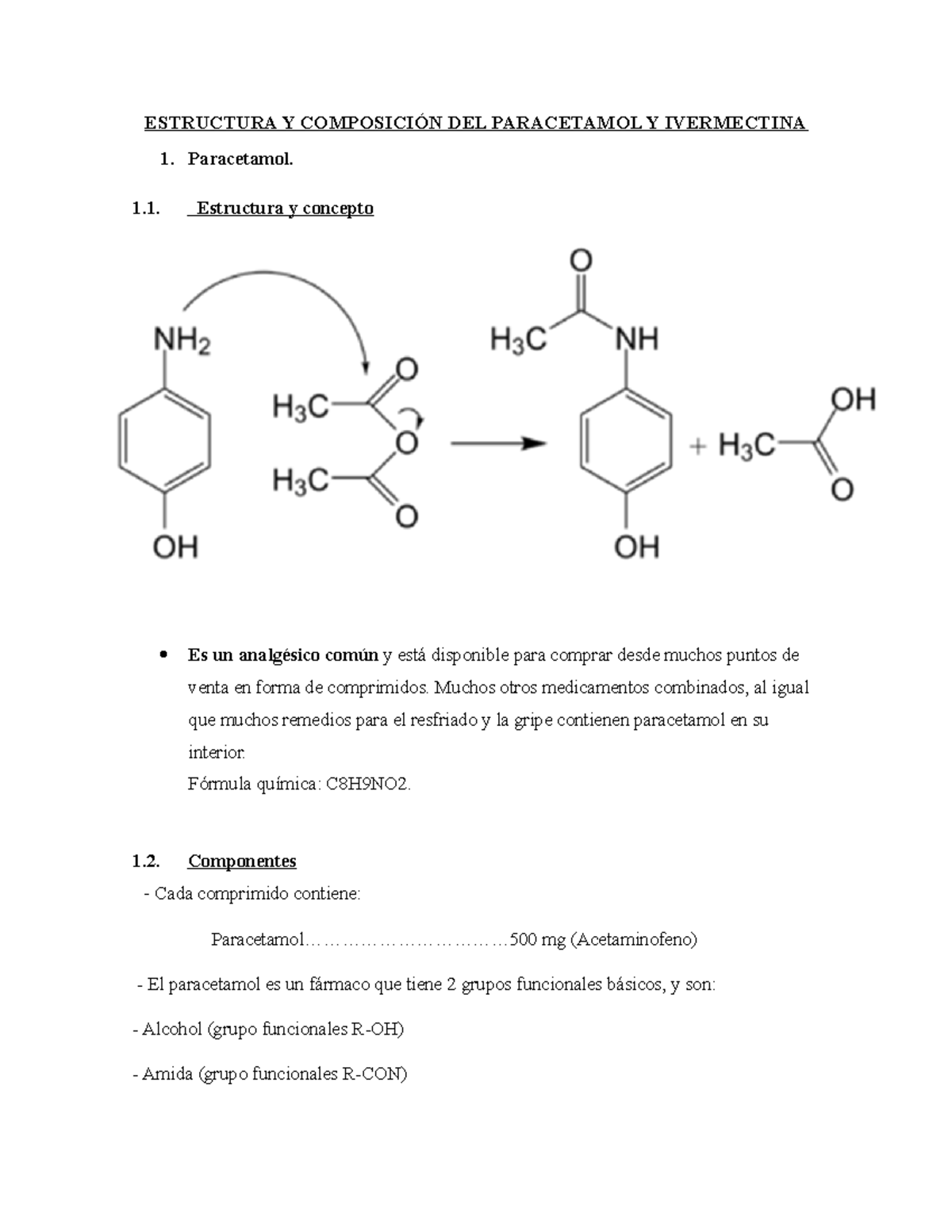
Paracetamol Formula Quimica . C 8 h 9 no 2 fórmula estrutural: Paracetamol is a chemical compound with a chemical formula of c₈h₉no₂. Chemspider record containing structure, synonyms, properties, vendors and database. O que queremos destacar são os átomos de oxigênio (o) demonstrados em vermelho e. The chemical structure of acetaminophen consists of a benzene ring core, substituted by one hydroxyl group and the nitrogen atom of an.
from stock.adobe.com
The chemical structure of acetaminophen consists of a benzene ring core, substituted by one hydroxyl group and the nitrogen atom of an. O que queremos destacar são os átomos de oxigênio (o) demonstrados em vermelho e. Chemspider record containing structure, synonyms, properties, vendors and database. C 8 h 9 no 2 fórmula estrutural: Paracetamol is a chemical compound with a chemical formula of c₈h₉no₂.
3D image of Paracetamol skeletal formula molecular chemical structure
Paracetamol Formula Quimica The chemical structure of acetaminophen consists of a benzene ring core, substituted by one hydroxyl group and the nitrogen atom of an. Paracetamol is a chemical compound with a chemical formula of c₈h₉no₂. Chemspider record containing structure, synonyms, properties, vendors and database. O que queremos destacar são os átomos de oxigênio (o) demonstrados em vermelho e. The chemical structure of acetaminophen consists of a benzene ring core, substituted by one hydroxyl group and the nitrogen atom of an. C 8 h 9 no 2 fórmula estrutural:
From mx.depositphotos.com
Paracetamol fórmula química estructural de los analgésicos — Archivo Paracetamol Formula Quimica O que queremos destacar são os átomos de oxigênio (o) demonstrados em vermelho e. C 8 h 9 no 2 fórmula estrutural: Paracetamol is a chemical compound with a chemical formula of c₈h₉no₂. The chemical structure of acetaminophen consists of a benzene ring core, substituted by one hydroxyl group and the nitrogen atom of an. Chemspider record containing structure, synonyms,. Paracetamol Formula Quimica.
From depositphotos.com
Paracetamol structural chemical formula Stock Vector Image by ©eshana Paracetamol Formula Quimica O que queremos destacar são os átomos de oxigênio (o) demonstrados em vermelho e. Paracetamol is a chemical compound with a chemical formula of c₈h₉no₂. C 8 h 9 no 2 fórmula estrutural: The chemical structure of acetaminophen consists of a benzene ring core, substituted by one hydroxyl group and the nitrogen atom of an. Chemspider record containing structure, synonyms,. Paracetamol Formula Quimica.
From creativemarket.com
Paracetamol molecular structure Healthcare Illustrations Creative Paracetamol Formula Quimica Chemspider record containing structure, synonyms, properties, vendors and database. The chemical structure of acetaminophen consists of a benzene ring core, substituted by one hydroxyl group and the nitrogen atom of an. C 8 h 9 no 2 fórmula estrutural: O que queremos destacar são os átomos de oxigênio (o) demonstrados em vermelho e. Paracetamol is a chemical compound with a. Paracetamol Formula Quimica.
From stock.adobe.com
3D image of Paracetamol skeletal formula molecular chemical structure Paracetamol Formula Quimica O que queremos destacar são os átomos de oxigênio (o) demonstrados em vermelho e. C 8 h 9 no 2 fórmula estrutural: Paracetamol is a chemical compound with a chemical formula of c₈h₉no₂. The chemical structure of acetaminophen consists of a benzene ring core, substituted by one hydroxyl group and the nitrogen atom of an. Chemspider record containing structure, synonyms,. Paracetamol Formula Quimica.
From www.alamy.es
Toxicidad del paracetamol fotografías e imágenes de alta resolución Alamy Paracetamol Formula Quimica C 8 h 9 no 2 fórmula estrutural: Paracetamol is a chemical compound with a chemical formula of c₈h₉no₂. The chemical structure of acetaminophen consists of a benzene ring core, substituted by one hydroxyl group and the nitrogen atom of an. O que queremos destacar são os átomos de oxigênio (o) demonstrados em vermelho e. Chemspider record containing structure, synonyms,. Paracetamol Formula Quimica.
From www.deperu.com
Fórmula química, fórmula esquelética y modelo de bola y palo 3D de Paracetamol Formula Quimica C 8 h 9 no 2 fórmula estrutural: O que queremos destacar são os átomos de oxigênio (o) demonstrados em vermelho e. Paracetamol is a chemical compound with a chemical formula of c₈h₉no₂. Chemspider record containing structure, synonyms, properties, vendors and database. The chemical structure of acetaminophen consists of a benzene ring core, substituted by one hydroxyl group and the. Paracetamol Formula Quimica.
From cartoondealer.com
Paracetamol Chemical Formula Vector Illustration Paracetamol Formula Quimica Paracetamol is a chemical compound with a chemical formula of c₈h₉no₂. O que queremos destacar são os átomos de oxigênio (o) demonstrados em vermelho e. C 8 h 9 no 2 fórmula estrutural: The chemical structure of acetaminophen consists of a benzene ring core, substituted by one hydroxyl group and the nitrogen atom of an. Chemspider record containing structure, synonyms,. Paracetamol Formula Quimica.
From www.myxxgirl.com
Paracetamol Acetaminophen Formula And Molecular Structure My XXX Hot Girl Paracetamol Formula Quimica The chemical structure of acetaminophen consists of a benzene ring core, substituted by one hydroxyl group and the nitrogen atom of an. O que queremos destacar são os átomos de oxigênio (o) demonstrados em vermelho e. Paracetamol is a chemical compound with a chemical formula of c₈h₉no₂. Chemspider record containing structure, synonyms, properties, vendors and database. C 8 h 9. Paracetamol Formula Quimica.
From www.dreamstime.com
Paracetamol Chemical Formula. Paracetamol Chemical Molecular Structure Paracetamol Formula Quimica Paracetamol is a chemical compound with a chemical formula of c₈h₉no₂. C 8 h 9 no 2 fórmula estrutural: O que queremos destacar são os átomos de oxigênio (o) demonstrados em vermelho e. Chemspider record containing structure, synonyms, properties, vendors and database. The chemical structure of acetaminophen consists of a benzene ring core, substituted by one hydroxyl group and the. Paracetamol Formula Quimica.
From es.vecteezy.com
estructura química del paracetamol o paracetamol. fórmula esquelética Paracetamol Formula Quimica The chemical structure of acetaminophen consists of a benzene ring core, substituted by one hydroxyl group and the nitrogen atom of an. Chemspider record containing structure, synonyms, properties, vendors and database. Paracetamol is a chemical compound with a chemical formula of c₈h₉no₂. C 8 h 9 no 2 fórmula estrutural: O que queremos destacar são os átomos de oxigênio (o). Paracetamol Formula Quimica.
From www.creativefabrica.com
Paracetamol Formula for Medical Design. Grafika przez DGStudio Paracetamol Formula Quimica C 8 h 9 no 2 fórmula estrutural: The chemical structure of acetaminophen consists of a benzene ring core, substituted by one hydroxyl group and the nitrogen atom of an. Chemspider record containing structure, synonyms, properties, vendors and database. Paracetamol is a chemical compound with a chemical formula of c₈h₉no₂. O que queremos destacar são os átomos de oxigênio (o). Paracetamol Formula Quimica.
From latestdrugs.blogspot.com
Drugs and Medicines PARACETAMOL CHEMICAL STRUCTURE Paracetamol Formula Quimica The chemical structure of acetaminophen consists of a benzene ring core, substituted by one hydroxyl group and the nitrogen atom of an. Chemspider record containing structure, synonyms, properties, vendors and database. O que queremos destacar são os átomos de oxigênio (o) demonstrados em vermelho e. Paracetamol is a chemical compound with a chemical formula of c₈h₉no₂. C 8 h 9. Paracetamol Formula Quimica.
From www.alamy.com
Chemical Structure of Paracetamol, Anatomy Of Paracetamol, Molecular Paracetamol Formula Quimica Paracetamol is a chemical compound with a chemical formula of c₈h₉no₂. C 8 h 9 no 2 fórmula estrutural: The chemical structure of acetaminophen consists of a benzene ring core, substituted by one hydroxyl group and the nitrogen atom of an. O que queremos destacar são os átomos de oxigênio (o) demonstrados em vermelho e. Chemspider record containing structure, synonyms,. Paracetamol Formula Quimica.
From www.alamy.com
Chemical formula of Paracetamol. Closeup Stock Photo Alamy Paracetamol Formula Quimica The chemical structure of acetaminophen consists of a benzene ring core, substituted by one hydroxyl group and the nitrogen atom of an. O que queremos destacar são os átomos de oxigênio (o) demonstrados em vermelho e. C 8 h 9 no 2 fórmula estrutural: Paracetamol is a chemical compound with a chemical formula of c₈h₉no₂. Chemspider record containing structure, synonyms,. Paracetamol Formula Quimica.
From www.alamy.es
Paracetamol Paracetamol medicamento molécula. Fórmula química y modelo Paracetamol Formula Quimica Paracetamol is a chemical compound with a chemical formula of c₈h₉no₂. C 8 h 9 no 2 fórmula estrutural: O que queremos destacar são os átomos de oxigênio (o) demonstrados em vermelho e. Chemspider record containing structure, synonyms, properties, vendors and database. The chemical structure of acetaminophen consists of a benzene ring core, substituted by one hydroxyl group and the. Paracetamol Formula Quimica.
From www.alamy.es
Paracetamol (paracetamol) molécula de medicamento analgésico. Se usa Paracetamol Formula Quimica C 8 h 9 no 2 fórmula estrutural: The chemical structure of acetaminophen consists of a benzene ring core, substituted by one hydroxyl group and the nitrogen atom of an. Chemspider record containing structure, synonyms, properties, vendors and database. Paracetamol is a chemical compound with a chemical formula of c₈h₉no₂. O que queremos destacar são os átomos de oxigênio (o). Paracetamol Formula Quimica.
From www.dreamstime.com
Paracetamol Chemical Formula Stock Vector Illustration of apap Paracetamol Formula Quimica O que queremos destacar são os átomos de oxigênio (o) demonstrados em vermelho e. Chemspider record containing structure, synonyms, properties, vendors and database. C 8 h 9 no 2 fórmula estrutural: The chemical structure of acetaminophen consists of a benzene ring core, substituted by one hydroxyl group and the nitrogen atom of an. Paracetamol is a chemical compound with a. Paracetamol Formula Quimica.
From www.alamy.com
Chemistry chemical formula paracetamol Stock Vector Images Alamy Paracetamol Formula Quimica O que queremos destacar são os átomos de oxigênio (o) demonstrados em vermelho e. Paracetamol is a chemical compound with a chemical formula of c₈h₉no₂. C 8 h 9 no 2 fórmula estrutural: The chemical structure of acetaminophen consists of a benzene ring core, substituted by one hydroxyl group and the nitrogen atom of an. Chemspider record containing structure, synonyms,. Paracetamol Formula Quimica.
From www.alamy.com
Paracetamol chemical structure Black and White Stock Photos & Images Paracetamol Formula Quimica Chemspider record containing structure, synonyms, properties, vendors and database. C 8 h 9 no 2 fórmula estrutural: Paracetamol is a chemical compound with a chemical formula of c₈h₉no₂. The chemical structure of acetaminophen consists of a benzene ring core, substituted by one hydroxyl group and the nitrogen atom of an. O que queremos destacar são os átomos de oxigênio (o). Paracetamol Formula Quimica.
From www.alamy.es
Estructura molecular de paracetamol. Fórmula química esquelética de Paracetamol Formula Quimica Paracetamol is a chemical compound with a chemical formula of c₈h₉no₂. C 8 h 9 no 2 fórmula estrutural: Chemspider record containing structure, synonyms, properties, vendors and database. The chemical structure of acetaminophen consists of a benzene ring core, substituted by one hydroxyl group and the nitrogen atom of an. O que queremos destacar são os átomos de oxigênio (o). Paracetamol Formula Quimica.
From www.dreamstime.com
Paracetamol Molecular Structure on White Background. Vector Paracetamol Formula Quimica O que queremos destacar são os átomos de oxigênio (o) demonstrados em vermelho e. Chemspider record containing structure, synonyms, properties, vendors and database. Paracetamol is a chemical compound with a chemical formula of c₈h₉no₂. C 8 h 9 no 2 fórmula estrutural: The chemical structure of acetaminophen consists of a benzene ring core, substituted by one hydroxyl group and the. Paracetamol Formula Quimica.
From cartoondealer.com
Paracetamol Molecular Structure Stock Image 54597991 Paracetamol Formula Quimica Chemspider record containing structure, synonyms, properties, vendors and database. The chemical structure of acetaminophen consists of a benzene ring core, substituted by one hydroxyl group and the nitrogen atom of an. Paracetamol is a chemical compound with a chemical formula of c₈h₉no₂. O que queremos destacar são os átomos de oxigênio (o) demonstrados em vermelho e. C 8 h 9. Paracetamol Formula Quimica.
From www.studocu.com
Ivermectina Y Paracetamol ESTRUCTURA Y COMPOSICIÓN DEL PARACETAMOL Y Paracetamol Formula Quimica Chemspider record containing structure, synonyms, properties, vendors and database. Paracetamol is a chemical compound with a chemical formula of c₈h₉no₂. The chemical structure of acetaminophen consists of a benzene ring core, substituted by one hydroxyl group and the nitrogen atom of an. O que queremos destacar são os átomos de oxigênio (o) demonstrados em vermelho e. C 8 h 9. Paracetamol Formula Quimica.
From www.facebook.com
Notitrece de la tarde EnVivo 🔴 Notitrece de la tarde con Juan Paracetamol Formula Quimica O que queremos destacar são os átomos de oxigênio (o) demonstrados em vermelho e. Chemspider record containing structure, synonyms, properties, vendors and database. C 8 h 9 no 2 fórmula estrutural: Paracetamol is a chemical compound with a chemical formula of c₈h₉no₂. The chemical structure of acetaminophen consists of a benzene ring core, substituted by one hydroxyl group and the. Paracetamol Formula Quimica.
From www.facebook.com
Notitrece de la tarde EnVivo 🔴 Notitrece de la tarde con Juan Paracetamol Formula Quimica O que queremos destacar são os átomos de oxigênio (o) demonstrados em vermelho e. Paracetamol is a chemical compound with a chemical formula of c₈h₉no₂. The chemical structure of acetaminophen consists of a benzene ring core, substituted by one hydroxyl group and the nitrogen atom of an. Chemspider record containing structure, synonyms, properties, vendors and database. C 8 h 9. Paracetamol Formula Quimica.
From www.dreamstime.com
Paracetamol Chemical Formula. Paracetamol Structural Chemical Formula Paracetamol Formula Quimica O que queremos destacar são os átomos de oxigênio (o) demonstrados em vermelho e. C 8 h 9 no 2 fórmula estrutural: Chemspider record containing structure, synonyms, properties, vendors and database. Paracetamol is a chemical compound with a chemical formula of c₈h₉no₂. The chemical structure of acetaminophen consists of a benzene ring core, substituted by one hydroxyl group and the. Paracetamol Formula Quimica.
From www.creativefabrica.com
Paracetamol Formula for Medical Design. Grafika przez DGStudio Paracetamol Formula Quimica C 8 h 9 no 2 fórmula estrutural: Chemspider record containing structure, synonyms, properties, vendors and database. The chemical structure of acetaminophen consists of a benzene ring core, substituted by one hydroxyl group and the nitrogen atom of an. O que queremos destacar são os átomos de oxigênio (o) demonstrados em vermelho e. Paracetamol is a chemical compound with a. Paracetamol Formula Quimica.
From www.thoughtco.com
Organic Compounds Names and Formulas Starting with P Paracetamol Formula Quimica Chemspider record containing structure, synonyms, properties, vendors and database. Paracetamol is a chemical compound with a chemical formula of c₈h₉no₂. C 8 h 9 no 2 fórmula estrutural: O que queremos destacar são os átomos de oxigênio (o) demonstrados em vermelho e. The chemical structure of acetaminophen consists of a benzene ring core, substituted by one hydroxyl group and the. Paracetamol Formula Quimica.
From cartoondealer.com
Molecule Of Paracetamol. Molecular Model, Conceptual 3d Rendering Paracetamol Formula Quimica C 8 h 9 no 2 fórmula estrutural: Chemspider record containing structure, synonyms, properties, vendors and database. O que queremos destacar são os átomos de oxigênio (o) demonstrados em vermelho e. The chemical structure of acetaminophen consists of a benzene ring core, substituted by one hydroxyl group and the nitrogen atom of an. Paracetamol is a chemical compound with a. Paracetamol Formula Quimica.
From colosoimages.com
paracetamol acetaminophen analgesic drug molecule. nonsteroidal anti Paracetamol Formula Quimica Chemspider record containing structure, synonyms, properties, vendors and database. The chemical structure of acetaminophen consists of a benzene ring core, substituted by one hydroxyl group and the nitrogen atom of an. O que queremos destacar são os átomos de oxigênio (o) demonstrados em vermelho e. Paracetamol is a chemical compound with a chemical formula of c₈h₉no₂. C 8 h 9. Paracetamol Formula Quimica.
From www.facebook.com
Notitrece de la tarde EnVivo 🔴 Notitrece de la tarde con Juan Paracetamol Formula Quimica C 8 h 9 no 2 fórmula estrutural: The chemical structure of acetaminophen consists of a benzene ring core, substituted by one hydroxyl group and the nitrogen atom of an. O que queremos destacar são os átomos de oxigênio (o) demonstrados em vermelho e. Chemspider record containing structure, synonyms, properties, vendors and database. Paracetamol is a chemical compound with a. Paracetamol Formula Quimica.
From es.vecteezy.com
fórmula esquelética vectorial de paracetamol. molécula química del Paracetamol Formula Quimica Chemspider record containing structure, synonyms, properties, vendors and database. Paracetamol is a chemical compound with a chemical formula of c₈h₉no₂. C 8 h 9 no 2 fórmula estrutural: The chemical structure of acetaminophen consists of a benzene ring core, substituted by one hydroxyl group and the nitrogen atom of an. O que queremos destacar são os átomos de oxigênio (o). Paracetamol Formula Quimica.
From www.dreamstime.com
Paracetamol, Acetaminophen, Formula and Molecular Structure Stock Paracetamol Formula Quimica Paracetamol is a chemical compound with a chemical formula of c₈h₉no₂. Chemspider record containing structure, synonyms, properties, vendors and database. The chemical structure of acetaminophen consists of a benzene ring core, substituted by one hydroxyl group and the nitrogen atom of an. C 8 h 9 no 2 fórmula estrutural: O que queremos destacar são os átomos de oxigênio (o). Paracetamol Formula Quimica.
From stock.adobe.com
Paracetamol chemical formula. Paracetamol structural chemical formula Paracetamol Formula Quimica Paracetamol is a chemical compound with a chemical formula of c₈h₉no₂. C 8 h 9 no 2 fórmula estrutural: The chemical structure of acetaminophen consists of a benzene ring core, substituted by one hydroxyl group and the nitrogen atom of an. Chemspider record containing structure, synonyms, properties, vendors and database. O que queremos destacar são os átomos de oxigênio (o). Paracetamol Formula Quimica.
From www.alamy.es
Molécula de fármaco paracetamol (paracetamol). Fórmula química Paracetamol Formula Quimica The chemical structure of acetaminophen consists of a benzene ring core, substituted by one hydroxyl group and the nitrogen atom of an. Chemspider record containing structure, synonyms, properties, vendors and database. C 8 h 9 no 2 fórmula estrutural: Paracetamol is a chemical compound with a chemical formula of c₈h₉no₂. O que queremos destacar são os átomos de oxigênio (o). Paracetamol Formula Quimica.