Getting Doubles When Two Dice Are Rolled Brainly . There are six ways to roll 2 dice such that both dice have the same value (these are. The probability of rolling doubles and an even number is 1/36 since rolling two sixes is the only method to get a double and an even. Find the probability of getting a doublet or sum or faces as 4. To solve this problem, we need to. To understand why this is the case, we must realize that there are 36 different ways for two dice to land. To find the probability of getting doubles or a sum of 2 when rolling two dice, we need to determine the number of desirable. We roll “doubles”) is 6/36 or 1/6. The probability of getting doubles or a sum of 6, given that at least one die shows 2, is 1/6. The solution to the probability question is found by calculating the number of favorable outcomes (rolling a 4 or doubles) out. If we roll two dice at the same time, the probability that both dice land on the same number (i.e. Two dice are rolled together. If you want to get doubles, you have a chance of 1 out of 6 on each die.
from www.numerade.com
To understand why this is the case, we must realize that there are 36 different ways for two dice to land. There are six ways to roll 2 dice such that both dice have the same value (these are. The solution to the probability question is found by calculating the number of favorable outcomes (rolling a 4 or doubles) out. If you want to get doubles, you have a chance of 1 out of 6 on each die. Two dice are rolled together. To solve this problem, we need to. If we roll two dice at the same time, the probability that both dice land on the same number (i.e. We roll “doubles”) is 6/36 or 1/6. The probability of getting doubles or a sum of 6, given that at least one die shows 2, is 1/6. To find the probability of getting doubles or a sum of 2 when rolling two dice, we need to determine the number of desirable.
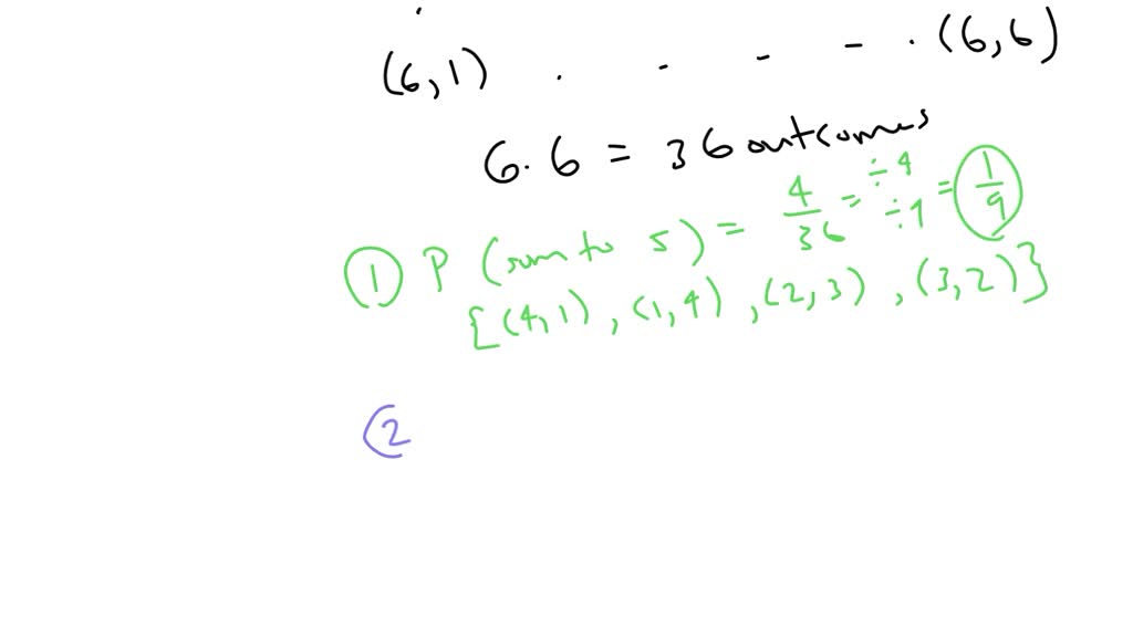
SOLVED Two dice are rolled. Determine the probability of the following
Getting Doubles When Two Dice Are Rolled Brainly To solve this problem, we need to. Two dice are rolled together. Find the probability of getting a doublet or sum or faces as 4. The solution to the probability question is found by calculating the number of favorable outcomes (rolling a 4 or doubles) out. To understand why this is the case, we must realize that there are 36 different ways for two dice to land. The probability of getting doubles or a sum of 6, given that at least one die shows 2, is 1/6. If you want to get doubles, you have a chance of 1 out of 6 on each die. We roll “doubles”) is 6/36 or 1/6. To find the probability of getting doubles or a sum of 2 when rolling two dice, we need to determine the number of desirable. If we roll two dice at the same time, the probability that both dice land on the same number (i.e. There are six ways to roll 2 dice such that both dice have the same value (these are. To solve this problem, we need to. The probability of rolling doubles and an even number is 1/36 since rolling two sixes is the only method to get a double and an even.
From www.numerade.com
SOLVEDTwo dice are rolled and the faces ae added together What What Getting Doubles When Two Dice Are Rolled Brainly To solve this problem, we need to. If you want to get doubles, you have a chance of 1 out of 6 on each die. To understand why this is the case, we must realize that there are 36 different ways for two dice to land. The probability of getting doubles or a sum of 6, given that at least. Getting Doubles When Two Dice Are Rolled Brainly.
From brainly.in
two dice are rolled simultaneously. what is the probability of getting Getting Doubles When Two Dice Are Rolled Brainly To understand why this is the case, we must realize that there are 36 different ways for two dice to land. The probability of rolling doubles and an even number is 1/36 since rolling two sixes is the only method to get a double and an even. We roll “doubles”) is 6/36 or 1/6. To solve this problem, we need. Getting Doubles When Two Dice Are Rolled Brainly.
From brainly.in
If two different dice are rolled together, the probability of getting Getting Doubles When Two Dice Are Rolled Brainly If you want to get doubles, you have a chance of 1 out of 6 on each die. Find the probability of getting a doublet or sum or faces as 4. If we roll two dice at the same time, the probability that both dice land on the same number (i.e. To solve this problem, we need to. To understand. Getting Doubles When Two Dice Are Rolled Brainly.
From www.teachoo.com
Find the probability of getting a doublet in a throw of a pair of dice Getting Doubles When Two Dice Are Rolled Brainly There are six ways to roll 2 dice such that both dice have the same value (these are. We roll “doubles”) is 6/36 or 1/6. If you want to get doubles, you have a chance of 1 out of 6 on each die. The probability of rolling doubles and an even number is 1/36 since rolling two sixes is the. Getting Doubles When Two Dice Are Rolled Brainly.
From brainly.ph
NEED HELP NEED HELP 1.A pair of dice is rolled what is the probability Getting Doubles When Two Dice Are Rolled Brainly There are six ways to roll 2 dice such that both dice have the same value (these are. Two dice are rolled together. The solution to the probability question is found by calculating the number of favorable outcomes (rolling a 4 or doubles) out. We roll “doubles”) is 6/36 or 1/6. The probability of rolling doubles and an even number. Getting Doubles When Two Dice Are Rolled Brainly.
From brainly.ph
B. Two dice are rolled. Find the theoretical probability of each Getting Doubles When Two Dice Are Rolled Brainly The probability of getting doubles or a sum of 6, given that at least one die shows 2, is 1/6. Find the probability of getting a doublet or sum or faces as 4. If you want to get doubles, you have a chance of 1 out of 6 on each die. To solve this problem, we need to. The solution. Getting Doubles When Two Dice Are Rolled Brainly.
From www.numerade.com
SOLVED Two dice are rolled. Determine the probability of the following Getting Doubles When Two Dice Are Rolled Brainly If we roll two dice at the same time, the probability that both dice land on the same number (i.e. To solve this problem, we need to. Two dice are rolled together. There are six ways to roll 2 dice such that both dice have the same value (these are. The probability of getting doubles or a sum of 6,. Getting Doubles When Two Dice Are Rolled Brainly.
From www.youtube.com
Probability of Rolling Doubles with 2 Dice YouTube Getting Doubles When Two Dice Are Rolled Brainly Two dice are rolled together. If we roll two dice at the same time, the probability that both dice land on the same number (i.e. To find the probability of getting doubles or a sum of 2 when rolling two dice, we need to determine the number of desirable. We roll “doubles”) is 6/36 or 1/6. The probability of rolling. Getting Doubles When Two Dice Are Rolled Brainly.
From www.reddit.com
Probability of rolling 2 dice. (I wanted to find probability of a 5 Getting Doubles When Two Dice Are Rolled Brainly The probability of getting doubles or a sum of 6, given that at least one die shows 2, is 1/6. If we roll two dice at the same time, the probability that both dice land on the same number (i.e. To solve this problem, we need to. There are six ways to roll 2 dice such that both dice have. Getting Doubles When Two Dice Are Rolled Brainly.
From brainly.com
You roll two dice, one red and one green. Losing combinations are Getting Doubles When Two Dice Are Rolled Brainly To understand why this is the case, we must realize that there are 36 different ways for two dice to land. If we roll two dice at the same time, the probability that both dice land on the same number (i.e. Find the probability of getting a doublet or sum or faces as 4. The solution to the probability question. Getting Doubles When Two Dice Are Rolled Brainly.
From www.numerade.com
SOLVEDIf a person rolls doubles when she tosses two dice, she wins \ 5 Getting Doubles When Two Dice Are Rolled Brainly If we roll two dice at the same time, the probability that both dice land on the same number (i.e. Two dice are rolled together. The solution to the probability question is found by calculating the number of favorable outcomes (rolling a 4 or doubles) out. The probability of getting doubles or a sum of 6, given that at least. Getting Doubles When Two Dice Are Rolled Brainly.
From es.vecteezy.com
tabla de probabilidad de lanzamiento de dados para calcular la Getting Doubles When Two Dice Are Rolled Brainly To find the probability of getting doubles or a sum of 2 when rolling two dice, we need to determine the number of desirable. We roll “doubles”) is 6/36 or 1/6. To solve this problem, we need to. The probability of getting doubles or a sum of 6, given that at least one die shows 2, is 1/6. If we. Getting Doubles When Two Dice Are Rolled Brainly.
From www.teachstarter.com
Doubles Plus One Dice Roll Worksheet Teach Starter Getting Doubles When Two Dice Are Rolled Brainly There are six ways to roll 2 dice such that both dice have the same value (these are. The probability of rolling doubles and an even number is 1/36 since rolling two sixes is the only method to get a double and an even. To solve this problem, we need to. We roll “doubles”) is 6/36 or 1/6. Two dice. Getting Doubles When Two Dice Are Rolled Brainly.
From brainly.in
Find the probability of getting a doublet when we throw a pair of dice Getting Doubles When Two Dice Are Rolled Brainly There are six ways to roll 2 dice such that both dice have the same value (these are. The probability of getting doubles or a sum of 6, given that at least one die shows 2, is 1/6. The probability of rolling doubles and an even number is 1/36 since rolling two sixes is the only method to get a. Getting Doubles When Two Dice Are Rolled Brainly.
From www.youtube.com
If You Roll two Fair Dice, What is the Probability of Getting a Sum of Getting Doubles When Two Dice Are Rolled Brainly The probability of rolling doubles and an even number is 1/36 since rolling two sixes is the only method to get a double and an even. If you want to get doubles, you have a chance of 1 out of 6 on each die. To solve this problem, we need to. The probability of getting doubles or a sum of. Getting Doubles When Two Dice Are Rolled Brainly.
From www.numerade.com
VIDEO solution 10. Two dice are rolled What is Ihe probability of not Getting Doubles When Two Dice Are Rolled Brainly If you want to get doubles, you have a chance of 1 out of 6 on each die. The probability of getting doubles or a sum of 6, given that at least one die shows 2, is 1/6. If we roll two dice at the same time, the probability that both dice land on the same number (i.e. To solve. Getting Doubles When Two Dice Are Rolled Brainly.
From www.toppr.com
Two different dice are tossed together. Find the probability of the no Getting Doubles When Two Dice Are Rolled Brainly If you want to get doubles, you have a chance of 1 out of 6 on each die. The solution to the probability question is found by calculating the number of favorable outcomes (rolling a 4 or doubles) out. The probability of rolling doubles and an even number is 1/36 since rolling two sixes is the only method to get. Getting Doubles When Two Dice Are Rolled Brainly.
From www.youtube.com
Compound Probability Rolling Dice YouTube Getting Doubles When Two Dice Are Rolled Brainly There are six ways to roll 2 dice such that both dice have the same value (these are. The probability of getting doubles or a sum of 6, given that at least one die shows 2, is 1/6. If we roll two dice at the same time, the probability that both dice land on the same number (i.e. To solve. Getting Doubles When Two Dice Are Rolled Brainly.
From www.slideserve.com
PPT Intro to Probability & Games PowerPoint Presentation ID43114 Getting Doubles When Two Dice Are Rolled Brainly To solve this problem, we need to. To find the probability of getting doubles or a sum of 2 when rolling two dice, we need to determine the number of desirable. If we roll two dice at the same time, the probability that both dice land on the same number (i.e. Find the probability of getting a doublet or sum. Getting Doubles When Two Dice Are Rolled Brainly.
From www.numerade.com
SOLVED 'If two dice are rolled one time, find the probability of Getting Doubles When Two Dice Are Rolled Brainly The probability of getting doubles or a sum of 6, given that at least one die shows 2, is 1/6. If you want to get doubles, you have a chance of 1 out of 6 on each die. To solve this problem, we need to. The solution to the probability question is found by calculating the number of favorable outcomes. Getting Doubles When Two Dice Are Rolled Brainly.
From www.numerade.com
Rolling Two Dice If two dice are rolled one time, find the probability Getting Doubles When Two Dice Are Rolled Brainly If we roll two dice at the same time, the probability that both dice land on the same number (i.e. To understand why this is the case, we must realize that there are 36 different ways for two dice to land. The probability of rolling doubles and an even number is 1/36 since rolling two sixes is the only method. Getting Doubles When Two Dice Are Rolled Brainly.
From scales.arabpsychology.com
What Is The Probability Of Rolling Doubles With Dice? Getting Doubles When Two Dice Are Rolled Brainly Two dice are rolled together. To understand why this is the case, we must realize that there are 36 different ways for two dice to land. The probability of rolling doubles and an even number is 1/36 since rolling two sixes is the only method to get a double and an even. The probability of getting doubles or a sum. Getting Doubles When Two Dice Are Rolled Brainly.
From www.gauthmath.com
Solved 2. Two dice are rolled (A 4 marks) a) Determine the Getting Doubles When Two Dice Are Rolled Brainly To solve this problem, we need to. The probability of rolling doubles and an even number is 1/36 since rolling two sixes is the only method to get a double and an even. We roll “doubles”) is 6/36 or 1/6. Find the probability of getting a doublet or sum or faces as 4. There are six ways to roll 2. Getting Doubles When Two Dice Are Rolled Brainly.
From www.youtube.com
Probability of the Sum of Two Dice + Probability of Rolling Doubles Getting Doubles When Two Dice Are Rolled Brainly Find the probability of getting a doublet or sum or faces as 4. If we roll two dice at the same time, the probability that both dice land on the same number (i.e. We roll “doubles”) is 6/36 or 1/6. There are six ways to roll 2 dice such that both dice have the same value (these are. Two dice. Getting Doubles When Two Dice Are Rolled Brainly.
From brainly.com
If two dice are rolled one time, find the probability of getting these Getting Doubles When Two Dice Are Rolled Brainly The solution to the probability question is found by calculating the number of favorable outcomes (rolling a 4 or doubles) out. If we roll two dice at the same time, the probability that both dice land on the same number (i.e. The probability of rolling doubles and an even number is 1/36 since rolling two sixes is the only method. Getting Doubles When Two Dice Are Rolled Brainly.
From www.youtube.com
Rolling Two Dice YouTube Getting Doubles When Two Dice Are Rolled Brainly The solution to the probability question is found by calculating the number of favorable outcomes (rolling a 4 or doubles) out. The probability of rolling doubles and an even number is 1/36 since rolling two sixes is the only method to get a double and an even. The probability of getting doubles or a sum of 6, given that at. Getting Doubles When Two Dice Are Rolled Brainly.
From www.thoughtco.com
Probabilities for Rolling Two Dice Getting Doubles When Two Dice Are Rolled Brainly The probability of getting doubles or a sum of 6, given that at least one die shows 2, is 1/6. The solution to the probability question is found by calculating the number of favorable outcomes (rolling a 4 or doubles) out. There are six ways to roll 2 dice such that both dice have the same value (these are. Two. Getting Doubles When Two Dice Are Rolled Brainly.
From www.vecteezy.com
dice roll probability table to calculate the probability of 2 dices Getting Doubles When Two Dice Are Rolled Brainly The probability of rolling doubles and an even number is 1/36 since rolling two sixes is the only method to get a double and an even. The solution to the probability question is found by calculating the number of favorable outcomes (rolling a 4 or doubles) out. There are six ways to roll 2 dice such that both dice have. Getting Doubles When Two Dice Are Rolled Brainly.
From www.numerade.com
SOLVEDTwo dice are rolled. Define events as follows A sum of 7, C Getting Doubles When Two Dice Are Rolled Brainly To find the probability of getting doubles or a sum of 2 when rolling two dice, we need to determine the number of desirable. The probability of rolling doubles and an even number is 1/36 since rolling two sixes is the only method to get a double and an even. Two dice are rolled together. If you want to get. Getting Doubles When Two Dice Are Rolled Brainly.
From brainly.in
Two dice are rolled, write the sample space 'S' and number of sample Getting Doubles When Two Dice Are Rolled Brainly The solution to the probability question is found by calculating the number of favorable outcomes (rolling a 4 or doubles) out. Find the probability of getting a doublet or sum or faces as 4. Two dice are rolled together. We roll “doubles”) is 6/36 or 1/6. To find the probability of getting doubles or a sum of 2 when rolling. Getting Doubles When Two Dice Are Rolled Brainly.
From primarystarseducation.co.uk
Dice doubles Game Primary Stars Education Getting Doubles When Two Dice Are Rolled Brainly There are six ways to roll 2 dice such that both dice have the same value (these are. If we roll two dice at the same time, the probability that both dice land on the same number (i.e. Find the probability of getting a doublet or sum or faces as 4. If you want to get doubles, you have a. Getting Doubles When Two Dice Are Rolled Brainly.
From brainly.in
Two fair dice are rolled. What is the probability of getting doubles or Getting Doubles When Two Dice Are Rolled Brainly Two dice are rolled together. If you want to get doubles, you have a chance of 1 out of 6 on each die. To solve this problem, we need to. The probability of rolling doubles and an even number is 1/36 since rolling two sixes is the only method to get a double and an even. To understand why this. Getting Doubles When Two Dice Are Rolled Brainly.
From www.numerade.com
SOLVED Two dice are rolled. Determine the probability of the following Getting Doubles When Two Dice Are Rolled Brainly To find the probability of getting doubles or a sum of 2 when rolling two dice, we need to determine the number of desirable. There are six ways to roll 2 dice such that both dice have the same value (these are. To solve this problem, we need to. We roll “doubles”) is 6/36 or 1/6. If you want to. Getting Doubles When Two Dice Are Rolled Brainly.
From www.numerade.com
SOLVED QueSTion 5 Find the probability for a roll of two dice, Rolling Getting Doubles When Two Dice Are Rolled Brainly To solve this problem, we need to. The probability of getting doubles or a sum of 6, given that at least one die shows 2, is 1/6. The probability of rolling doubles and an even number is 1/36 since rolling two sixes is the only method to get a double and an even. Two dice are rolled together. Find the. Getting Doubles When Two Dice Are Rolled Brainly.
From www.numerade.com
SOLVEDIf two dice are rolled one time, find the probability of getting Getting Doubles When Two Dice Are Rolled Brainly The probability of rolling doubles and an even number is 1/36 since rolling two sixes is the only method to get a double and an even. There are six ways to roll 2 dice such that both dice have the same value (these are. Two dice are rolled together. To find the probability of getting doubles or a sum of. Getting Doubles When Two Dice Are Rolled Brainly.