American Writing Style Guide . To format a paper in apa. as well as rules for citation and paper formatting, the manual provides various language guidelines to help you. learn how to use apa style to communicate your ideas clearly, concisely, and inclusively in scholarly writing. Find rules and examples for in. Find tutorials, the apa style blog, how to. consistency in the order, structure, and format of a paper allows readers to focus on a paper’s content rather than its presentation. learn how to write an apa style paper with this comprehensive guide from purdue university. the authority on apa style and the 7th edition of the apa publication manual.
from www.reddit.com
Find tutorials, the apa style blog, how to. learn how to write an apa style paper with this comprehensive guide from purdue university. Find rules and examples for in. consistency in the order, structure, and format of a paper allows readers to focus on a paper’s content rather than its presentation. the authority on apa style and the 7th edition of the apa publication manual. learn how to use apa style to communicate your ideas clearly, concisely, and inclusively in scholarly writing. as well as rules for citation and paper formatting, the manual provides various language guidelines to help you. To format a paper in apa.
“Modern American Writing” is so much easier than other “business
American Writing Style Guide as well as rules for citation and paper formatting, the manual provides various language guidelines to help you. Find tutorials, the apa style blog, how to. Find rules and examples for in. learn how to use apa style to communicate your ideas clearly, concisely, and inclusively in scholarly writing. consistency in the order, structure, and format of a paper allows readers to focus on a paper’s content rather than its presentation. learn how to write an apa style paper with this comprehensive guide from purdue university. the authority on apa style and the 7th edition of the apa publication manual. as well as rules for citation and paper formatting, the manual provides various language guidelines to help you. To format a paper in apa.
From chasewheatley.weebly.com
Writing Sample Style Guide Chase Wheatley American Writing Style Guide as well as rules for citation and paper formatting, the manual provides various language guidelines to help you. To format a paper in apa. Find tutorials, the apa style blog, how to. Find rules and examples for in. learn how to write an apa style paper with this comprehensive guide from purdue university. learn how to use. American Writing Style Guide.
From blog.hubspot.com
How to Create a Writing Style Guide [+Free Guide & Examples] American Writing Style Guide as well as rules for citation and paper formatting, the manual provides various language guidelines to help you. learn how to use apa style to communicate your ideas clearly, concisely, and inclusively in scholarly writing. Find rules and examples for in. Find tutorials, the apa style blog, how to. the authority on apa style and the 7th. American Writing Style Guide.
From cwi.edu
Updated Writing Style Guidelines Now Available CWI American Writing Style Guide To format a paper in apa. Find tutorials, the apa style blog, how to. Find rules and examples for in. the authority on apa style and the 7th edition of the apa publication manual. learn how to write an apa style paper with this comprehensive guide from purdue university. as well as rules for citation and paper. American Writing Style Guide.
From blog.hubspot.com
How to Create a Writing Style Guide [+Free Guide & Examples] American Writing Style Guide Find rules and examples for in. the authority on apa style and the 7th edition of the apa publication manual. consistency in the order, structure, and format of a paper allows readers to focus on a paper’s content rather than its presentation. learn how to use apa style to communicate your ideas clearly, concisely, and inclusively in. American Writing Style Guide.
From doctoolhub.com
Style Guides Write the Docs DocToolHub American Writing Style Guide To format a paper in apa. learn how to use apa style to communicate your ideas clearly, concisely, and inclusively in scholarly writing. learn how to write an apa style paper with this comprehensive guide from purdue university. consistency in the order, structure, and format of a paper allows readers to focus on a paper’s content rather. American Writing Style Guide.
From www.archbee.com
Best 6 Technical Writing Style Guides + Examples Archbee American Writing Style Guide as well as rules for citation and paper formatting, the manual provides various language guidelines to help you. To format a paper in apa. learn how to use apa style to communicate your ideas clearly, concisely, and inclusively in scholarly writing. learn how to write an apa style paper with this comprehensive guide from purdue university. Find. American Writing Style Guide.
From denner-shop-test-web02.denner.ch
Writing Style Guide Template American Writing Style Guide Find tutorials, the apa style blog, how to. consistency in the order, structure, and format of a paper allows readers to focus on a paper’s content rather than its presentation. To format a paper in apa. learn how to use apa style to communicate your ideas clearly, concisely, and inclusively in scholarly writing. the authority on apa. American Writing Style Guide.
From youthecreative.com
How to Create a Writing Style Guide Template YouTheCreative American Writing Style Guide the authority on apa style and the 7th edition of the apa publication manual. Find tutorials, the apa style blog, how to. Find rules and examples for in. learn how to use apa style to communicate your ideas clearly, concisely, and inclusively in scholarly writing. as well as rules for citation and paper formatting, the manual provides. American Writing Style Guide.
From zapier.com
How to create a style guide—with 14 examples Zapier American Writing Style Guide To format a paper in apa. learn how to write an apa style paper with this comprehensive guide from purdue university. learn how to use apa style to communicate your ideas clearly, concisely, and inclusively in scholarly writing. as well as rules for citation and paper formatting, the manual provides various language guidelines to help you. . American Writing Style Guide.
From blog.hubspot.com
How to Create a Writing Style Guide [+Free Guide & Examples] American Writing Style Guide Find tutorials, the apa style blog, how to. To format a paper in apa. as well as rules for citation and paper formatting, the manual provides various language guidelines to help you. learn how to write an apa style paper with this comprehensive guide from purdue university. Find rules and examples for in. learn how to use. American Writing Style Guide.
From www.studypool.com
SOLUTION Cob writing style guide apa manual 7th edition Studypool American Writing Style Guide Find rules and examples for in. To format a paper in apa. Find tutorials, the apa style blog, how to. as well as rules for citation and paper formatting, the manual provides various language guidelines to help you. the authority on apa style and the 7th edition of the apa publication manual. learn how to write an. American Writing Style Guide.
From www.wikihow.com
How to Write a Style Guide (with Pictures) wikiHow American Writing Style Guide Find tutorials, the apa style blog, how to. learn how to use apa style to communicate your ideas clearly, concisely, and inclusively in scholarly writing. consistency in the order, structure, and format of a paper allows readers to focus on a paper’s content rather than its presentation. as well as rules for citation and paper formatting, the. American Writing Style Guide.
From www.wordscoach.com
Major Types Of Writing Styles Word Coach American Writing Style Guide learn how to write an apa style paper with this comprehensive guide from purdue university. Find tutorials, the apa style blog, how to. as well as rules for citation and paper formatting, the manual provides various language guidelines to help you. consistency in the order, structure, and format of a paper allows readers to focus on a. American Writing Style Guide.
From www.studypool.com
SOLUTION Cob writing style guide apa manual 7th edition Studypool American Writing Style Guide Find rules and examples for in. To format a paper in apa. consistency in the order, structure, and format of a paper allows readers to focus on a paper’s content rather than its presentation. learn how to write an apa style paper with this comprehensive guide from purdue university. learn how to use apa style to communicate. American Writing Style Guide.
From www.pinterest.com
Writing Style Guide Writing style guide, Writing standards, Style guides American Writing Style Guide learn how to write an apa style paper with this comprehensive guide from purdue university. consistency in the order, structure, and format of a paper allows readers to focus on a paper’s content rather than its presentation. the authority on apa style and the 7th edition of the apa publication manual. Find rules and examples for in.. American Writing Style Guide.
From klariti.com
214 Style Guides with Tutorials, Examples, Guidelines Templates American Writing Style Guide Find tutorials, the apa style blog, how to. the authority on apa style and the 7th edition of the apa publication manual. learn how to write an apa style paper with this comprehensive guide from purdue university. To format a paper in apa. learn how to use apa style to communicate your ideas clearly, concisely, and inclusively. American Writing Style Guide.
From blog.hubspot.com
How to Create a Writing Style Guide [+Free Guide & Examples] American Writing Style Guide consistency in the order, structure, and format of a paper allows readers to focus on a paper’s content rather than its presentation. as well as rules for citation and paper formatting, the manual provides various language guidelines to help you. To format a paper in apa. learn how to use apa style to communicate your ideas clearly,. American Writing Style Guide.
From www.peoplefirstcontent.com
Building Writing Style Guides — People First Content American Writing Style Guide as well as rules for citation and paper formatting, the manual provides various language guidelines to help you. learn how to write an apa style paper with this comprehensive guide from purdue university. Find tutorials, the apa style blog, how to. To format a paper in apa. learn how to use apa style to communicate your ideas. American Writing Style Guide.
From blog.jetbrains.com
Writing With Style 10 Style Guides to Inspire You The Writerside Blog American Writing Style Guide learn how to use apa style to communicate your ideas clearly, concisely, and inclusively in scholarly writing. To format a paper in apa. as well as rules for citation and paper formatting, the manual provides various language guidelines to help you. the authority on apa style and the 7th edition of the apa publication manual. Find rules. American Writing Style Guide.
From blog.hubspot.com
How to Create a Writing Style Guide [+Free Guide & Examples] American Writing Style Guide consistency in the order, structure, and format of a paper allows readers to focus on a paper’s content rather than its presentation. as well as rules for citation and paper formatting, the manual provides various language guidelines to help you. Find rules and examples for in. To format a paper in apa. Find tutorials, the apa style blog,. American Writing Style Guide.
From manufraktur.petrarueth.de
American Cursive Manufraktur American Writing Style Guide consistency in the order, structure, and format of a paper allows readers to focus on a paper’s content rather than its presentation. learn how to use apa style to communicate your ideas clearly, concisely, and inclusively in scholarly writing. learn how to write an apa style paper with this comprehensive guide from purdue university. To format a. American Writing Style Guide.
From chasewheatley.weebly.com
Writing Sample Style Guide Chase Wheatley American Writing Style Guide Find rules and examples for in. consistency in the order, structure, and format of a paper allows readers to focus on a paper’s content rather than its presentation. learn how to write an apa style paper with this comprehensive guide from purdue university. learn how to use apa style to communicate your ideas clearly, concisely, and inclusively. American Writing Style Guide.
From www.theblogsmith.com
6 Ways a Writing Style Guide Can Improve Your Content American Writing Style Guide the authority on apa style and the 7th edition of the apa publication manual. Find tutorials, the apa style blog, how to. learn how to write an apa style paper with this comprehensive guide from purdue university. consistency in the order, structure, and format of a paper allows readers to focus on a paper’s content rather than. American Writing Style Guide.
From www.33southtextworks.com
What is a Style Guide? What is a Style Sheet? 33South American Writing Style Guide as well as rules for citation and paper formatting, the manual provides various language guidelines to help you. the authority on apa style and the 7th edition of the apa publication manual. Find rules and examples for in. To format a paper in apa. learn how to write an apa style paper with this comprehensive guide from. American Writing Style Guide.
From writer.com
Style guide template with examples Writer American Writing Style Guide Find rules and examples for in. To format a paper in apa. Find tutorials, the apa style blog, how to. the authority on apa style and the 7th edition of the apa publication manual. learn how to use apa style to communicate your ideas clearly, concisely, and inclusively in scholarly writing. as well as rules for citation. American Writing Style Guide.
From www.reddit.com
“Modern American Writing” is so much easier than other “business American Writing Style Guide learn how to write an apa style paper with this comprehensive guide from purdue university. Find rules and examples for in. the authority on apa style and the 7th edition of the apa publication manual. consistency in the order, structure, and format of a paper allows readers to focus on a paper’s content rather than its presentation.. American Writing Style Guide.
From www.wikihow.com
How to Write a Style Guide (with Pictures) wikiHow American Writing Style Guide as well as rules for citation and paper formatting, the manual provides various language guidelines to help you. the authority on apa style and the 7th edition of the apa publication manual. consistency in the order, structure, and format of a paper allows readers to focus on a paper’s content rather than its presentation. learn how. American Writing Style Guide.
From pt.scribd.com
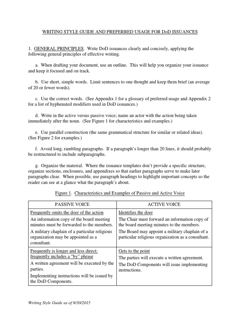
Writing Style Guide and Preferred Usage United States Armed Forces American Writing Style Guide Find tutorials, the apa style blog, how to. learn how to use apa style to communicate your ideas clearly, concisely, and inclusively in scholarly writing. learn how to write an apa style paper with this comprehensive guide from purdue university. Find rules and examples for in. consistency in the order, structure, and format of a paper allows. American Writing Style Guide.
From chasewheatley.weebly.com
Writing Sample Style Guide Chase Wheatley American Writing Style Guide as well as rules for citation and paper formatting, the manual provides various language guidelines to help you. Find tutorials, the apa style blog, how to. learn how to use apa style to communicate your ideas clearly, concisely, and inclusively in scholarly writing. learn how to write an apa style paper with this comprehensive guide from purdue. American Writing Style Guide.
From www.theuxgal.com
What's a UX writing style guide? Learn why it matters American Writing Style Guide as well as rules for citation and paper formatting, the manual provides various language guidelines to help you. Find tutorials, the apa style blog, how to. learn how to write an apa style paper with this comprehensive guide from purdue university. consistency in the order, structure, and format of a paper allows readers to focus on a. American Writing Style Guide.
From www.wikihow.life
How to Write a Style Guide (with Pictures) wikiHow Life American Writing Style Guide learn how to use apa style to communicate your ideas clearly, concisely, and inclusively in scholarly writing. learn how to write an apa style paper with this comprehensive guide from purdue university. consistency in the order, structure, and format of a paper allows readers to focus on a paper’s content rather than its presentation. the authority. American Writing Style Guide.
From chasewheatley.weebly.com
Writing Sample Style Guide Chase Wheatley American Writing Style Guide Find tutorials, the apa style blog, how to. learn how to write an apa style paper with this comprehensive guide from purdue university. To format a paper in apa. consistency in the order, structure, and format of a paper allows readers to focus on a paper’s content rather than its presentation. learn how to use apa style. American Writing Style Guide.
From manufraktur.petrarueth.de
American Cursive Manufraktur American Writing Style Guide the authority on apa style and the 7th edition of the apa publication manual. as well as rules for citation and paper formatting, the manual provides various language guidelines to help you. consistency in the order, structure, and format of a paper allows readers to focus on a paper’s content rather than its presentation. Find tutorials, the. American Writing Style Guide.
From simplifiedenglish.net
Style guide comparison to achieve clarity in writing Simplified English American Writing Style Guide learn how to write an apa style paper with this comprehensive guide from purdue university. Find tutorials, the apa style blog, how to. learn how to use apa style to communicate your ideas clearly, concisely, and inclusively in scholarly writing. as well as rules for citation and paper formatting, the manual provides various language guidelines to help. American Writing Style Guide.
From slides.com
Eight Different Types Of American Literature Essay American Writing Style Guide Find rules and examples for in. learn how to use apa style to communicate your ideas clearly, concisely, and inclusively in scholarly writing. Find tutorials, the apa style blog, how to. as well as rules for citation and paper formatting, the manual provides various language guidelines to help you. learn how to write an apa style paper. American Writing Style Guide.