Is Clockwise Going To The Left Or Right . Left or right turns are just ways of describing a change in. Both the terms clockwise and counterclockwise are defined based on looking at the clock. Is clockwise left or right? Looking at a clock from the front or the top, a counterclockwise direction proceeds to the left. Clockwise is moving or turning in the direction of an analog clock and this also describes a circular motion. Since a clock is a mechanical machine that is meant to display time, its. Read on to find out. Clockwise (cw) refers to the direction of the hands of a clock. Starting from the top, a hand moving clockwise would. Which way does clockwise go? • clockwise direction • discover the true direction. Think about an analogue clock. Clockwise involves a turn to the right as it follows the hands of a clock.
from www.svgrepo.com
Clockwise involves a turn to the right as it follows the hands of a clock. Clockwise is moving or turning in the direction of an analog clock and this also describes a circular motion. Left or right turns are just ways of describing a change in. Looking at a clock from the front or the top, a counterclockwise direction proceeds to the left. Think about an analogue clock. Which way does clockwise go? Since a clock is a mechanical machine that is meant to display time, its. • clockwise direction • discover the true direction. Is clockwise left or right? Starting from the top, a hand moving clockwise would.
Counter Clockwise Clock Icon SVG Vectors and Icons SVG Repo
Is Clockwise Going To The Left Or Right Think about an analogue clock. Both the terms clockwise and counterclockwise are defined based on looking at the clock. Clockwise involves a turn to the right as it follows the hands of a clock. Clockwise (cw) refers to the direction of the hands of a clock. Clockwise is moving or turning in the direction of an analog clock and this also describes a circular motion. Left or right turns are just ways of describing a change in. Since a clock is a mechanical machine that is meant to display time, its. Starting from the top, a hand moving clockwise would. Which way does clockwise go? Looking at a clock from the front or the top, a counterclockwise direction proceeds to the left. • clockwise direction • discover the true direction. Read on to find out. Is clockwise left or right? Think about an analogue clock.
From www.numerade.com
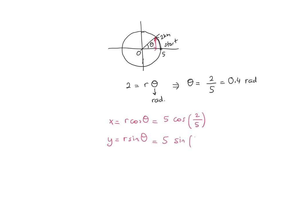
SOLVED A skier is going around a circular track with a 5 km radius as Is Clockwise Going To The Left Or Right Starting from the top, a hand moving clockwise would. Clockwise is moving or turning in the direction of an analog clock and this also describes a circular motion. Both the terms clockwise and counterclockwise are defined based on looking at the clock. Which way does clockwise go? Looking at a clock from the front or the top, a counterclockwise direction. Is Clockwise Going To The Left Or Right.
From www.alamy.com
Rotating arrows in circle clockwise direction Stock Vector Image & Art Is Clockwise Going To The Left Or Right • clockwise direction • discover the true direction. Both the terms clockwise and counterclockwise are defined based on looking at the clock. Clockwise involves a turn to the right as it follows the hands of a clock. Is clockwise left or right? Think about an analogue clock. Read on to find out. Clockwise (cw) refers to the direction of the. Is Clockwise Going To The Left Or Right.
From www.tes.com
Clockwise and Anticlockwise Turns Teaching Resources Is Clockwise Going To The Left Or Right Clockwise involves a turn to the right as it follows the hands of a clock. Is clockwise left or right? Read on to find out. Left or right turns are just ways of describing a change in. Which way does clockwise go? Starting from the top, a hand moving clockwise would. • clockwise direction • discover the true direction. Both. Is Clockwise Going To The Left Or Right.
From bobtamasy.blogspot.com
"Just Thinking" by Robert J. Tamasy Going Clockwise in a Counter Is Clockwise Going To The Left Or Right Clockwise is moving or turning in the direction of an analog clock and this also describes a circular motion. • clockwise direction • discover the true direction. Starting from the top, a hand moving clockwise would. Which way does clockwise go? Clockwise involves a turn to the right as it follows the hands of a clock. Left or right turns. Is Clockwise Going To The Left Or Right.
From www.dreamstime.com
Turning Clockwise Stock Illustrations 222 Turning Clockwise Stock Is Clockwise Going To The Left Or Right Read on to find out. Which way does clockwise go? Clockwise involves a turn to the right as it follows the hands of a clock. Think about an analogue clock. Left or right turns are just ways of describing a change in. Clockwise (cw) refers to the direction of the hands of a clock. Clockwise is moving or turning in. Is Clockwise Going To The Left Or Right.
From en.wikipedia.org
Clockwise Wikipedia Is Clockwise Going To The Left Or Right Clockwise involves a turn to the right as it follows the hands of a clock. Read on to find out. Both the terms clockwise and counterclockwise are defined based on looking at the clock. Clockwise (cw) refers to the direction of the hands of a clock. Is clockwise left or right? Left or right turns are just ways of describing. Is Clockwise Going To The Left Or Right.
From www.nagwa.com
Question Video Describing Quarter Turns Using Clockwise and Is Clockwise Going To The Left Or Right Think about an analogue clock. Which way does clockwise go? Is clockwise left or right? • clockwise direction • discover the true direction. Looking at a clock from the front or the top, a counterclockwise direction proceeds to the left. Clockwise (cw) refers to the direction of the hands of a clock. Read on to find out. Clockwise involves a. Is Clockwise Going To The Left Or Right.
From lessonlistsulcalize.z22.web.core.windows.net
Clockwise And Counterclockwise Direction Is Clockwise Going To The Left Or Right Looking at a clock from the front or the top, a counterclockwise direction proceeds to the left. Clockwise is moving or turning in the direction of an analog clock and this also describes a circular motion. Both the terms clockwise and counterclockwise are defined based on looking at the clock. Starting from the top, a hand moving clockwise would. Clockwise. Is Clockwise Going To The Left Or Right.
From www.haaretz.com
What TaNehisi Coates Gets Wrong and Right About Israel in 'The Is Clockwise Going To The Left Or Right Clockwise (cw) refers to the direction of the hands of a clock. Clockwise is moving or turning in the direction of an analog clock and this also describes a circular motion. Since a clock is a mechanical machine that is meant to display time, its. Is clockwise left or right? Read on to find out. • clockwise direction • discover. Is Clockwise Going To The Left Or Right.
From forokd.com
ClockWise Free Best tips and How To for Android and iPhone ForoKD Is Clockwise Going To The Left Or Right Which way does clockwise go? • clockwise direction • discover the true direction. Clockwise is moving or turning in the direction of an analog clock and this also describes a circular motion. Left or right turns are just ways of describing a change in. Both the terms clockwise and counterclockwise are defined based on looking at the clock. Think about. Is Clockwise Going To The Left Or Right.
From printableschuhmacher.z13.web.core.windows.net
Counterclockwise Vs Counter Clockwise Is Clockwise Going To The Left Or Right Starting from the top, a hand moving clockwise would. Think about an analogue clock. Clockwise is moving or turning in the direction of an analog clock and this also describes a circular motion. Looking at a clock from the front or the top, a counterclockwise direction proceeds to the left. Left or right turns are just ways of describing a. Is Clockwise Going To The Left Or Right.
From www.cuemath.com
Clockwise Definition & Examples Cuemath Is Clockwise Going To The Left Or Right Is clockwise left or right? Looking at a clock from the front or the top, a counterclockwise direction proceeds to the left. Clockwise involves a turn to the right as it follows the hands of a clock. Clockwise is moving or turning in the direction of an analog clock and this also describes a circular motion. • clockwise direction •. Is Clockwise Going To The Left Or Right.
From www.pngegg.com
Clockwise, Clockwise, cdr, black And White png PNGEgg Is Clockwise Going To The Left Or Right Clockwise (cw) refers to the direction of the hands of a clock. Which way does clockwise go? Both the terms clockwise and counterclockwise are defined based on looking at the clock. Starting from the top, a hand moving clockwise would. Clockwise involves a turn to the right as it follows the hands of a clock. Left or right turns are. Is Clockwise Going To The Left Or Right.
From www.youtube.com
Which way is counter clockwise right or left? YouTube Is Clockwise Going To The Left Or Right Clockwise is moving or turning in the direction of an analog clock and this also describes a circular motion. Left or right turns are just ways of describing a change in. Which way does clockwise go? Looking at a clock from the front or the top, a counterclockwise direction proceeds to the left. Since a clock is a mechanical machine. Is Clockwise Going To The Left Or Right.
From www.researchgate.net
Illusion of clockwise circular motion for a download, where black areas Is Clockwise Going To The Left Or Right Looking at a clock from the front or the top, a counterclockwise direction proceeds to the left. Read on to find out. Starting from the top, a hand moving clockwise would. Clockwise is moving or turning in the direction of an analog clock and this also describes a circular motion. Think about an analogue clock. Left or right turns are. Is Clockwise Going To The Left Or Right.
From www.yahoo.com
'Things are going to be OK' A family's riverside memorial, lost and Is Clockwise Going To The Left Or Right Starting from the top, a hand moving clockwise would. Looking at a clock from the front or the top, a counterclockwise direction proceeds to the left. • clockwise direction • discover the true direction. Which way does clockwise go? Clockwise (cw) refers to the direction of the hands of a clock. Clockwise involves a turn to the right as it. Is Clockwise Going To The Left Or Right.
From www.getclockwise.com
Clockwise AI is a brand new calendar experience powered by GPT that Is Clockwise Going To The Left Or Right Clockwise involves a turn to the right as it follows the hands of a clock. Looking at a clock from the front or the top, a counterclockwise direction proceeds to the left. Which way does clockwise go? Clockwise is moving or turning in the direction of an analog clock and this also describes a circular motion. Both the terms clockwise. Is Clockwise Going To The Left Or Right.
From www.pinclipart.com
Clockwise Icons Rotation Png Clipart (1716656) PinClipart Is Clockwise Going To The Left Or Right Left or right turns are just ways of describing a change in. Which way does clockwise go? Clockwise (cw) refers to the direction of the hands of a clock. Since a clock is a mechanical machine that is meant to display time, its. • clockwise direction • discover the true direction. Starting from the top, a hand moving clockwise would.. Is Clockwise Going To The Left Or Right.
From clockwise.beehiiv.com
Clockwise Is Clockwise Going To The Left Or Right Is clockwise left or right? Since a clock is a mechanical machine that is meant to display time, its. • clockwise direction • discover the true direction. Think about an analogue clock. Clockwise (cw) refers to the direction of the hands of a clock. Which way does clockwise go? Looking at a clock from the front or the top, a. Is Clockwise Going To The Left Or Right.
From maths.forkids.education
Rotate 90 Degrees Clockwise or 270 Degrees Counterclockwise Is Clockwise Going To The Left Or Right Both the terms clockwise and counterclockwise are defined based on looking at the clock. Clockwise is moving or turning in the direction of an analog clock and this also describes a circular motion. Left or right turns are just ways of describing a change in. Looking at a clock from the front or the top, a counterclockwise direction proceeds to. Is Clockwise Going To The Left Or Right.
From www.differencebetween.net
Difference Between Clockwise and Counterclockwise Difference Between Is Clockwise Going To The Left Or Right Is clockwise left or right? Since a clock is a mechanical machine that is meant to display time, its. Clockwise (cw) refers to the direction of the hands of a clock. Which way does clockwise go? Think about an analogue clock. Both the terms clockwise and counterclockwise are defined based on looking at the clock. Clockwise is moving or turning. Is Clockwise Going To The Left Or Right.
From www.youtube.com
Clockwise and Anti Clockwise Teaching Resource YouTube Is Clockwise Going To The Left Or Right Clockwise involves a turn to the right as it follows the hands of a clock. Starting from the top, a hand moving clockwise would. Is clockwise left or right? Clockwise (cw) refers to the direction of the hands of a clock. Looking at a clock from the front or the top, a counterclockwise direction proceeds to the left. Which way. Is Clockwise Going To The Left Or Right.
From www.youtube.com
Year 2 Clockwise and Anti Clockwise Directions YouTube Is Clockwise Going To The Left Or Right Is clockwise left or right? • clockwise direction • discover the true direction. Which way does clockwise go? Clockwise involves a turn to the right as it follows the hands of a clock. Both the terms clockwise and counterclockwise are defined based on looking at the clock. Think about an analogue clock. Read on to find out. Since a clock. Is Clockwise Going To The Left Or Right.
From www.youtube.com
How to determine clockwise and anti clockwise moment? YouTube Is Clockwise Going To The Left Or Right • clockwise direction • discover the true direction. Clockwise is moving or turning in the direction of an analog clock and this also describes a circular motion. Which way does clockwise go? Both the terms clockwise and counterclockwise are defined based on looking at the clock. Looking at a clock from the front or the top, a counterclockwise direction proceeds. Is Clockwise Going To The Left Or Right.
From www.publicdomainpictures.net
Clockwise Free Stock Photo Public Domain Pictures Is Clockwise Going To The Left Or Right Both the terms clockwise and counterclockwise are defined based on looking at the clock. • clockwise direction • discover the true direction. Looking at a clock from the front or the top, a counterclockwise direction proceeds to the left. Clockwise is moving or turning in the direction of an analog clock and this also describes a circular motion. Starting from. Is Clockwise Going To The Left Or Right.
From www.savemyexams.com
Moments AQA A Level Physics Revision Notes 2017 Is Clockwise Going To The Left Or Right Which way does clockwise go? Clockwise is moving or turning in the direction of an analog clock and this also describes a circular motion. Left or right turns are just ways of describing a change in. Both the terms clockwise and counterclockwise are defined based on looking at the clock. Clockwise (cw) refers to the direction of the hands of. Is Clockwise Going To The Left Or Right.
From jollyedition.com
clockwise Jolly Edition Illustration and Stationery Made in Is Clockwise Going To The Left Or Right Clockwise involves a turn to the right as it follows the hands of a clock. Is clockwise left or right? Starting from the top, a hand moving clockwise would. Clockwise is moving or turning in the direction of an analog clock and this also describes a circular motion. Think about an analogue clock. • clockwise direction • discover the true. Is Clockwise Going To The Left Or Right.
From www.getclockwise.com
Clockwise or humans who moves more meetings at the last minute Is Clockwise Going To The Left Or Right Looking at a clock from the front or the top, a counterclockwise direction proceeds to the left. Both the terms clockwise and counterclockwise are defined based on looking at the clock. Which way does clockwise go? Is clockwise left or right? Clockwise involves a turn to the right as it follows the hands of a clock. Read on to find. Is Clockwise Going To The Left Or Right.
From www.youtube.com
Determining clockwise vs counter clockwise rotations YouTube Is Clockwise Going To The Left Or Right Left or right turns are just ways of describing a change in. Read on to find out. Clockwise involves a turn to the right as it follows the hands of a clock. Think about an analogue clock. Both the terms clockwise and counterclockwise are defined based on looking at the clock. • clockwise direction • discover the true direction. Clockwise. Is Clockwise Going To The Left Or Right.
From trueifil745.weebly.com
Anschauen online Counter Clockwise in in FULL HD trueifil Is Clockwise Going To The Left Or Right Think about an analogue clock. Is clockwise left or right? Clockwise involves a turn to the right as it follows the hands of a clock. Clockwise is moving or turning in the direction of an analog clock and this also describes a circular motion. Starting from the top, a hand moving clockwise would. Which way does clockwise go? Clockwise (cw). Is Clockwise Going To The Left Or Right.
From www.slideserve.com
PPT Rotations PowerPoint Presentation, free download ID6380739 Is Clockwise Going To The Left Or Right Looking at a clock from the front or the top, a counterclockwise direction proceeds to the left. Which way does clockwise go? Starting from the top, a hand moving clockwise would. • clockwise direction • discover the true direction. Left or right turns are just ways of describing a change in. Clockwise is moving or turning in the direction of. Is Clockwise Going To The Left Or Right.
From www.svgrepo.com
Counter Clockwise Clock Icon SVG Vectors and Icons SVG Repo Is Clockwise Going To The Left Or Right Since a clock is a mechanical machine that is meant to display time, its. Starting from the top, a hand moving clockwise would. Think about an analogue clock. Looking at a clock from the front or the top, a counterclockwise direction proceeds to the left. Clockwise is moving or turning in the direction of an analog clock and this also. Is Clockwise Going To The Left Or Right.
From giowtknck.blob.core.windows.net
Counter Clockwise Definition Math at Richard Wu blog Is Clockwise Going To The Left Or Right Both the terms clockwise and counterclockwise are defined based on looking at the clock. • clockwise direction • discover the true direction. Starting from the top, a hand moving clockwise would. Clockwise is moving or turning in the direction of an analog clock and this also describes a circular motion. Clockwise involves a turn to the right as it follows. Is Clockwise Going To The Left Or Right.
From www.getclockwise.com
Incorporate Clockwise in Your Daily Routine Clockwise Is Clockwise Going To The Left Or Right Which way does clockwise go? Left or right turns are just ways of describing a change in. Starting from the top, a hand moving clockwise would. Looking at a clock from the front or the top, a counterclockwise direction proceeds to the left. Clockwise involves a turn to the right as it follows the hands of a clock. Think about. Is Clockwise Going To The Left Or Right.
From www.dreamstime.com
Counterclockwise Direction Stock Illustrations 332 Counterclockwise Is Clockwise Going To The Left Or Right Clockwise is moving or turning in the direction of an analog clock and this also describes a circular motion. Read on to find out. Looking at a clock from the front or the top, a counterclockwise direction proceeds to the left. Think about an analogue clock. Clockwise (cw) refers to the direction of the hands of a clock. Since a. Is Clockwise Going To The Left Or Right.