How Does Mortgage Amortization Work . Mortgage amortization is simply the act of paying off your loan. How mortgage loan amortization works. When you start paying on a mortgage loan, everything proceeds on a specific schedule so that you pay the full. Compare different loan terms and find the best mortgage lender. Understanding mortgage amortization helps you strategize on how to manage your loan. Learn how mortgage amortization works and how to use a calculator to see how much interest and principal you pay over time. What is mortgage amortization and how do you use it to save money on your home loan? If you're a new homeowner, it's important to understand how home loan amortization works. Learn how to use an amortization calculator to estimate your monthly payments, interest costs and payoff date for your mortgage. Learn what amortization is and how to use an amortization schedule. Learn how to use an amortization schedule and calculator to. Mortgage amortization is the process of paying off a loan with equal installments of principal and interest. You’ll master your payments and be ready to make informed decisions going forward.
from finance.gov.capital
Understanding mortgage amortization helps you strategize on how to manage your loan. If you're a new homeowner, it's important to understand how home loan amortization works. Mortgage amortization is simply the act of paying off your loan. When you start paying on a mortgage loan, everything proceeds on a specific schedule so that you pay the full. What is mortgage amortization and how do you use it to save money on your home loan? Learn how to use an amortization calculator to estimate your monthly payments, interest costs and payoff date for your mortgage. How mortgage loan amortization works. Learn how mortgage amortization works and how to use a calculator to see how much interest and principal you pay over time. Compare different loan terms and find the best mortgage lender. Learn how to use an amortization schedule and calculator to.
How does a mortgage amortization schedule work? Finance.Gov.Capital
How Does Mortgage Amortization Work If you're a new homeowner, it's important to understand how home loan amortization works. Compare different loan terms and find the best mortgage lender. Learn what amortization is and how to use an amortization schedule. If you're a new homeowner, it's important to understand how home loan amortization works. Understanding mortgage amortization helps you strategize on how to manage your loan. Mortgage amortization is the process of paying off a loan with equal installments of principal and interest. Mortgage amortization is simply the act of paying off your loan. How mortgage loan amortization works. Learn how to use an amortization calculator to estimate your monthly payments, interest costs and payoff date for your mortgage. You’ll master your payments and be ready to make informed decisions going forward. Learn how mortgage amortization works and how to use a calculator to see how much interest and principal you pay over time. When you start paying on a mortgage loan, everything proceeds on a specific schedule so that you pay the full. Learn how to use an amortization schedule and calculator to. What is mortgage amortization and how do you use it to save money on your home loan?
From dreamhomefinancing.com
Mortgage Amortization Schedule and Calculator Dream Home Financing How Does Mortgage Amortization Work What is mortgage amortization and how do you use it to save money on your home loan? Mortgage amortization is simply the act of paying off your loan. Learn how to use an amortization calculator to estimate your monthly payments, interest costs and payoff date for your mortgage. Mortgage amortization is the process of paying off a loan with equal. How Does Mortgage Amortization Work.
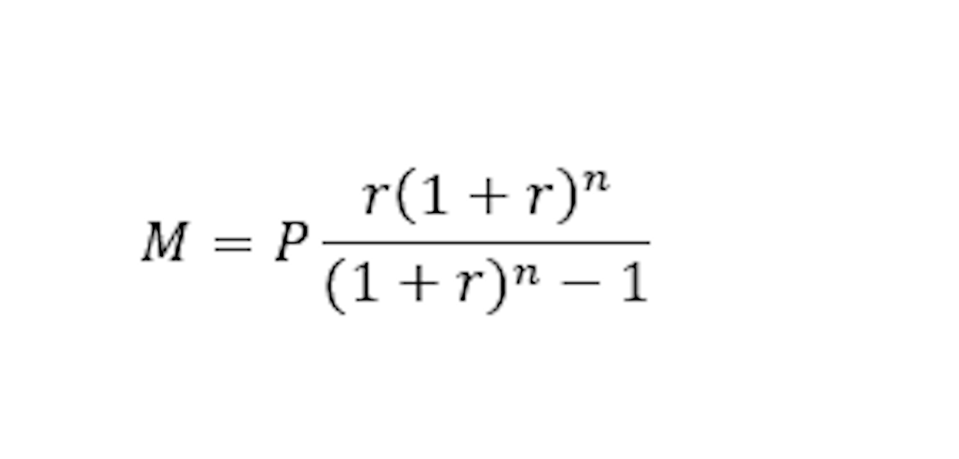
From slideplayer.com
課程6Mortgage Markets. ppt download How Does Mortgage Amortization Work Learn what amortization is and how to use an amortization schedule. Mortgage amortization is simply the act of paying off your loan. Understanding mortgage amortization helps you strategize on how to manage your loan. If you're a new homeowner, it's important to understand how home loan amortization works. How mortgage loan amortization works. Learn how mortgage amortization works and how. How Does Mortgage Amortization Work.
From reversemortgagereviews.org
How Does a Reverse Mortgage Amortization Schedule Work How Does Mortgage Amortization Work How mortgage loan amortization works. Understanding mortgage amortization helps you strategize on how to manage your loan. Mortgage amortization is the process of paying off a loan with equal installments of principal and interest. Mortgage amortization is simply the act of paying off your loan. When you start paying on a mortgage loan, everything proceeds on a specific schedule so. How Does Mortgage Amortization Work.
From plandeluxe.com
What is Amortization and How Does it Work? Plandeluxe How Does Mortgage Amortization Work Learn how to use an amortization schedule and calculator to. What is mortgage amortization and how do you use it to save money on your home loan? Compare different loan terms and find the best mortgage lender. Learn how to use an amortization calculator to estimate your monthly payments, interest costs and payoff date for your mortgage. You’ll master your. How Does Mortgage Amortization Work.
From reverse.mortgage
How Does a Reverse Mortgage Work? Know the Facts, Updated 2018 How Does Mortgage Amortization Work Learn how mortgage amortization works and how to use a calculator to see how much interest and principal you pay over time. How mortgage loan amortization works. Mortgage amortization is the process of paying off a loan with equal installments of principal and interest. Learn how to use an amortization calculator to estimate your monthly payments, interest costs and payoff. How Does Mortgage Amortization Work.
From www.lendingtree.com
How Does Mortgage Amortization Work? LendingTree How Does Mortgage Amortization Work Mortgage amortization is the process of paying off a loan with equal installments of principal and interest. Understanding mortgage amortization helps you strategize on how to manage your loan. Mortgage amortization is simply the act of paying off your loan. Learn how to use an amortization calculator to estimate your monthly payments, interest costs and payoff date for your mortgage.. How Does Mortgage Amortization Work.
From wefin.ca
Mortgage Amortization Explained so Anyone can Understand How Does Mortgage Amortization Work When you start paying on a mortgage loan, everything proceeds on a specific schedule so that you pay the full. If you're a new homeowner, it's important to understand how home loan amortization works. Understanding mortgage amortization helps you strategize on how to manage your loan. What is mortgage amortization and how do you use it to save money on. How Does Mortgage Amortization Work.
From www.vertex42.com
Amortization Chart Template Create a Simple Amortization Chart How Does Mortgage Amortization Work Mortgage amortization is the process of paying off a loan with equal installments of principal and interest. You’ll master your payments and be ready to make informed decisions going forward. When you start paying on a mortgage loan, everything proceeds on a specific schedule so that you pay the full. How mortgage loan amortization works. Learn what amortization is and. How Does Mortgage Amortization Work.
From 139.59.164.119
Amortization Schedule Overview, How Loan Amortization Works How Does Mortgage Amortization Work How mortgage loan amortization works. Learn how to use an amortization calculator to estimate your monthly payments, interest costs and payoff date for your mortgage. Mortgage amortization is simply the act of paying off your loan. Understanding mortgage amortization helps you strategize on how to manage your loan. When you start paying on a mortgage loan, everything proceeds on a. How Does Mortgage Amortization Work.
From www.completecontroller.com
How Does Loan Amortization Work? Complete Controller How Does Mortgage Amortization Work If you're a new homeowner, it's important to understand how home loan amortization works. Learn what amortization is and how to use an amortization schedule. How mortgage loan amortization works. What is mortgage amortization and how do you use it to save money on your home loan? When you start paying on a mortgage loan, everything proceeds on a specific. How Does Mortgage Amortization Work.
From www.mortgagecapitalpartners.com
Understanding An Amortization Schedule Mortgage Capital Partners, Inc. How Does Mortgage Amortization Work Compare different loan terms and find the best mortgage lender. When you start paying on a mortgage loan, everything proceeds on a specific schedule so that you pay the full. If you're a new homeowner, it's important to understand how home loan amortization works. Learn what amortization is and how to use an amortization schedule. Understanding mortgage amortization helps you. How Does Mortgage Amortization Work.
From www.loanatik.com
What is a mortgage amortization schedule and how does it work? How Does Mortgage Amortization Work When you start paying on a mortgage loan, everything proceeds on a specific schedule so that you pay the full. Mortgage amortization is the process of paying off a loan with equal installments of principal and interest. Learn how mortgage amortization works and how to use a calculator to see how much interest and principal you pay over time. Understanding. How Does Mortgage Amortization Work.
From reversemortgagereviews.org
How Does a Reverse Mortgage Amortization Schedule Work How Does Mortgage Amortization Work You’ll master your payments and be ready to make informed decisions going forward. Understanding mortgage amortization helps you strategize on how to manage your loan. Learn how to use an amortization schedule and calculator to. Compare different loan terms and find the best mortgage lender. When you start paying on a mortgage loan, everything proceeds on a specific schedule so. How Does Mortgage Amortization Work.
From maximizeyourmoney.com
Mortgage Amortization Understanding How Mortgages Work How Does Mortgage Amortization Work Mortgage amortization is the process of paying off a loan with equal installments of principal and interest. You’ll master your payments and be ready to make informed decisions going forward. Mortgage amortization is simply the act of paying off your loan. If you're a new homeowner, it's important to understand how home loan amortization works. Compare different loan terms and. How Does Mortgage Amortization Work.
From mojomortgages.com
How is mortgage interest calculated? Mojo Mortgages How Does Mortgage Amortization Work Understanding mortgage amortization helps you strategize on how to manage your loan. You’ll master your payments and be ready to make informed decisions going forward. Learn how to use an amortization calculator to estimate your monthly payments, interest costs and payoff date for your mortgage. Learn what amortization is and how to use an amortization schedule. If you're a new. How Does Mortgage Amortization Work.
From www.emetropolitan.com
How Does Amortization Work? Mortgage Basics for the Kansas Homebuyer How Does Mortgage Amortization Work Understanding mortgage amortization helps you strategize on how to manage your loan. If you're a new homeowner, it's important to understand how home loan amortization works. You’ll master your payments and be ready to make informed decisions going forward. When you start paying on a mortgage loan, everything proceeds on a specific schedule so that you pay the full. How. How Does Mortgage Amortization Work.
From maplemoney.com
Understanding How Mortgage Amortization Works in Canada How Does Mortgage Amortization Work Learn how mortgage amortization works and how to use a calculator to see how much interest and principal you pay over time. Mortgage amortization is the process of paying off a loan with equal installments of principal and interest. Understanding mortgage amortization helps you strategize on how to manage your loan. What is mortgage amortization and how do you use. How Does Mortgage Amortization Work.
From www.kcmortgageguy.com
Calculate Your Mortgage Amortization Schedule KC Mortgage Guy How Does Mortgage Amortization Work Learn what amortization is and how to use an amortization schedule. When you start paying on a mortgage loan, everything proceeds on a specific schedule so that you pay the full. If you're a new homeowner, it's important to understand how home loan amortization works. Mortgage amortization is the process of paying off a loan with equal installments of principal. How Does Mortgage Amortization Work.
From www.frankmortgage.com
Mortgage Amortization Explained Frank Mortgage How Does Mortgage Amortization Work Compare different loan terms and find the best mortgage lender. Mortgage amortization is the process of paying off a loan with equal installments of principal and interest. Understanding mortgage amortization helps you strategize on how to manage your loan. Learn how to use an amortization calculator to estimate your monthly payments, interest costs and payoff date for your mortgage. Learn. How Does Mortgage Amortization Work.
From finance.gov.capital
How does a mortgage amortization schedule work? Finance.Gov.Capital How Does Mortgage Amortization Work Mortgage amortization is the process of paying off a loan with equal installments of principal and interest. How mortgage loan amortization works. When you start paying on a mortgage loan, everything proceeds on a specific schedule so that you pay the full. If you're a new homeowner, it's important to understand how home loan amortization works. Mortgage amortization is simply. How Does Mortgage Amortization Work.
From www.msn.com
How does mortgage amortization work? How Does Mortgage Amortization Work Mortgage amortization is simply the act of paying off your loan. How mortgage loan amortization works. Learn how to use an amortization calculator to estimate your monthly payments, interest costs and payoff date for your mortgage. When you start paying on a mortgage loan, everything proceeds on a specific schedule so that you pay the full. What is mortgage amortization. How Does Mortgage Amortization Work.
From zreversemortgage.com
What is Mortgage Amortization? How Does Mortgage Amortization Work Mortgage amortization is the process of paying off a loan with equal installments of principal and interest. You’ll master your payments and be ready to make informed decisions going forward. Learn what amortization is and how to use an amortization schedule. Learn how to use an amortization schedule and calculator to. How mortgage loan amortization works. What is mortgage amortization. How Does Mortgage Amortization Work.
From reverse.mortgage
Understanding the Reverse Mortgage Amortization Schedule How Does Mortgage Amortization Work You’ll master your payments and be ready to make informed decisions going forward. When you start paying on a mortgage loan, everything proceeds on a specific schedule so that you pay the full. Learn what amortization is and how to use an amortization schedule. Compare different loan terms and find the best mortgage lender. How mortgage loan amortization works. Mortgage. How Does Mortgage Amortization Work.
From bizzieme.com
Mortgage Amortization Schedule Template Free Printable Calendar Monthly How Does Mortgage Amortization Work Understanding mortgage amortization helps you strategize on how to manage your loan. When you start paying on a mortgage loan, everything proceeds on a specific schedule so that you pay the full. Learn how mortgage amortization works and how to use a calculator to see how much interest and principal you pay over time. Learn how to use an amortization. How Does Mortgage Amortization Work.
From atelier-yuwa.ciao.jp
Amortization Table For Mortgage atelieryuwa.ciao.jp How Does Mortgage Amortization Work How mortgage loan amortization works. Learn how to use an amortization schedule and calculator to. Mortgage amortization is the process of paying off a loan with equal installments of principal and interest. Compare different loan terms and find the best mortgage lender. Learn how to use an amortization calculator to estimate your monthly payments, interest costs and payoff date for. How Does Mortgage Amortization Work.
From www.directmortgageloans.com
How Does Mortgage Amortization Work? Mortgage How Does Mortgage Amortization Work Learn how to use an amortization schedule and calculator to. Compare different loan terms and find the best mortgage lender. Learn how mortgage amortization works and how to use a calculator to see how much interest and principal you pay over time. Learn what amortization is and how to use an amortization schedule. When you start paying on a mortgage. How Does Mortgage Amortization Work.
From www.lendingtree.com
Here’s How a Mortgage Amortization Schedule Works LendingTree How Does Mortgage Amortization Work Learn what amortization is and how to use an amortization schedule. Mortgage amortization is simply the act of paying off your loan. You’ll master your payments and be ready to make informed decisions going forward. Understanding mortgage amortization helps you strategize on how to manage your loan. When you start paying on a mortgage loan, everything proceeds on a specific. How Does Mortgage Amortization Work.
From www.doorloop.com
What a Mortgage Amortization Calculator Means and How to Use It How Does Mortgage Amortization Work Learn how to use an amortization schedule and calculator to. When you start paying on a mortgage loan, everything proceeds on a specific schedule so that you pay the full. Mortgage amortization is simply the act of paying off your loan. You’ll master your payments and be ready to make informed decisions going forward. How mortgage loan amortization works. What. How Does Mortgage Amortization Work.
From www.thebalancemoney.com
What Is Amortization? How Does Mortgage Amortization Work If you're a new homeowner, it's important to understand how home loan amortization works. Learn what amortization is and how to use an amortization schedule. Mortgage amortization is the process of paying off a loan with equal installments of principal and interest. What is mortgage amortization and how do you use it to save money on your home loan? Compare. How Does Mortgage Amortization Work.
From www.credible.com
What Does Mortgage Amortization Mean? Here's What to Know Credible How Does Mortgage Amortization Work Understanding mortgage amortization helps you strategize on how to manage your loan. If you're a new homeowner, it's important to understand how home loan amortization works. Mortgage amortization is the process of paying off a loan with equal installments of principal and interest. Learn how to use an amortization calculator to estimate your monthly payments, interest costs and payoff date. How Does Mortgage Amortization Work.
From www.youtube.com
How Does Mortgage Amortization Work? Amortization Calculator Demo How Does Mortgage Amortization Work Understanding mortgage amortization helps you strategize on how to manage your loan. Learn what amortization is and how to use an amortization schedule. Mortgage amortization is the process of paying off a loan with equal installments of principal and interest. You’ll master your payments and be ready to make informed decisions going forward. If you're a new homeowner, it's important. How Does Mortgage Amortization Work.
From corporatefinanceinstitute.com
Mortgage Overview, How It Works, Types, Payments How Does Mortgage Amortization Work You’ll master your payments and be ready to make informed decisions going forward. When you start paying on a mortgage loan, everything proceeds on a specific schedule so that you pay the full. Learn what amortization is and how to use an amortization schedule. Mortgage amortization is simply the act of paying off your loan. Learn how to use an. How Does Mortgage Amortization Work.
From thinkhomewise.com
What is an amortization period and how does it work? Homewise How Does Mortgage Amortization Work Learn how to use an amortization calculator to estimate your monthly payments, interest costs and payoff date for your mortgage. Mortgage amortization is simply the act of paying off your loan. You’ll master your payments and be ready to make informed decisions going forward. Learn how to use an amortization schedule and calculator to. Mortgage amortization is the process of. How Does Mortgage Amortization Work.
From jordanthomson.ca
Mortgage Amortization Explained What is it and how does it work How Does Mortgage Amortization Work Mortgage amortization is simply the act of paying off your loan. Mortgage amortization is the process of paying off a loan with equal installments of principal and interest. Compare different loan terms and find the best mortgage lender. If you're a new homeowner, it's important to understand how home loan amortization works. When you start paying on a mortgage loan,. How Does Mortgage Amortization Work.
From www.nerdwallet.com
What Is Mortgage Amortization? NerdWallet How Does Mortgage Amortization Work Learn how to use an amortization calculator to estimate your monthly payments, interest costs and payoff date for your mortgage. When you start paying on a mortgage loan, everything proceeds on a specific schedule so that you pay the full. Learn how to use an amortization schedule and calculator to. How mortgage loan amortization works. Compare different loan terms and. How Does Mortgage Amortization Work.