How To Calculate Vacuum Energy . The vacuum energy for a free field is the ground state energy of each field oscillator, ${1\over 2} \omega$, summed over all the modes. The simplest explanation for dark energy is that it is vacuum energy. Measurements from cosmology indicate a vacuum energy density. In classical physics, if you have a particle that is acted on. Using e = mc2 to convert between energy and mass, it corresponds to a mass density of about 1096 kilograms per cubic. By the end of this section, you will be able to: Many theorists suspect that the total vacuum energy is exactly zero.
from imagetou.com
By the end of this section, you will be able to: Many theorists suspect that the total vacuum energy is exactly zero. The vacuum energy for a free field is the ground state energy of each field oscillator, ${1\over 2} \omega$, summed over all the modes. Measurements from cosmology indicate a vacuum energy density. Using e = mc2 to convert between energy and mass, it corresponds to a mass density of about 1096 kilograms per cubic. In classical physics, if you have a particle that is acted on. The simplest explanation for dark energy is that it is vacuum energy.
Vacuum Pump Energy Calculation Image to u
How To Calculate Vacuum Energy The vacuum energy for a free field is the ground state energy of each field oscillator, ${1\over 2} \omega$, summed over all the modes. The vacuum energy for a free field is the ground state energy of each field oscillator, ${1\over 2} \omega$, summed over all the modes. In classical physics, if you have a particle that is acted on. By the end of this section, you will be able to: Using e = mc2 to convert between energy and mass, it corresponds to a mass density of about 1096 kilograms per cubic. The simplest explanation for dark energy is that it is vacuum energy. Many theorists suspect that the total vacuum energy is exactly zero. Measurements from cosmology indicate a vacuum energy density.
From www.numerade.com
SOLVED Calculate the speed of light in vacuum using Maxwell's equations. How To Calculate Vacuum Energy Many theorists suspect that the total vacuum energy is exactly zero. The vacuum energy for a free field is the ground state energy of each field oscillator, ${1\over 2} \omega$, summed over all the modes. Measurements from cosmology indicate a vacuum energy density. The simplest explanation for dark energy is that it is vacuum energy. By the end of this. How To Calculate Vacuum Energy.
From www.mks.com
Introduction to Vacuum Pressure Measurement How To Calculate Vacuum Energy In classical physics, if you have a particle that is acted on. The vacuum energy for a free field is the ground state energy of each field oscillator, ${1\over 2} \omega$, summed over all the modes. By the end of this section, you will be able to: Using e = mc2 to convert between energy and mass, it corresponds to. How To Calculate Vacuum Energy.
From www.researchgate.net
Universal temperature T u , vacuum energy and total massenergy vs How To Calculate Vacuum Energy Using e = mc2 to convert between energy and mass, it corresponds to a mass density of about 1096 kilograms per cubic. The simplest explanation for dark energy is that it is vacuum energy. Measurements from cosmology indicate a vacuum energy density. In classical physics, if you have a particle that is acted on. The vacuum energy for a free. How To Calculate Vacuum Energy.
From www.chegg.com
Solved Calculate vacuum pressure A, take h = 4.8m Please How To Calculate Vacuum Energy In classical physics, if you have a particle that is acted on. The simplest explanation for dark energy is that it is vacuum energy. Measurements from cosmology indicate a vacuum energy density. Many theorists suspect that the total vacuum energy is exactly zero. The vacuum energy for a free field is the ground state energy of each field oscillator, ${1\over. How To Calculate Vacuum Energy.
From www.slideserve.com
PPT Basics of Vacuum Technology PowerPoint Presentation, free How To Calculate Vacuum Energy In classical physics, if you have a particle that is acted on. Using e = mc2 to convert between energy and mass, it corresponds to a mass density of about 1096 kilograms per cubic. The vacuum energy for a free field is the ground state energy of each field oscillator, ${1\over 2} \omega$, summed over all the modes. By the. How To Calculate Vacuum Energy.
From imagetou.com
Vacuum Pump Power Calculation Image to u How To Calculate Vacuum Energy Using e = mc2 to convert between energy and mass, it corresponds to a mass density of about 1096 kilograms per cubic. The simplest explanation for dark energy is that it is vacuum energy. By the end of this section, you will be able to: In classical physics, if you have a particle that is acted on. The vacuum energy. How To Calculate Vacuum Energy.
From www.researchgate.net
1 Simplified energy diagram for a metal surface in vacuum. (Adapted How To Calculate Vacuum Energy Many theorists suspect that the total vacuum energy is exactly zero. Using e = mc2 to convert between energy and mass, it corresponds to a mass density of about 1096 kilograms per cubic. The vacuum energy for a free field is the ground state energy of each field oscillator, ${1\over 2} \omega$, summed over all the modes. In classical physics,. How To Calculate Vacuum Energy.
From physics.stackexchange.com
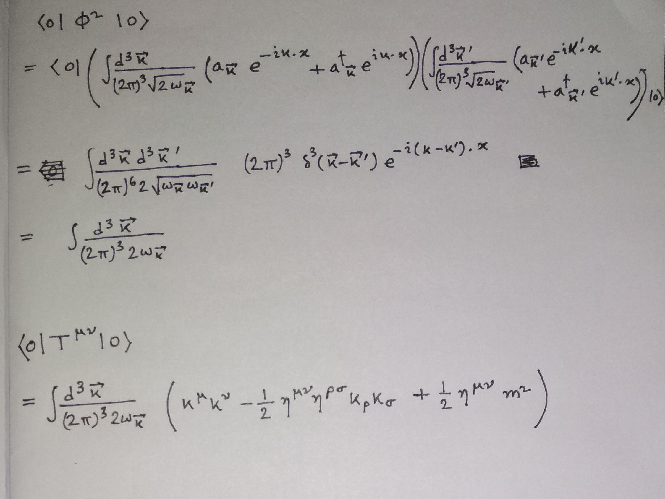
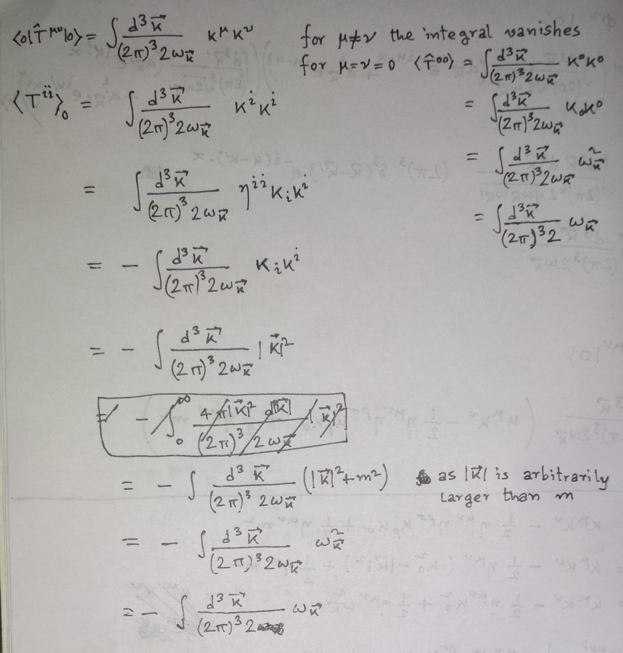
general relativity How to calculate the vacuum expectation value of How To Calculate Vacuum Energy The simplest explanation for dark energy is that it is vacuum energy. Measurements from cosmology indicate a vacuum energy density. Many theorists suspect that the total vacuum energy is exactly zero. In classical physics, if you have a particle that is acted on. Using e = mc2 to convert between energy and mass, it corresponds to a mass density of. How To Calculate Vacuum Energy.
From www.slideserve.com
PPT Can the Vacuum Energy be Dark Energy? PowerPoint Presentation How To Calculate Vacuum Energy The simplest explanation for dark energy is that it is vacuum energy. By the end of this section, you will be able to: Using e = mc2 to convert between energy and mass, it corresponds to a mass density of about 1096 kilograms per cubic. Many theorists suspect that the total vacuum energy is exactly zero. Measurements from cosmology indicate. How To Calculate Vacuum Energy.
From www.researchgate.net
Vacuum energy density and electron neutrino mass determination How To Calculate Vacuum Energy Using e = mc2 to convert between energy and mass, it corresponds to a mass density of about 1096 kilograms per cubic. Many theorists suspect that the total vacuum energy is exactly zero. The simplest explanation for dark energy is that it is vacuum energy. Measurements from cosmology indicate a vacuum energy density. By the end of this section, you. How To Calculate Vacuum Energy.
From www.slideserve.com
PPT Vacuum Pressure Calculations PowerPoint Presentation, free How To Calculate Vacuum Energy By the end of this section, you will be able to: Measurements from cosmology indicate a vacuum energy density. The simplest explanation for dark energy is that it is vacuum energy. Using e = mc2 to convert between energy and mass, it corresponds to a mass density of about 1096 kilograms per cubic. In classical physics, if you have a. How To Calculate Vacuum Energy.
From imagetou.com
Vacuum Pump Energy Calculation Image to u How To Calculate Vacuum Energy In classical physics, if you have a particle that is acted on. Many theorists suspect that the total vacuum energy is exactly zero. Using e = mc2 to convert between energy and mass, it corresponds to a mass density of about 1096 kilograms per cubic. The vacuum energy for a free field is the ground state energy of each field. How To Calculate Vacuum Energy.
From www.studocu.com
Tutorial1 Tutorial1 Tutorital 1 Vacuum Calculate the average How To Calculate Vacuum Energy Using e = mc2 to convert between energy and mass, it corresponds to a mass density of about 1096 kilograms per cubic. Measurements from cosmology indicate a vacuum energy density. Many theorists suspect that the total vacuum energy is exactly zero. By the end of this section, you will be able to: The simplest explanation for dark energy is that. How To Calculate Vacuum Energy.
From www.researchgate.net
Illustration of the energy diagram of a metalvacuum interface. For T How To Calculate Vacuum Energy Using e = mc2 to convert between energy and mass, it corresponds to a mass density of about 1096 kilograms per cubic. Measurements from cosmology indicate a vacuum energy density. The simplest explanation for dark energy is that it is vacuum energy. In classical physics, if you have a particle that is acted on. The vacuum energy for a free. How To Calculate Vacuum Energy.
From 9to5science.com
[Solved] How to calculate the vacuum expectation value 9to5Science How To Calculate Vacuum Energy Using e = mc2 to convert between energy and mass, it corresponds to a mass density of about 1096 kilograms per cubic. Measurements from cosmology indicate a vacuum energy density. Many theorists suspect that the total vacuum energy is exactly zero. In classical physics, if you have a particle that is acted on. The vacuum energy for a free field. How To Calculate Vacuum Energy.
From officialbruinsshop.com
Vacuum Permittivity Meaning Bruin Blog How To Calculate Vacuum Energy The simplest explanation for dark energy is that it is vacuum energy. By the end of this section, you will be able to: Using e = mc2 to convert between energy and mass, it corresponds to a mass density of about 1096 kilograms per cubic. Many theorists suspect that the total vacuum energy is exactly zero. The vacuum energy for. How To Calculate Vacuum Energy.
From blog.constellation.com
Saving with EnergyEfficient Vacuum Cleaners Constellation How To Calculate Vacuum Energy By the end of this section, you will be able to: Using e = mc2 to convert between energy and mass, it corresponds to a mass density of about 1096 kilograms per cubic. Many theorists suspect that the total vacuum energy is exactly zero. The simplest explanation for dark energy is that it is vacuum energy. In classical physics, if. How To Calculate Vacuum Energy.
From www.vtadiy.com
Loadline calculator for power stages with reactive load Vacuum Tube How To Calculate Vacuum Energy By the end of this section, you will be able to: The vacuum energy for a free field is the ground state energy of each field oscillator, ${1\over 2} \omega$, summed over all the modes. Measurements from cosmology indicate a vacuum energy density. The simplest explanation for dark energy is that it is vacuum energy. Using e = mc2 to. How To Calculate Vacuum Energy.
From physics.stackexchange.com
space Can one heat up a vacuum? Physics Stack Exchange How To Calculate Vacuum Energy By the end of this section, you will be able to: In classical physics, if you have a particle that is acted on. The vacuum energy for a free field is the ground state energy of each field oscillator, ${1\over 2} \omega$, summed over all the modes. Using e = mc2 to convert between energy and mass, it corresponds to. How To Calculate Vacuum Energy.
From physics.stackexchange.com
general relativity How to calculate the vacuum expectation value of How To Calculate Vacuum Energy Many theorists suspect that the total vacuum energy is exactly zero. Measurements from cosmology indicate a vacuum energy density. In classical physics, if you have a particle that is acted on. By the end of this section, you will be able to: The simplest explanation for dark energy is that it is vacuum energy. The vacuum energy for a free. How To Calculate Vacuum Energy.
From imagetou.com
Vacuum Pump Power Calculation Image to u How To Calculate Vacuum Energy Many theorists suspect that the total vacuum energy is exactly zero. Measurements from cosmology indicate a vacuum energy density. By the end of this section, you will be able to: The vacuum energy for a free field is the ground state energy of each field oscillator, ${1\over 2} \omega$, summed over all the modes. The simplest explanation for dark energy. How To Calculate Vacuum Energy.
From www.youtube.com
How to calculate energy savings on your vacuum systems YouTube How To Calculate Vacuum Energy By the end of this section, you will be able to: The simplest explanation for dark energy is that it is vacuum energy. In classical physics, if you have a particle that is acted on. Measurements from cosmology indicate a vacuum energy density. Many theorists suspect that the total vacuum energy is exactly zero. The vacuum energy for a free. How To Calculate Vacuum Energy.
From www.numerade.com
⏩SOLVEDCalculate the lifetime of the critical universe when vacuum How To Calculate Vacuum Energy Many theorists suspect that the total vacuum energy is exactly zero. Measurements from cosmology indicate a vacuum energy density. In classical physics, if you have a particle that is acted on. Using e = mc2 to convert between energy and mass, it corresponds to a mass density of about 1096 kilograms per cubic. By the end of this section, you. How To Calculate Vacuum Energy.
From captionscuteviralnyc.blogspot.com
Vacuum System Design Calculation Captions Cute Viral How To Calculate Vacuum Energy Many theorists suspect that the total vacuum energy is exactly zero. The simplest explanation for dark energy is that it is vacuum energy. The vacuum energy for a free field is the ground state energy of each field oscillator, ${1\over 2} \omega$, summed over all the modes. Measurements from cosmology indicate a vacuum energy density. In classical physics, if you. How To Calculate Vacuum Energy.
From www.slideserve.com
PPT Vacuum Quantum Effects in HigherDimensional Cosmological Models How To Calculate Vacuum Energy By the end of this section, you will be able to: The simplest explanation for dark energy is that it is vacuum energy. Using e = mc2 to convert between energy and mass, it corresponds to a mass density of about 1096 kilograms per cubic. The vacuum energy for a free field is the ground state energy of each field. How To Calculate Vacuum Energy.
From www.slideserve.com
PPT Basic Electrochemistry PowerPoint Presentation, free download How To Calculate Vacuum Energy By the end of this section, you will be able to: In classical physics, if you have a particle that is acted on. Measurements from cosmology indicate a vacuum energy density. The simplest explanation for dark energy is that it is vacuum energy. The vacuum energy for a free field is the ground state energy of each field oscillator, ${1\over. How To Calculate Vacuum Energy.
From vacaero.com
Conductance & Throughput in Vacuum Pipelines How To Calculate Vacuum Energy The vacuum energy for a free field is the ground state energy of each field oscillator, ${1\over 2} \omega$, summed over all the modes. By the end of this section, you will be able to: The simplest explanation for dark energy is that it is vacuum energy. Using e = mc2 to convert between energy and mass, it corresponds to. How To Calculate Vacuum Energy.
From exonclexu.blob.core.windows.net
How To Calculate Vacuum Pressure at Jack Gilmartin blog How To Calculate Vacuum Energy The simplest explanation for dark energy is that it is vacuum energy. In classical physics, if you have a particle that is acted on. Using e = mc2 to convert between energy and mass, it corresponds to a mass density of about 1096 kilograms per cubic. Many theorists suspect that the total vacuum energy is exactly zero. The vacuum energy. How To Calculate Vacuum Energy.
From mattermodeling.stackexchange.com
How to calculate the energy of conduction band and valence band with How To Calculate Vacuum Energy Many theorists suspect that the total vacuum energy is exactly zero. Measurements from cosmology indicate a vacuum energy density. The simplest explanation for dark energy is that it is vacuum energy. By the end of this section, you will be able to: In classical physics, if you have a particle that is acted on. Using e = mc2 to convert. How To Calculate Vacuum Energy.
From physics.stackexchange.com
homework and exercises Finding the pressure in vacuum Physics Stack How To Calculate Vacuum Energy The simplest explanation for dark energy is that it is vacuum energy. Measurements from cosmology indicate a vacuum energy density. Many theorists suspect that the total vacuum energy is exactly zero. The vacuum energy for a free field is the ground state energy of each field oscillator, ${1\over 2} \omega$, summed over all the modes. Using e = mc2 to. How To Calculate Vacuum Energy.
From pubs.rsc.org
Fermi level, work function and vacuum level Materials Horizons (RSC How To Calculate Vacuum Energy Using e = mc2 to convert between energy and mass, it corresponds to a mass density of about 1096 kilograms per cubic. Many theorists suspect that the total vacuum energy is exactly zero. By the end of this section, you will be able to: Measurements from cosmology indicate a vacuum energy density. The simplest explanation for dark energy is that. How To Calculate Vacuum Energy.
From exonclexu.blob.core.windows.net
How To Calculate Vacuum Pressure at Jack Gilmartin blog How To Calculate Vacuum Energy Many theorists suspect that the total vacuum energy is exactly zero. By the end of this section, you will be able to: The simplest explanation for dark energy is that it is vacuum energy. In classical physics, if you have a particle that is acted on. Using e = mc2 to convert between energy and mass, it corresponds to a. How To Calculate Vacuum Energy.
From www.researchgate.net
Quantum vacuum energy for a = 0.5 in the coupling space γΩ. Download How To Calculate Vacuum Energy Many theorists suspect that the total vacuum energy is exactly zero. The simplest explanation for dark energy is that it is vacuum energy. Measurements from cosmology indicate a vacuum energy density. By the end of this section, you will be able to: The vacuum energy for a free field is the ground state energy of each field oscillator, ${1\over 2}. How To Calculate Vacuum Energy.
From cecifuwy.blob.core.windows.net
How To Know Vacuum Suction Power at Scott Wales blog How To Calculate Vacuum Energy The simplest explanation for dark energy is that it is vacuum energy. Using e = mc2 to convert between energy and mass, it corresponds to a mass density of about 1096 kilograms per cubic. The vacuum energy for a free field is the ground state energy of each field oscillator, ${1\over 2} \omega$, summed over all the modes. In classical. How To Calculate Vacuum Energy.
From www.slideserve.com
PPT Physics and Chemistry of Surfaces Adolf Winkler Institute of How To Calculate Vacuum Energy The vacuum energy for a free field is the ground state energy of each field oscillator, ${1\over 2} \omega$, summed over all the modes. By the end of this section, you will be able to: Using e = mc2 to convert between energy and mass, it corresponds to a mass density of about 1096 kilograms per cubic. In classical physics,. How To Calculate Vacuum Energy.