Bromine Cost In Grams . 125 rows a list of average market prices for bulk trade of commodities of chemical elements, updated in 2020. Enter the price and quantity, select a unit and a substance, and get the conversion. Imarc’s report presents a detailed analysis of bromine pricing, covering global and regional trends, spot prices at key ports, and a breakdown of ex works, fob, and. The table below shows quarterly bromine prices, in usd per metric. See charts, tables, and historical. Compare bromine prices in china with other leading countries worldwide for the quarter ending june 2024. See how supply and demand dynamics,. Find the price of bromine per gram or other units of weight or volume. By mike | prices indexes. Get monthly bromine price assessments for southeast asia and china from intratec, a reliable source of commodity data. When it comes to bromine pricing data, the chart above presents prices in q4 2022, in countries from different regions. The cost per gram of bromine is determined by dividing the total cost of acquiring bromine by the total weight in grams.
from slidetodoc.com
By mike | prices indexes. 125 rows a list of average market prices for bulk trade of commodities of chemical elements, updated in 2020. Enter the price and quantity, select a unit and a substance, and get the conversion. See how supply and demand dynamics,. The table below shows quarterly bromine prices, in usd per metric. The cost per gram of bromine is determined by dividing the total cost of acquiring bromine by the total weight in grams. Imarc’s report presents a detailed analysis of bromine pricing, covering global and regional trends, spot prices at key ports, and a breakdown of ex works, fob, and. Find the price of bromine per gram or other units of weight or volume. Get monthly bromine price assessments for southeast asia and china from intratec, a reliable source of commodity data. When it comes to bromine pricing data, the chart above presents prices in q4 2022, in countries from different regions.
Back to the Solution Basics Stoichiometry Qualitative Analysis
Bromine Cost In Grams The cost per gram of bromine is determined by dividing the total cost of acquiring bromine by the total weight in grams. See charts, tables, and historical. The table below shows quarterly bromine prices, in usd per metric. Imarc’s report presents a detailed analysis of bromine pricing, covering global and regional trends, spot prices at key ports, and a breakdown of ex works, fob, and. See how supply and demand dynamics,. Find the price of bromine per gram or other units of weight or volume. Enter the price and quantity, select a unit and a substance, and get the conversion. Get monthly bromine price assessments for southeast asia and china from intratec, a reliable source of commodity data. 125 rows a list of average market prices for bulk trade of commodities of chemical elements, updated in 2020. When it comes to bromine pricing data, the chart above presents prices in q4 2022, in countries from different regions. The cost per gram of bromine is determined by dividing the total cost of acquiring bromine by the total weight in grams. By mike | prices indexes. Compare bromine prices in china with other leading countries worldwide for the quarter ending june 2024.
From www.numerade.com
SOLVED How many atoms of boron are present in 9.48 grams of boron tribromide? How many grams of Bromine Cost In Grams Enter the price and quantity, select a unit and a substance, and get the conversion. Compare bromine prices in china with other leading countries worldwide for the quarter ending june 2024. The cost per gram of bromine is determined by dividing the total cost of acquiring bromine by the total weight in grams. 125 rows a list of average market. Bromine Cost In Grams.
From www.chegg.com
Solved Under certain conditions, the substances bromine and Bromine Cost In Grams Get monthly bromine price assessments for southeast asia and china from intratec, a reliable source of commodity data. By mike | prices indexes. When it comes to bromine pricing data, the chart above presents prices in q4 2022, in countries from different regions. The table below shows quarterly bromine prices, in usd per metric. Enter the price and quantity, select. Bromine Cost In Grams.
From dxoyxyjps.blob.core.windows.net
Cost Of Bromine at Gary Hillhouse blog Bromine Cost In Grams Enter the price and quantity, select a unit and a substance, and get the conversion. Compare bromine prices in china with other leading countries worldwide for the quarter ending june 2024. Find the price of bromine per gram or other units of weight or volume. 125 rows a list of average market prices for bulk trade of commodities of chemical. Bromine Cost In Grams.
From slidetodoc.com
Back to the Solution Basics Stoichiometry Qualitative Analysis Bromine Cost In Grams The cost per gram of bromine is determined by dividing the total cost of acquiring bromine by the total weight in grams. Enter the price and quantity, select a unit and a substance, and get the conversion. Compare bromine prices in china with other leading countries worldwide for the quarter ending june 2024. The table below shows quarterly bromine prices,. Bromine Cost In Grams.
From www.tradeindia.com
Virgin Bromine Liquid Density 3.119 Gram Per Millilitre (g/ml) at Best Price in Vadodara Bromine Cost In Grams The table below shows quarterly bromine prices, in usd per metric. See how supply and demand dynamics,. The cost per gram of bromine is determined by dividing the total cost of acquiring bromine by the total weight in grams. Get monthly bromine price assessments for southeast asia and china from intratec, a reliable source of commodity data. By mike |. Bromine Cost In Grams.
From www.numerade.com
SOLVED Determine the number of atoms in 61.0 grams of bromine, Br. (The mass of one mole of Bromine Cost In Grams 125 rows a list of average market prices for bulk trade of commodities of chemical elements, updated in 2020. When it comes to bromine pricing data, the chart above presents prices in q4 2022, in countries from different regions. Get monthly bromine price assessments for southeast asia and china from intratec, a reliable source of commodity data. Find the price. Bromine Cost In Grams.
From www.chegg.com
Solved How many grams is 2.85 moles of bromine liquid? Bromine Cost In Grams By mike | prices indexes. Get monthly bromine price assessments for southeast asia and china from intratec, a reliable source of commodity data. When it comes to bromine pricing data, the chart above presents prices in q4 2022, in countries from different regions. Imarc’s report presents a detailed analysis of bromine pricing, covering global and regional trends, spot prices at. Bromine Cost In Grams.
From brainly.com
⚗️Balance the chemical equation. Based on the equation, how many grams of bromine are produced Bromine Cost In Grams Get monthly bromine price assessments for southeast asia and china from intratec, a reliable source of commodity data. The table below shows quarterly bromine prices, in usd per metric. Imarc’s report presents a detailed analysis of bromine pricing, covering global and regional trends, spot prices at key ports, and a breakdown of ex works, fob, and. See how supply and. Bromine Cost In Grams.
From www.ebay.com
Bromine element collectable 5 grams sealed in glass ampoule eBay Bromine Cost In Grams The cost per gram of bromine is determined by dividing the total cost of acquiring bromine by the total weight in grams. Find the price of bromine per gram or other units of weight or volume. Imarc’s report presents a detailed analysis of bromine pricing, covering global and regional trends, spot prices at key ports, and a breakdown of ex. Bromine Cost In Grams.
From www.livescience.com
Facts About Bromine Live Science Bromine Cost In Grams Enter the price and quantity, select a unit and a substance, and get the conversion. The table below shows quarterly bromine prices, in usd per metric. 125 rows a list of average market prices for bulk trade of commodities of chemical elements, updated in 2020. See charts, tables, and historical. Find the price of bromine per gram or other units. Bromine Cost In Grams.
From www.numerade.com
SOLVED Clithaipy Carbon tetrabromide can be prepared from methane and bromine. Determine what Bromine Cost In Grams Imarc’s report presents a detailed analysis of bromine pricing, covering global and regional trends, spot prices at key ports, and a breakdown of ex works, fob, and. Find the price of bromine per gram or other units of weight or volume. The table below shows quarterly bromine prices, in usd per metric. Compare bromine prices in china with other leading. Bromine Cost In Grams.
From www.numerade.com
SOLVED How many grams of bromine is needed to react with 0.85g of aluminum? Molar masses Al Bromine Cost In Grams Get monthly bromine price assessments for southeast asia and china from intratec, a reliable source of commodity data. See charts, tables, and historical. 125 rows a list of average market prices for bulk trade of commodities of chemical elements, updated in 2020. The cost per gram of bromine is determined by dividing the total cost of acquiring bromine by the. Bromine Cost In Grams.
From www.numerade.com
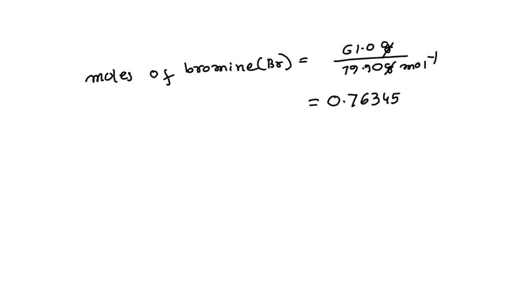
SOLVED Question 40i 17 Determine the number of atoms in 77.0 grams of bromine, Br (The mass Bromine Cost In Grams 125 rows a list of average market prices for bulk trade of commodities of chemical elements, updated in 2020. Compare bromine prices in china with other leading countries worldwide for the quarter ending june 2024. See how supply and demand dynamics,. The cost per gram of bromine is determined by dividing the total cost of acquiring bromine by the total. Bromine Cost In Grams.
From dxoyxyjps.blob.core.windows.net
Cost Of Bromine at Gary Hillhouse blog Bromine Cost In Grams The cost per gram of bromine is determined by dividing the total cost of acquiring bromine by the total weight in grams. 125 rows a list of average market prices for bulk trade of commodities of chemical elements, updated in 2020. The table below shows quarterly bromine prices, in usd per metric. Enter the price and quantity, select a unit. Bromine Cost In Grams.
From www.youtube.com
How many grams of bromine will react with `21g` of `C_(3)H_(6)` ? YouTube Bromine Cost In Grams Compare bromine prices in china with other leading countries worldwide for the quarter ending june 2024. See charts, tables, and historical. The table below shows quarterly bromine prices, in usd per metric. When it comes to bromine pricing data, the chart above presents prices in q4 2022, in countries from different regions. Enter the price and quantity, select a unit. Bromine Cost In Grams.
From www.chegg.com
Solved Calculate the number of grams of bromine (Br2) needed Bromine Cost In Grams By mike | prices indexes. Enter the price and quantity, select a unit and a substance, and get the conversion. When it comes to bromine pricing data, the chart above presents prices in q4 2022, in countries from different regions. See how supply and demand dynamics,. The table below shows quarterly bromine prices, in usd per metric. Compare bromine prices. Bromine Cost In Grams.
From www.numerade.com
SOLVED For the following reaction, 28.1 grams of bromine are allowed to react with 16.4 grams Bromine Cost In Grams By mike | prices indexes. When it comes to bromine pricing data, the chart above presents prices in q4 2022, in countries from different regions. 125 rows a list of average market prices for bulk trade of commodities of chemical elements, updated in 2020. Compare bromine prices in china with other leading countries worldwide for the quarter ending june 2024.. Bromine Cost In Grams.
From www.researchandmarkets.com
Bromine Market Growth, Trends, COVID19 Impact, and Forecasts (20232028) Bromine Cost In Grams By mike | prices indexes. The cost per gram of bromine is determined by dividing the total cost of acquiring bromine by the total weight in grams. See how supply and demand dynamics,. See charts, tables, and historical. Compare bromine prices in china with other leading countries worldwide for the quarter ending june 2024. The table below shows quarterly bromine. Bromine Cost In Grams.
From www.numerade.com
SOLVED For the following reaction, 6.37 grams of chlorine gas are mixed with excess bromine Bromine Cost In Grams See charts, tables, and historical. Find the price of bromine per gram or other units of weight or volume. By mike | prices indexes. Compare bromine prices in china with other leading countries worldwide for the quarter ending june 2024. 125 rows a list of average market prices for bulk trade of commodities of chemical elements, updated in 2020. The. Bromine Cost In Grams.
From www.numerade.com
SOLVED Determine the number of atoms in 25.0 grams of bromine, Br. (The mass of one mole of Bromine Cost In Grams See how supply and demand dynamics,. Find the price of bromine per gram or other units of weight or volume. Get monthly bromine price assessments for southeast asia and china from intratec, a reliable source of commodity data. 125 rows a list of average market prices for bulk trade of commodities of chemical elements, updated in 2020. Imarc’s report presents. Bromine Cost In Grams.
From www.hdinresearch.com
Sodium Bromide Market Size will reach to 57,200 mt in 2024 Bromine Cost In Grams Find the price of bromine per gram or other units of weight or volume. Imarc’s report presents a detailed analysis of bromine pricing, covering global and regional trends, spot prices at key ports, and a breakdown of ex works, fob, and. See how supply and demand dynamics,. Get monthly bromine price assessments for southeast asia and china from intratec, a. Bromine Cost In Grams.
From www.coursehero.com
[Solved] Determine the number of atoms in 39.0 grams of bromine, Br. (The... Course Hero Bromine Cost In Grams When it comes to bromine pricing data, the chart above presents prices in q4 2022, in countries from different regions. The cost per gram of bromine is determined by dividing the total cost of acquiring bromine by the total weight in grams. Find the price of bromine per gram or other units of weight or volume. Enter the price and. Bromine Cost In Grams.
From www.procurementresource.com
Bromine Production Cost Analysis Reports 2024 Bromine Cost In Grams See how supply and demand dynamics,. The table below shows quarterly bromine prices, in usd per metric. By mike | prices indexes. Get monthly bromine price assessments for southeast asia and china from intratec, a reliable source of commodity data. Compare bromine prices in china with other leading countries worldwide for the quarter ending june 2024. Enter the price and. Bromine Cost In Grams.
From www.numerade.com
SOLVED Determine the number of atoms in 39.0 grams of bromine, Br. (The mass of one mole of Bromine Cost In Grams Compare bromine prices in china with other leading countries worldwide for the quarter ending june 2024. See how supply and demand dynamics,. See charts, tables, and historical. 125 rows a list of average market prices for bulk trade of commodities of chemical elements, updated in 2020. When it comes to bromine pricing data, the chart above presents prices in q4. Bromine Cost In Grams.
From material-properties.org
Bromine Properties Price Applications Production Bromine Cost In Grams See how supply and demand dynamics,. See charts, tables, and historical. The table below shows quarterly bromine prices, in usd per metric. The cost per gram of bromine is determined by dividing the total cost of acquiring bromine by the total weight in grams. Enter the price and quantity, select a unit and a substance, and get the conversion. Get. Bromine Cost In Grams.
From dxoyxyjps.blob.core.windows.net
Cost Of Bromine at Gary Hillhouse blog Bromine Cost In Grams Imarc’s report presents a detailed analysis of bromine pricing, covering global and regional trends, spot prices at key ports, and a breakdown of ex works, fob, and. By mike | prices indexes. The table below shows quarterly bromine prices, in usd per metric. Get monthly bromine price assessments for southeast asia and china from intratec, a reliable source of commodity. Bromine Cost In Grams.
From www.chemistrylearner.com
Bromine Facts, Symbol, Discovery, Properties, Uses Bromine Cost In Grams The cost per gram of bromine is determined by dividing the total cost of acquiring bromine by the total weight in grams. By mike | prices indexes. The table below shows quarterly bromine prices, in usd per metric. Enter the price and quantity, select a unit and a substance, and get the conversion. When it comes to bromine pricing data,. Bromine Cost In Grams.
From brainly.com
how many molecules are in 80 grams of Bromine Bromine Cost In Grams Imarc’s report presents a detailed analysis of bromine pricing, covering global and regional trends, spot prices at key ports, and a breakdown of ex works, fob, and. Find the price of bromine per gram or other units of weight or volume. The cost per gram of bromine is determined by dividing the total cost of acquiring bromine by the total. Bromine Cost In Grams.
From www.chegg.com
Solved 10. How many grams of bromine gas is in 2.03*10 atoms Bromine Cost In Grams Get monthly bromine price assessments for southeast asia and china from intratec, a reliable source of commodity data. When it comes to bromine pricing data, the chart above presents prices in q4 2022, in countries from different regions. Compare bromine prices in china with other leading countries worldwide for the quarter ending june 2024. Imarc’s report presents a detailed analysis. Bromine Cost In Grams.
From www.chegg.com
Solved For the following reaction, 29.6 grams of bromine are Bromine Cost In Grams Find the price of bromine per gram or other units of weight or volume. The table below shows quarterly bromine prices, in usd per metric. Enter the price and quantity, select a unit and a substance, and get the conversion. When it comes to bromine pricing data, the chart above presents prices in q4 2022, in countries from different regions.. Bromine Cost In Grams.
From www.numerade.com
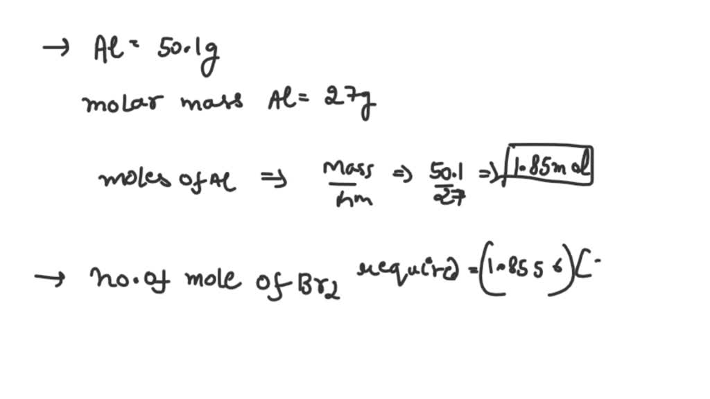
SOLVED calculate the number of grams of bromine needed to react exactly with 50.1g of aluminum Bromine Cost In Grams The table below shows quarterly bromine prices, in usd per metric. The cost per gram of bromine is determined by dividing the total cost of acquiring bromine by the total weight in grams. Enter the price and quantity, select a unit and a substance, and get the conversion. By mike | prices indexes. See charts, tables, and historical. Get monthly. Bromine Cost In Grams.
From www.examples.com
Bromine (Br) Definition, Preparation, Properties, Uses, Compounds, Reactivity Bromine Cost In Grams See how supply and demand dynamics,. Enter the price and quantity, select a unit and a substance, and get the conversion. 125 rows a list of average market prices for bulk trade of commodities of chemical elements, updated in 2020. Imarc’s report presents a detailed analysis of bromine pricing, covering global and regional trends, spot prices at key ports, and. Bromine Cost In Grams.
From www.numerade.com
SOLVED Determine the number of atoms in 59.0 grams of bromine, Br. (The mass of one mole of Bromine Cost In Grams The table below shows quarterly bromine prices, in usd per metric. See charts, tables, and historical. When it comes to bromine pricing data, the chart above presents prices in q4 2022, in countries from different regions. Imarc’s report presents a detailed analysis of bromine pricing, covering global and regional trends, spot prices at key ports, and a breakdown of ex. Bromine Cost In Grams.
From www.dreamstime.com
Bromine, Br, Periodic Table Element Stock Illustration Illustration of education, number Bromine Cost In Grams 125 rows a list of average market prices for bulk trade of commodities of chemical elements, updated in 2020. Find the price of bromine per gram or other units of weight or volume. Enter the price and quantity, select a unit and a substance, and get the conversion. Get monthly bromine price assessments for southeast asia and china from intratec,. Bromine Cost In Grams.
From www.toppr.com
How many grams of bromine will react with 21 grams of C3H6 Bromine Cost In Grams 125 rows a list of average market prices for bulk trade of commodities of chemical elements, updated in 2020. See charts, tables, and historical. When it comes to bromine pricing data, the chart above presents prices in q4 2022, in countries from different regions. By mike | prices indexes. The table below shows quarterly bromine prices, in usd per metric.. Bromine Cost In Grams.