How To Calculate Crane Deflection . L is the length of the crane. for loads on surfaces not specifically defined in the national building code of canada the designer of the structure (as. for enclosed track workstation overhead cranes, the deflection limit can be calculated using the term l/900; to measure your deflection, use the deflection limit defined for that type of crane and divide that number by the length (or. design example of a gantry crane girder. Hence if we consider an overhead crane having a length or span of 25000 mm, then its deflection limit would be equal to 27.8 mm. designing a crane girder according to bs5950 involves numerous steps to ensure that it can safely support the applied loads, including the weight of. to measure deflection, use the deflection limit defined for that type of crane and divide that number by the length (or span) of the specific. to measure your deflection, divide the span of your specific system (the length in inches or centimeters) by the deflection rating defined for that type of crane. Design a gantry to satisfy the manufacturer’s design data given below;
from www.thestructuralengineer.info
designing a crane girder according to bs5950 involves numerous steps to ensure that it can safely support the applied loads, including the weight of. to measure deflection, use the deflection limit defined for that type of crane and divide that number by the length (or span) of the specific. L is the length of the crane. Design a gantry to satisfy the manufacturer’s design data given below; Hence if we consider an overhead crane having a length or span of 25000 mm, then its deflection limit would be equal to 27.8 mm. design example of a gantry crane girder. to measure your deflection, use the deflection limit defined for that type of crane and divide that number by the length (or. for loads on surfaces not specifically defined in the national building code of canada the designer of the structure (as. to measure your deflection, divide the span of your specific system (the length in inches or centimeters) by the deflection rating defined for that type of crane. for enclosed track workstation overhead cranes, the deflection limit can be calculated using the term l/900;
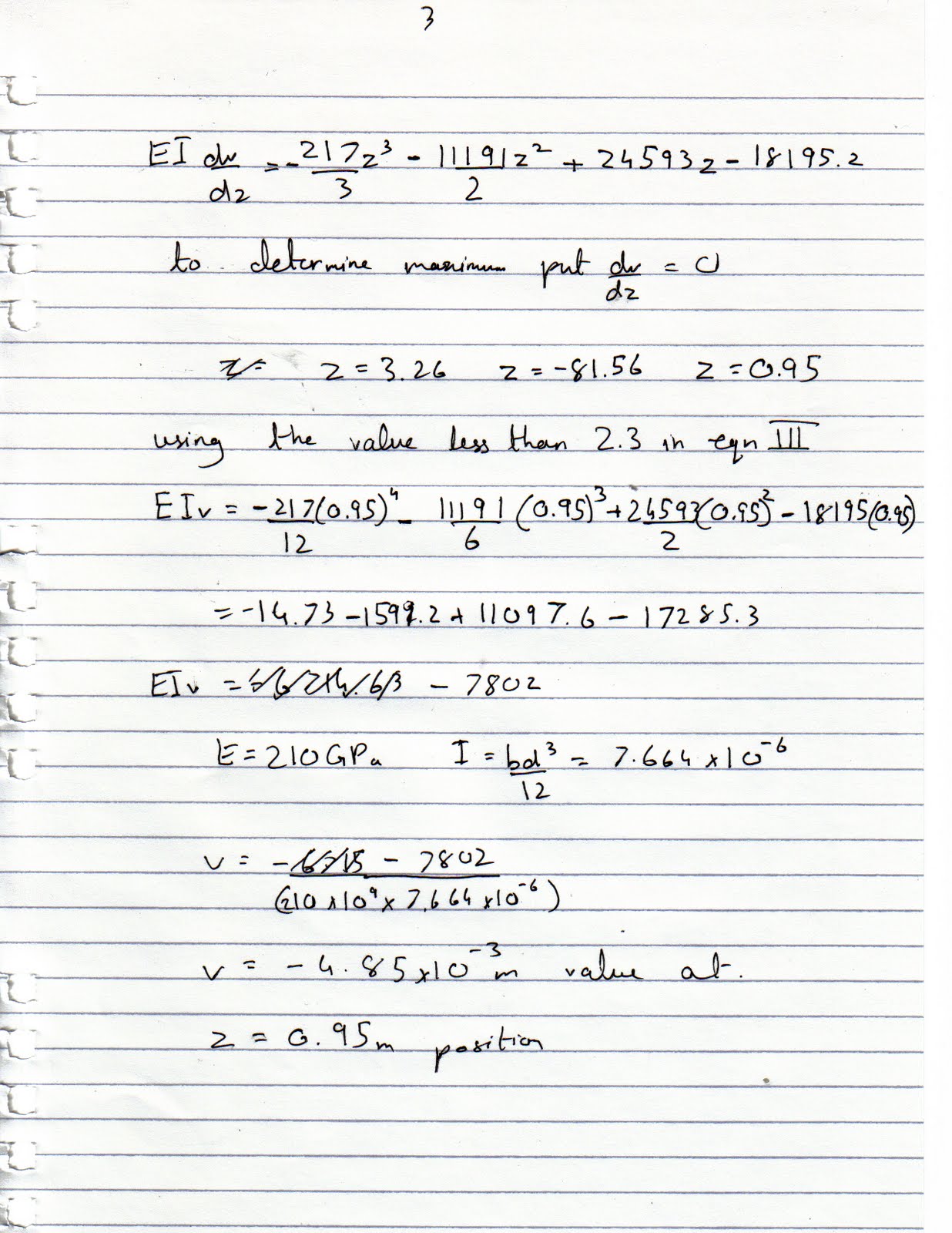
Calculate the vertical deflection of a beam thestructuralengineer.info
How To Calculate Crane Deflection to measure your deflection, use the deflection limit defined for that type of crane and divide that number by the length (or. Hence if we consider an overhead crane having a length or span of 25000 mm, then its deflection limit would be equal to 27.8 mm. to measure your deflection, divide the span of your specific system (the length in inches or centimeters) by the deflection rating defined for that type of crane. to measure deflection, use the deflection limit defined for that type of crane and divide that number by the length (or span) of the specific. design example of a gantry crane girder. for enclosed track workstation overhead cranes, the deflection limit can be calculated using the term l/900; Design a gantry to satisfy the manufacturer’s design data given below; designing a crane girder according to bs5950 involves numerous steps to ensure that it can safely support the applied loads, including the weight of. for loads on surfaces not specifically defined in the national building code of canada the designer of the structure (as. to measure your deflection, use the deflection limit defined for that type of crane and divide that number by the length (or. L is the length of the crane.
From www.semanticscholar.org
A calculation method of crane deflection considering the boom gap How To Calculate Crane Deflection to measure your deflection, divide the span of your specific system (the length in inches or centimeters) by the deflection rating defined for that type of crane. for enclosed track workstation overhead cranes, the deflection limit can be calculated using the term l/900; for loads on surfaces not specifically defined in the national building code of canada. How To Calculate Crane Deflection.
From www.vrogue.co
How To Calculate Deflection Of Overhead Crane Dafang vrogue.co How To Calculate Crane Deflection to measure deflection, use the deflection limit defined for that type of crane and divide that number by the length (or span) of the specific. for enclosed track workstation overhead cranes, the deflection limit can be calculated using the term l/900; Design a gantry to satisfy the manufacturer’s design data given below; to measure your deflection, divide. How To Calculate Crane Deflection.
From www.vrogue.co
How To Calculate Deflection Equations Beams Bending M vrogue.co How To Calculate Crane Deflection L is the length of the crane. for loads on surfaces not specifically defined in the national building code of canada the designer of the structure (as. designing a crane girder according to bs5950 involves numerous steps to ensure that it can safely support the applied loads, including the weight of. to measure your deflection, divide the. How To Calculate Crane Deflection.
From www.cannondigi.com
Crane Beam Deflection Calculator The Best Picture Of Beam How To Calculate Crane Deflection to measure deflection, use the deflection limit defined for that type of crane and divide that number by the length (or span) of the specific. designing a crane girder according to bs5950 involves numerous steps to ensure that it can safely support the applied loads, including the weight of. L is the length of the crane. design. How To Calculate Crane Deflection.
From www.youtube.com
How to Calculate Stability of the Crane EHS STUDY POINT BY SK YouTube How To Calculate Crane Deflection to measure your deflection, divide the span of your specific system (the length in inches or centimeters) by the deflection rating defined for that type of crane. for loads on surfaces not specifically defined in the national building code of canada the designer of the structure (as. for enclosed track workstation overhead cranes, the deflection limit can. How To Calculate Crane Deflection.
From www.semanticscholar.org
Analysis and Optimization of 270 ° Jib Crane Deflection A Review How To Calculate Crane Deflection Hence if we consider an overhead crane having a length or span of 25000 mm, then its deflection limit would be equal to 27.8 mm. Design a gantry to satisfy the manufacturer’s design data given below; design example of a gantry crane girder. to measure your deflection, use the deflection limit defined for that type of crane and. How To Calculate Crane Deflection.
From astoncrane.blogspot.com
Emergency Crane Deflection Calculations How To Calculate Crane Deflection designing a crane girder according to bs5950 involves numerous steps to ensure that it can safely support the applied loads, including the weight of. to measure your deflection, divide the span of your specific system (the length in inches or centimeters) by the deflection rating defined for that type of crane. design example of a gantry crane. How To Calculate Crane Deflection.
From www.youtube.com
calculating allowable deflection for beams YouTube How To Calculate Crane Deflection Design a gantry to satisfy the manufacturer’s design data given below; designing a crane girder according to bs5950 involves numerous steps to ensure that it can safely support the applied loads, including the weight of. for loads on surfaces not specifically defined in the national building code of canada the designer of the structure (as. L is the. How To Calculate Crane Deflection.
From www.eng-tips.com
Crane Runway Beam Lateral Deflection Structural engineering general How To Calculate Crane Deflection Hence if we consider an overhead crane having a length or span of 25000 mm, then its deflection limit would be equal to 27.8 mm. for enclosed track workstation overhead cranes, the deflection limit can be calculated using the term l/900; for loads on surfaces not specifically defined in the national building code of canada the designer of. How To Calculate Crane Deflection.
From astoncrane.blogspot.com
Emergency Crane Deflection Calculations How To Calculate Crane Deflection L is the length of the crane. to measure your deflection, divide the span of your specific system (the length in inches or centimeters) by the deflection rating defined for that type of crane. Design a gantry to satisfy the manufacturer’s design data given below; to measure deflection, use the deflection limit defined for that type of crane. How To Calculate Crane Deflection.
From www.studocu.com
JIB Crane Calculation AS PER BGR Require 4000 300 670 4000 Capacity How To Calculate Crane Deflection Hence if we consider an overhead crane having a length or span of 25000 mm, then its deflection limit would be equal to 27.8 mm. L is the length of the crane. to measure your deflection, use the deflection limit defined for that type of crane and divide that number by the length (or. designing a crane girder. How To Calculate Crane Deflection.
From www.youtube.com
Deflection of Beams YouTube How To Calculate Crane Deflection designing a crane girder according to bs5950 involves numerous steps to ensure that it can safely support the applied loads, including the weight of. for enclosed track workstation overhead cranes, the deflection limit can be calculated using the term l/900; to measure your deflection, use the deflection limit defined for that type of crane and divide that. How To Calculate Crane Deflection.
From www.semanticscholar.org
A calculation method of crane deflection considering the boom gap How To Calculate Crane Deflection design example of a gantry crane girder. Design a gantry to satisfy the manufacturer’s design data given below; to measure deflection, use the deflection limit defined for that type of crane and divide that number by the length (or span) of the specific. for enclosed track workstation overhead cranes, the deflection limit can be calculated using the. How To Calculate Crane Deflection.
From www.vrogue.co
How To Calculate Deflection Of Overhead Crane Dafang vrogue.co How To Calculate Crane Deflection for loads on surfaces not specifically defined in the national building code of canada the designer of the structure (as. designing a crane girder according to bs5950 involves numerous steps to ensure that it can safely support the applied loads, including the weight of. Design a gantry to satisfy the manufacturer’s design data given below; L is the. How To Calculate Crane Deflection.
From www.vrogue.co
How To Calculate Deflection Of Overhead Crane Dafang vrogue.co How To Calculate Crane Deflection Design a gantry to satisfy the manufacturer’s design data given below; to measure your deflection, use the deflection limit defined for that type of crane and divide that number by the length (or. for loads on surfaces not specifically defined in the national building code of canada the designer of the structure (as. to measure your deflection,. How To Calculate Crane Deflection.
From exoynlofq.blob.core.windows.net
Aluminium Beam Deflection Calculator at Cameron Blake blog How To Calculate Crane Deflection to measure deflection, use the deflection limit defined for that type of crane and divide that number by the length (or span) of the specific. for enclosed track workstation overhead cranes, the deflection limit can be calculated using the term l/900; Hence if we consider an overhead crane having a length or span of 25000 mm, then its. How To Calculate Crane Deflection.
From www.vrogue.co
How To Calculate Deflection Of Overhead Crane Dafang vrogue.co How To Calculate Crane Deflection Design a gantry to satisfy the manufacturer’s design data given below; Hence if we consider an overhead crane having a length or span of 25000 mm, then its deflection limit would be equal to 27.8 mm. L is the length of the crane. to measure deflection, use the deflection limit defined for that type of crane and divide that. How To Calculate Crane Deflection.
From www.hndfcrane.com
How To Calculate Deflection Of Overhead Crane Dafang Crane How To Calculate Crane Deflection designing a crane girder according to bs5950 involves numerous steps to ensure that it can safely support the applied loads, including the weight of. for enclosed track workstation overhead cranes, the deflection limit can be calculated using the term l/900; design example of a gantry crane girder. to measure your deflection, use the deflection limit defined. How To Calculate Crane Deflection.
From www.hndfcrane.com
How To Calculate Deflection Of Overhead Crane Dafang Crane How To Calculate Crane Deflection Hence if we consider an overhead crane having a length or span of 25000 mm, then its deflection limit would be equal to 27.8 mm. for loads on surfaces not specifically defined in the national building code of canada the designer of the structure (as. to measure your deflection, divide the span of your specific system (the length. How To Calculate Crane Deflection.
From loadmate.in
Complete Understanding of Overhead Crane Deflection & Its Criteria How To Calculate Crane Deflection design example of a gantry crane girder. Design a gantry to satisfy the manufacturer’s design data given below; Hence if we consider an overhead crane having a length or span of 25000 mm, then its deflection limit would be equal to 27.8 mm. to measure your deflection, divide the span of your specific system (the length in inches. How To Calculate Crane Deflection.
From www.vrogue.co
How To Calculate Deflection Of Overhead Crane Dafang vrogue.co How To Calculate Crane Deflection to measure your deflection, use the deflection limit defined for that type of crane and divide that number by the length (or. for loads on surfaces not specifically defined in the national building code of canada the designer of the structure (as. Design a gantry to satisfy the manufacturer’s design data given below; design example of a. How To Calculate Crane Deflection.
From www.youtube.com
How To Calculate Crane Radius/Boom Length/Boom Height Crane Radius How To Calculate Crane Deflection to measure your deflection, use the deflection limit defined for that type of crane and divide that number by the length (or. design example of a gantry crane girder. L is the length of the crane. for enclosed track workstation overhead cranes, the deflection limit can be calculated using the term l/900; for loads on surfaces. How To Calculate Crane Deflection.
From www.scribd.com
How to calculate crane Reactions PDF How To Calculate Crane Deflection to measure your deflection, use the deflection limit defined for that type of crane and divide that number by the length (or. to measure deflection, use the deflection limit defined for that type of crane and divide that number by the length (or span) of the specific. design example of a gantry crane girder. L is the. How To Calculate Crane Deflection.
From www.youtube.com
Calculation Jib crane YouTube How To Calculate Crane Deflection to measure your deflection, use the deflection limit defined for that type of crane and divide that number by the length (or. to measure your deflection, divide the span of your specific system (the length in inches or centimeters) by the deflection rating defined for that type of crane. Design a gantry to satisfy the manufacturer’s design data. How To Calculate Crane Deflection.
From exooxqmpc.blob.core.windows.net
Crane Beam Allowable Deflection at James McPherson blog How To Calculate Crane Deflection to measure deflection, use the deflection limit defined for that type of crane and divide that number by the length (or span) of the specific. Hence if we consider an overhead crane having a length or span of 25000 mm, then its deflection limit would be equal to 27.8 mm. for enclosed track workstation overhead cranes, the deflection. How To Calculate Crane Deflection.
From www.vrogue.co
The Importance Of Crane Deflection Limits In The Desi vrogue.co How To Calculate Crane Deflection L is the length of the crane. to measure your deflection, use the deflection limit defined for that type of crane and divide that number by the length (or. design example of a gantry crane girder. Design a gantry to satisfy the manufacturer’s design data given below; for loads on surfaces not specifically defined in the national. How To Calculate Crane Deflection.
From www.vrogue.co
How To Calculate Deflection Of Overhead Crane Dafang vrogue.co How To Calculate Crane Deflection to measure your deflection, divide the span of your specific system (the length in inches or centimeters) by the deflection rating defined for that type of crane. to measure deflection, use the deflection limit defined for that type of crane and divide that number by the length (or span) of the specific. to measure your deflection, use. How To Calculate Crane Deflection.
From www.thestructuralengineer.info
Calculate the vertical deflection of a beam thestructuralengineer.info How To Calculate Crane Deflection designing a crane girder according to bs5950 involves numerous steps to ensure that it can safely support the applied loads, including the weight of. for enclosed track workstation overhead cranes, the deflection limit can be calculated using the term l/900; Design a gantry to satisfy the manufacturer’s design data given below; to measure your deflection, use the. How To Calculate Crane Deflection.
From www.youtube.com
HOW TO CALCULATE DEFLECTION DUE TO IMPACT LOAD? YouTube How To Calculate Crane Deflection design example of a gantry crane girder. Design a gantry to satisfy the manufacturer’s design data given below; to measure your deflection, divide the span of your specific system (the length in inches or centimeters) by the deflection rating defined for that type of crane. designing a crane girder according to bs5950 involves numerous steps to ensure. How To Calculate Crane Deflection.
From www.youtube.com
How To Read Load chart How To Calculate Crane Capacity As Per Load How To Calculate Crane Deflection for enclosed track workstation overhead cranes, the deflection limit can be calculated using the term l/900; to measure deflection, use the deflection limit defined for that type of crane and divide that number by the length (or span) of the specific. L is the length of the crane. for loads on surfaces not specifically defined in the. How To Calculate Crane Deflection.
From www.youtube.com
How to calculate crane capacity? How to fill lifting plan? YouTube How To Calculate Crane Deflection Design a gantry to satisfy the manufacturer’s design data given below; to measure your deflection, use the deflection limit defined for that type of crane and divide that number by the length (or. to measure deflection, use the deflection limit defined for that type of crane and divide that number by the length (or span) of the specific.. How To Calculate Crane Deflection.
From sterherof.weebly.com
Crane Runway Beam Deflections sterherofMy Site How To Calculate Crane Deflection design example of a gantry crane girder. to measure your deflection, divide the span of your specific system (the length in inches or centimeters) by the deflection rating defined for that type of crane. for enclosed track workstation overhead cranes, the deflection limit can be calculated using the term l/900; Design a gantry to satisfy the manufacturer’s. How To Calculate Crane Deflection.
From astoncrane.blogspot.com
Emergency Crane Deflection Calculations How To Calculate Crane Deflection Design a gantry to satisfy the manufacturer’s design data given below; for loads on surfaces not specifically defined in the national building code of canada the designer of the structure (as. to measure your deflection, use the deflection limit defined for that type of crane and divide that number by the length (or. design example of a. How To Calculate Crane Deflection.
From www.youtube.com
What is Lifting Plan? How to fill lifting plan with format? Calculate How To Calculate Crane Deflection for enclosed track workstation overhead cranes, the deflection limit can be calculated using the term l/900; designing a crane girder according to bs5950 involves numerous steps to ensure that it can safely support the applied loads, including the weight of. design example of a gantry crane girder. for loads on surfaces not specifically defined in the. How To Calculate Crane Deflection.
From srkdqkicqnrtc.blogspot.com
How To Calculate Deflection Two methods for calculating deflection How To Calculate Crane Deflection design example of a gantry crane girder. to measure deflection, use the deflection limit defined for that type of crane and divide that number by the length (or span) of the specific. L is the length of the crane. for loads on surfaces not specifically defined in the national building code of canada the designer of the. How To Calculate Crane Deflection.