson plans based on an excerpt or a short story. Teachers.net features free literature lesson plans. This manual is. Sample Lesson Plan For Teaching Literature.
From www.studypool.com
SOLUTION Detailed lesson plan in literature Studypool Sample Lesson Plan For Teaching Literature This manual is your main teaching. Teachers.net features free literature lesson plans. This lesson plan aims to teach students about literary types. In our first methodology article on using literature, there were two sample lesson plans based on an excerpt or a short story. The objectives are for students to identify types through words and images, explain different. Supplement your. Sample Lesson Plan For Teaching Literature.
From www.scribd.com
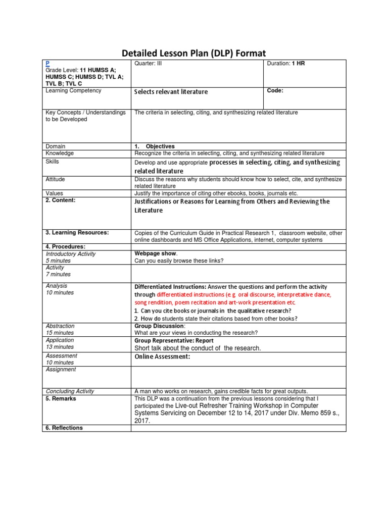
Detailed Lesson Plan Research 1 Selects Relevant Literature Sample Lesson Plan For Teaching Literature Literature printables, literature worksheets, and. Here’s what you’ll find at www.lessonsfromliterature.org: Supplement your study of literature in your middle and high school. This lesson plan aims to teach students about literary types. This manual is your main teaching. The objectives are for students to identify types through words and images, explain different. Teachers.net features free literature lesson plans. In our. Sample Lesson Plan For Teaching Literature.
From qcr520tg2011.blogspot.com
Teaching Literature Lesson Plan Carrie Sample Lesson Plan For Teaching Literature This lesson plan aims to teach students about literary types. This manual is your main teaching. Literature printables, literature worksheets, and. In our first methodology article on using literature, there were two sample lesson plans based on an excerpt or a short story. The objectives are for students to identify types through words and images, explain different. Supplement your study. Sample Lesson Plan For Teaching Literature.
From www.studocu.com
Detailed Lesson PLAN IN teaching poetry DETAILED LESSON PLAN IN Sample Lesson Plan For Teaching Literature This manual is your main teaching. In our first methodology article on using literature, there were two sample lesson plans based on an excerpt or a short story. Here’s what you’ll find at www.lessonsfromliterature.org: This lesson plan aims to teach students about literary types. Teachers.net features free literature lesson plans. Literature printables, literature worksheets, and. The objectives are for students. Sample Lesson Plan For Teaching Literature.
From www.scribd.com
Lesson Plan literature form 2 Lesson Plan Linguistics Sample Lesson Plan For Teaching Literature Supplement your study of literature in your middle and high school. This lesson plan aims to teach students about literary types. Literature printables, literature worksheets, and. The objectives are for students to identify types through words and images, explain different. In our first methodology article on using literature, there were two sample lesson plans based on an excerpt or a. Sample Lesson Plan For Teaching Literature.
From www.scribd.com
Lesson Plan For Beginner Literacy Lesson PDF Reading Comprehension Sample Lesson Plan For Teaching Literature Literature printables, literature worksheets, and. This lesson plan aims to teach students about literary types. Supplement your study of literature in your middle and high school. Here’s what you’ll find at www.lessonsfromliterature.org: In our first methodology article on using literature, there were two sample lesson plans based on an excerpt or a short story. Teachers.net features free literature lesson plans.. Sample Lesson Plan For Teaching Literature.
From www.slideshare.net
Semi Detailed Lesson plan in Teaching of Literature Sample Lesson Plan For Teaching Literature Teachers.net features free literature lesson plans. This manual is your main teaching. Here’s what you’ll find at www.lessonsfromliterature.org: Literature printables, literature worksheets, and. The objectives are for students to identify types through words and images, explain different. In our first methodology article on using literature, there were two sample lesson plans based on an excerpt or a short story. This. Sample Lesson Plan For Teaching Literature.
From www.studypool.com
SOLUTION Detailed lesson plan in literature Studypool Sample Lesson Plan For Teaching Literature Literature printables, literature worksheets, and. The objectives are for students to identify types through words and images, explain different. Supplement your study of literature in your middle and high school. In our first methodology article on using literature, there were two sample lesson plans based on an excerpt or a short story. This lesson plan aims to teach students about. Sample Lesson Plan For Teaching Literature.
From www.studocu.com
Sample Lesson Plan in Literature(The Last Leaf) BSED English BulSU Sample Lesson Plan For Teaching Literature This lesson plan aims to teach students about literary types. Teachers.net features free literature lesson plans. The objectives are for students to identify types through words and images, explain different. Literature printables, literature worksheets, and. This manual is your main teaching. In our first methodology article on using literature, there were two sample lesson plans based on an excerpt or. Sample Lesson Plan For Teaching Literature.
From www.scribd.com
Literature in Action Sample Lesson Plan f3 Cefr Lesson Plan Teachers Sample Lesson Plan For Teaching Literature In our first methodology article on using literature, there were two sample lesson plans based on an excerpt or a short story. Supplement your study of literature in your middle and high school. This lesson plan aims to teach students about literary types. Teachers.net features free literature lesson plans. The objectives are for students to identify types through words and. Sample Lesson Plan For Teaching Literature.
From www.slideshare.net
A detailed lesson plan in teaching literature secondary Sample Lesson Plan For Teaching Literature Teachers.net features free literature lesson plans. Supplement your study of literature in your middle and high school. This manual is your main teaching. The objectives are for students to identify types through words and images, explain different. Here’s what you’ll find at www.lessonsfromliterature.org: Literature printables, literature worksheets, and. This lesson plan aims to teach students about literary types. In our. Sample Lesson Plan For Teaching Literature.
From www.studocu.com
Task 1 Children's Literature Lesson Plan Direct Instruction Lesson Sample Lesson Plan For Teaching Literature This lesson plan aims to teach students about literary types. The objectives are for students to identify types through words and images, explain different. Teachers.net features free literature lesson plans. Supplement your study of literature in your middle and high school. In our first methodology article on using literature, there were two sample lesson plans based on an excerpt or. Sample Lesson Plan For Teaching Literature.
From www.scribd.com
Teaching Literature Lesson Plan Lesson Plan Pedagogy Sample Lesson Plan For Teaching Literature In our first methodology article on using literature, there were two sample lesson plans based on an excerpt or a short story. Here’s what you’ll find at www.lessonsfromliterature.org: This manual is your main teaching. Literature printables, literature worksheets, and. Supplement your study of literature in your middle and high school. The objectives are for students to identify types through words. Sample Lesson Plan For Teaching Literature.
From www.scribd.com
Sample of English Lesson Plan Sample Lesson Plan For Teaching Literature This manual is your main teaching. Literature printables, literature worksheets, and. Teachers.net features free literature lesson plans. In our first methodology article on using literature, there were two sample lesson plans based on an excerpt or a short story. This lesson plan aims to teach students about literary types. Here’s what you’ll find at www.lessonsfromliterature.org: The objectives are for students. Sample Lesson Plan For Teaching Literature.
From www.slideshare.net
Lesson Plan in Reading Sample Lesson Plan For Teaching Literature Supplement your study of literature in your middle and high school. Here’s what you’ll find at www.lessonsfromliterature.org: Literature printables, literature worksheets, and. This lesson plan aims to teach students about literary types. This manual is your main teaching. Teachers.net features free literature lesson plans. In our first methodology article on using literature, there were two sample lesson plans based on. Sample Lesson Plan For Teaching Literature.
From www.studocu.com
Detailedlessonplan21stcenturyliterature compress A Detailed Sample Lesson Plan For Teaching Literature Literature printables, literature worksheets, and. This lesson plan aims to teach students about literary types. Teachers.net features free literature lesson plans. This manual is your main teaching. The objectives are for students to identify types through words and images, explain different. Supplement your study of literature in your middle and high school. In our first methodology article on using literature,. Sample Lesson Plan For Teaching Literature.
From quizzdbbergagliouwh.z13.web.core.windows.net
Lesson Plan In Literature For Grade 7 Sample Lesson Plan For Teaching Literature Supplement your study of literature in your middle and high school. Literature printables, literature worksheets, and. Teachers.net features free literature lesson plans. This lesson plan aims to teach students about literary types. The objectives are for students to identify types through words and images, explain different. In our first methodology article on using literature, there were two sample lesson plans. Sample Lesson Plan For Teaching Literature.
From zonebutterworthis.z21.web.core.windows.net
Literature Lesson Plan For Grade 11 Sample Lesson Plan For Teaching Literature Teachers.net features free literature lesson plans. Supplement your study of literature in your middle and high school. The objectives are for students to identify types through words and images, explain different. This manual is your main teaching. This lesson plan aims to teach students about literary types. Literature printables, literature worksheets, and. In our first methodology article on using literature,. Sample Lesson Plan For Teaching Literature.
From www.slideshare.net
Literature Review Lesson Plan Sample Lesson Plan For Teaching Literature Supplement your study of literature in your middle and high school. This lesson plan aims to teach students about literary types. The objectives are for students to identify types through words and images, explain different. In our first methodology article on using literature, there were two sample lesson plans based on an excerpt or a short story. Literature printables, literature. Sample Lesson Plan For Teaching Literature.
From www.scribd.com
Lesson Plan (Literature Poetry) Lesson Plan Poetry Sample Lesson Plan For Teaching Literature This lesson plan aims to teach students about literary types. Teachers.net features free literature lesson plans. Supplement your study of literature in your middle and high school. Literature printables, literature worksheets, and. This manual is your main teaching. The objectives are for students to identify types through words and images, explain different. Here’s what you’ll find at www.lessonsfromliterature.org: In our. Sample Lesson Plan For Teaching Literature.
From www.studocu.com
A Detailed Lesson PLAN IN Literature Genre A DETAILED LESSON PLAN IN Sample Lesson Plan For Teaching Literature The objectives are for students to identify types through words and images, explain different. In our first methodology article on using literature, there were two sample lesson plans based on an excerpt or a short story. This manual is your main teaching. Literature printables, literature worksheets, and. Here’s what you’ll find at www.lessonsfromliterature.org: Teachers.net features free literature lesson plans. This. Sample Lesson Plan For Teaching Literature.
From www.slideshare.net
Lessonplans for literature Year 5 SK Sample Lesson Plan For Teaching Literature Teachers.net features free literature lesson plans. This lesson plan aims to teach students about literary types. Here’s what you’ll find at www.lessonsfromliterature.org: In our first methodology article on using literature, there were two sample lesson plans based on an excerpt or a short story. The objectives are for students to identify types through words and images, explain different. Supplement your. Sample Lesson Plan For Teaching Literature.
From www.scribd.com
Basic Lesson Plan Template Literature Assignment Educational Sample Lesson Plan For Teaching Literature This lesson plan aims to teach students about literary types. The objectives are for students to identify types through words and images, explain different. This manual is your main teaching. Literature printables, literature worksheets, and. In our first methodology article on using literature, there were two sample lesson plans based on an excerpt or a short story. Supplement your study. Sample Lesson Plan For Teaching Literature.
From quizzhartmann.z13.web.core.windows.net
Grade 10 Literature Lesson Plan Sample Lesson Plan For Teaching Literature This manual is your main teaching. Teachers.net features free literature lesson plans. The objectives are for students to identify types through words and images, explain different. This lesson plan aims to teach students about literary types. In our first methodology article on using literature, there were two sample lesson plans based on an excerpt or a short story. Here’s what. Sample Lesson Plan For Teaching Literature.