A Concave Makeup Mirror Is Designed So That . What is the radius of curvature of the mirror. A concave makeup mirror is designed so that a person 20 cm in front of it sees an upright image magnified by a factor of two. If you have a concave mirror whose focal length is 100.0 cm, and you want an image that is upright and 10.0 times as tall as the object, where should you place the object? What is the radius of curvature of this mirror? A concave mirror is designed so that a person 20.0 cm in front of the mirror sees an upright image magnified by a factor of two. A concave makeup mirror is designed so that a person 27 cm in front of it sees an upright image magnified by a factor of two. A concave makeup mirror is designed so that a person 25.0 cm in front of it sees an upright image at a distance of 50.0 cm behind the mirror. To calculate the radius of curvature of a concave makeup mirror that produces an upright image at a distance of 50 cm behind the. A concave makeup mirror is designed so the virtual image it produces is twice the size of the object when the distance between the object and the mirror is 14 cm. A concave makeup mirror is designed so that a person 30 cm in front of it sees an upright image magnified by a factor of two.
from schempal.com
A concave makeup mirror is designed so that a person 20 cm in front of it sees an upright image magnified by a factor of two. What is the radius of curvature of this mirror? What is the radius of curvature of the mirror. A concave makeup mirror is designed so that a person 27 cm in front of it sees an upright image magnified by a factor of two. A concave makeup mirror is designed so that a person 25.0 cm in front of it sees an upright image at a distance of 50.0 cm behind the mirror. If you have a concave mirror whose focal length is 100.0 cm, and you want an image that is upright and 10.0 times as tall as the object, where should you place the object? To calculate the radius of curvature of a concave makeup mirror that produces an upright image at a distance of 50 cm behind the. A concave makeup mirror is designed so that a person 30 cm in front of it sees an upright image magnified by a factor of two. A concave makeup mirror is designed so the virtual image it produces is twice the size of the object when the distance between the object and the mirror is 14 cm. A concave mirror is designed so that a person 20.0 cm in front of the mirror sees an upright image magnified by a factor of two.
The Science behind a Diagram of a Concave Mirror Explained
A Concave Makeup Mirror Is Designed So That To calculate the radius of curvature of a concave makeup mirror that produces an upright image at a distance of 50 cm behind the. What is the radius of curvature of this mirror? To calculate the radius of curvature of a concave makeup mirror that produces an upright image at a distance of 50 cm behind the. A concave makeup mirror is designed so that a person 30 cm in front of it sees an upright image magnified by a factor of two. What is the radius of curvature of the mirror. A concave makeup mirror is designed so the virtual image it produces is twice the size of the object when the distance between the object and the mirror is 14 cm. A concave makeup mirror is designed so that a person 27 cm in front of it sees an upright image magnified by a factor of two. A concave makeup mirror is designed so that a person 25.0 cm in front of it sees an upright image at a distance of 50.0 cm behind the mirror. A concave makeup mirror is designed so that a person 20 cm in front of it sees an upright image magnified by a factor of two. If you have a concave mirror whose focal length is 100.0 cm, and you want an image that is upright and 10.0 times as tall as the object, where should you place the object? A concave mirror is designed so that a person 20.0 cm in front of the mirror sees an upright image magnified by a factor of two.
From www.chegg.com
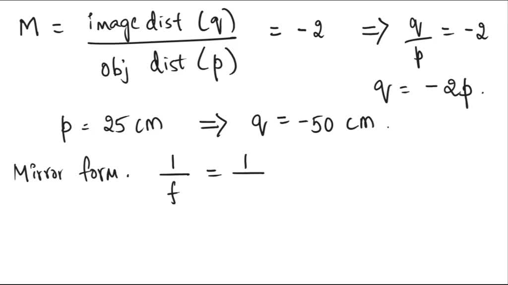
Solved A concave makeup mirror is designed so that a person A Concave Makeup Mirror Is Designed So That A concave makeup mirror is designed so that a person 30 cm in front of it sees an upright image magnified by a factor of two. A concave makeup mirror is designed so that a person 25.0 cm in front of it sees an upright image at a distance of 50.0 cm behind the mirror. A concave makeup mirror is. A Concave Makeup Mirror Is Designed So That.
From www.chegg.com
Solved A person is using a concave makeup mirror to examine A Concave Makeup Mirror Is Designed So That What is the radius of curvature of the mirror. A concave makeup mirror is designed so that a person 30 cm in front of it sees an upright image magnified by a factor of two. A concave makeup mirror is designed so that a person 25.0 cm in front of it sees an upright image at a distance of 50.0. A Concave Makeup Mirror Is Designed So That.
From schempal.com
The Science behind a Diagram of a Concave Mirror Explained A Concave Makeup Mirror Is Designed So That A concave makeup mirror is designed so the virtual image it produces is twice the size of the object when the distance between the object and the mirror is 14 cm. A concave makeup mirror is designed so that a person 30 cm in front of it sees an upright image magnified by a factor of two. What is the. A Concave Makeup Mirror Is Designed So That.
From www.chegg.com
Solved A concave makeup mirror is designed so that a person A Concave Makeup Mirror Is Designed So That A concave makeup mirror is designed so that a person 30 cm in front of it sees an upright image magnified by a factor of two. What is the radius of curvature of the mirror. A concave makeup mirror is designed so that a person 25.0 cm in front of it sees an upright image at a distance of 50.0. A Concave Makeup Mirror Is Designed So That.
From www.numerade.com
SOLVED A concave makeup mirror is designed so that 2 persons sit 36 cm A Concave Makeup Mirror Is Designed So That A concave makeup mirror is designed so that a person 27 cm in front of it sees an upright image magnified by a factor of two. A concave makeup mirror is designed so that a person 30 cm in front of it sees an upright image magnified by a factor of two. A concave makeup mirror is designed so that. A Concave Makeup Mirror Is Designed So That.
From leverageedu.com
Concave Mirror and Lens Properties & Uses Leverage Edu A Concave Makeup Mirror Is Designed So That To calculate the radius of curvature of a concave makeup mirror that produces an upright image at a distance of 50 cm behind the. A concave makeup mirror is designed so that a person 27 cm in front of it sees an upright image magnified by a factor of two. A concave mirror is designed so that a person 20.0. A Concave Makeup Mirror Is Designed So That.
From www.chegg.com
Solved 3. 1 points SerCP11 23.P013. A concave makeup mirror A Concave Makeup Mirror Is Designed So That If you have a concave mirror whose focal length is 100.0 cm, and you want an image that is upright and 10.0 times as tall as the object, where should you place the object? A concave makeup mirror is designed so that a person 30 cm in front of it sees an upright image magnified by a factor of two.. A Concave Makeup Mirror Is Designed So That.
From www.slideserve.com
PPT LOCATING IMAGES IN CONCAVE MIRRORS USING RAY DIAGRAMS PowerPoint A Concave Makeup Mirror Is Designed So That A concave makeup mirror is designed so that a person 27 cm in front of it sees an upright image magnified by a factor of two. A concave mirror is designed so that a person 20.0 cm in front of the mirror sees an upright image magnified by a factor of two. A concave makeup mirror is designed so that. A Concave Makeup Mirror Is Designed So That.
From www.paramhimalaya.com
Use of Concave and convex mirror A Concave Makeup Mirror Is Designed So That A concave makeup mirror is designed so that a person 20 cm in front of it sees an upright image magnified by a factor of two. What is the radius of curvature of the mirror. A concave makeup mirror is designed so that a person 30 cm in front of it sees an upright image magnified by a factor of. A Concave Makeup Mirror Is Designed So That.
From jon-has-hatfield.blogspot.com
Uses of Concave Mirror JonhasHatfield A Concave Makeup Mirror Is Designed So That To calculate the radius of curvature of a concave makeup mirror that produces an upright image at a distance of 50 cm behind the. A concave makeup mirror is designed so the virtual image it produces is twice the size of the object when the distance between the object and the mirror is 14 cm. A concave makeup mirror is. A Concave Makeup Mirror Is Designed So That.
From www.chegg.com
Solved A concave makeup mirror is designed so that a person A Concave Makeup Mirror Is Designed So That If you have a concave mirror whose focal length is 100.0 cm, and you want an image that is upright and 10.0 times as tall as the object, where should you place the object? What is the radius of curvature of this mirror? A concave makeup mirror is designed so that a person 20 cm in front of it sees. A Concave Makeup Mirror Is Designed So That.
From www.ubuy.co.in
Buy Concave Mirror, 5.9 Dia, 300mm Focal Length Eisco Labs Online at A Concave Makeup Mirror Is Designed So That A concave mirror is designed so that a person 20.0 cm in front of the mirror sees an upright image magnified by a factor of two. A concave makeup mirror is designed so that a person 30 cm in front of it sees an upright image magnified by a factor of two. If you have a concave mirror whose focal. A Concave Makeup Mirror Is Designed So That.
From www.travelandleisure.com
The 12 Best Lighted Makeup Mirrors for Travel of 2023 A Concave Makeup Mirror Is Designed So That A concave makeup mirror is designed so that a person 30 cm in front of it sees an upright image magnified by a factor of two. A concave makeup mirror is designed so that a person 20 cm in front of it sees an upright image magnified by a factor of two. To calculate the radius of curvature of a. A Concave Makeup Mirror Is Designed So That.
From www.pinterest.com
Beautifive Makeup Mirror with 1x/7x Double Sided Vanity Mirror 6 Swivel A Concave Makeup Mirror Is Designed So That To calculate the radius of curvature of a concave makeup mirror that produces an upright image at a distance of 50 cm behind the. A concave makeup mirror is designed so that a person 30 cm in front of it sees an upright image magnified by a factor of two. What is the radius of curvature of this mirror? What. A Concave Makeup Mirror Is Designed So That.
From www.fascinate-mirror.com
How To Choose The Most Suitable Makeup Mirror? Fascinate A Concave Makeup Mirror Is Designed So That A concave makeup mirror is designed so that a person 25.0 cm in front of it sees an upright image at a distance of 50.0 cm behind the mirror. A concave mirror is designed so that a person 20.0 cm in front of the mirror sees an upright image magnified by a factor of two. A concave makeup mirror is. A Concave Makeup Mirror Is Designed So That.
From www.alibaba.com
Beauty Products Tilting Adjustment Countertop Concave And Convex Makeup A Concave Makeup Mirror Is Designed So That A concave makeup mirror is designed so that a person 20 cm in front of it sees an upright image magnified by a factor of two. A concave makeup mirror is designed so that a person 27 cm in front of it sees an upright image magnified by a factor of two. A concave makeup mirror is designed so the. A Concave Makeup Mirror Is Designed So That.
From www.slideshare.net
Curved mirrors Year 6 A Concave Makeup Mirror Is Designed So That If you have a concave mirror whose focal length is 100.0 cm, and you want an image that is upright and 10.0 times as tall as the object, where should you place the object? A concave makeup mirror is designed so that a person 27 cm in front of it sees an upright image magnified by a factor of two.. A Concave Makeup Mirror Is Designed So That.
From www.allthescience.org
What is a Concave Mirror? (with pictures) A Concave Makeup Mirror Is Designed So That A concave makeup mirror is designed so that a person 27 cm in front of it sees an upright image magnified by a factor of two. A concave makeup mirror is designed so that a person 30 cm in front of it sees an upright image magnified by a factor of two. What is the radius of curvature of the. A Concave Makeup Mirror Is Designed So That.
From reviewed.usatoday.com
7 Best Makeup Mirrors with Lights of 2024 Reviewed A Concave Makeup Mirror Is Designed So That A concave makeup mirror is designed so that a person 20 cm in front of it sees an upright image magnified by a factor of two. A concave makeup mirror is designed so that a person 30 cm in front of it sees an upright image magnified by a factor of two. What is the radius of curvature of this. A Concave Makeup Mirror Is Designed So That.
From www.alibaba.com
Rocky Factory Produce Magnify Concave Mirror For Make Up High Quality A Concave Makeup Mirror Is Designed So That A concave makeup mirror is designed so that a person 27 cm in front of it sees an upright image magnified by a factor of two. What is the radius of curvature of this mirror? A concave makeup mirror is designed so that a person 25.0 cm in front of it sees an upright image at a distance of 50.0. A Concave Makeup Mirror Is Designed So That.
From www.numerade.com
SOLVED A concave makeup mirror is designed so the virtual image A Concave Makeup Mirror Is Designed So That A concave makeup mirror is designed so that a person 27 cm in front of it sees an upright image magnified by a factor of two. What is the radius of curvature of this mirror? To calculate the radius of curvature of a concave makeup mirror that produces an upright image at a distance of 50 cm behind the. A. A Concave Makeup Mirror Is Designed So That.
From slidetodoc.com
Curved Mirrors Concave Mirrors Mirrors that are a A Concave Makeup Mirror Is Designed So That What is the radius of curvature of this mirror? A concave makeup mirror is designed so that a person 25.0 cm in front of it sees an upright image at a distance of 50.0 cm behind the mirror. A concave makeup mirror is designed so the virtual image it produces is twice the size of the object when the distance. A Concave Makeup Mirror Is Designed So That.
From www.chegg.com
Solved 3. A concave makeup mirror is designed to produce a A Concave Makeup Mirror Is Designed So That If you have a concave mirror whose focal length is 100.0 cm, and you want an image that is upright and 10.0 times as tall as the object, where should you place the object? A concave makeup mirror is designed so that a person 27 cm in front of it sees an upright image magnified by a factor of two.. A Concave Makeup Mirror Is Designed So That.
From www.sciencephoto.com
Concave makeup mirror Stock Image C007/0877 Science Photo Library A Concave Makeup Mirror Is Designed So That A concave makeup mirror is designed so that a person 27 cm in front of it sees an upright image magnified by a factor of two. If you have a concave mirror whose focal length is 100.0 cm, and you want an image that is upright and 10.0 times as tall as the object, where should you place the object?. A Concave Makeup Mirror Is Designed So That.
From www.walmart.com
Ovente Lighted Wall Mount Makeup Mirror 8.5 Inch 1X 10X Concave A Concave Makeup Mirror Is Designed So That What is the radius of curvature of the mirror. A concave makeup mirror is designed so that a person 27 cm in front of it sees an upright image magnified by a factor of two. A concave makeup mirror is designed so the virtual image it produces is twice the size of the object when the distance between the object. A Concave Makeup Mirror Is Designed So That.
From www.numerade.com
SOLVED A concave makeup mirror is designed so that a person 25 cm in A Concave Makeup Mirror Is Designed So That A concave mirror is designed so that a person 20.0 cm in front of the mirror sees an upright image magnified by a factor of two. What is the radius of curvature of the mirror. To calculate the radius of curvature of a concave makeup mirror that produces an upright image at a distance of 50 cm behind the. A. A Concave Makeup Mirror Is Designed So That.
From www.chegg.com
Solved a. A concave makeup mirror produces a magnification A Concave Makeup Mirror Is Designed So That To calculate the radius of curvature of a concave makeup mirror that produces an upright image at a distance of 50 cm behind the. A concave makeup mirror is designed so that a person 27 cm in front of it sees an upright image magnified by a factor of two. A concave makeup mirror is designed so the virtual image. A Concave Makeup Mirror Is Designed So That.
From www.slideserve.com
PPT Concave and Convex Mirrors PowerPoint Presentation, free download A Concave Makeup Mirror Is Designed So That If you have a concave mirror whose focal length is 100.0 cm, and you want an image that is upright and 10.0 times as tall as the object, where should you place the object? A concave makeup mirror is designed so the virtual image it produces is twice the size of the object when the distance between the object and. A Concave Makeup Mirror Is Designed So That.
From www.teachoo.com
Applications and Uses of Concave and Convex Mirrors Teachoo A Concave Makeup Mirror Is Designed So That What is the radius of curvature of this mirror? A concave makeup mirror is designed so the virtual image it produces is twice the size of the object when the distance between the object and the mirror is 14 cm. A concave mirror is designed so that a person 20.0 cm in front of the mirror sees an upright image. A Concave Makeup Mirror Is Designed So That.
From www.scribd.com
Concave Mirror Diagrams PDF A Concave Makeup Mirror Is Designed So That What is the radius of curvature of this mirror? A concave makeup mirror is designed so the virtual image it produces is twice the size of the object when the distance between the object and the mirror is 14 cm. To calculate the radius of curvature of a concave makeup mirror that produces an upright image at a distance of. A Concave Makeup Mirror Is Designed So That.
From freedahluxury.com
What Type of Mirror is Used for Makeup? Freedah Luxury A Concave Makeup Mirror Is Designed So That A concave makeup mirror is designed so that a person 30 cm in front of it sees an upright image magnified by a factor of two. What is the radius of curvature of this mirror? A concave makeup mirror is designed so that a person 27 cm in front of it sees an upright image magnified by a factor of. A Concave Makeup Mirror Is Designed So That.
From www.alibaba.com
Modern Luxury 15x Magnifying Round Concave Makeup Compact Mirror Buy A Concave Makeup Mirror Is Designed So That What is the radius of curvature of this mirror? A concave mirror is designed so that a person 20.0 cm in front of the mirror sees an upright image magnified by a factor of two. A concave makeup mirror is designed so that a person 20 cm in front of it sees an upright image magnified by a factor of. A Concave Makeup Mirror Is Designed So That.
From www.alibaba.com
Portable 10x / 15x / 20x Magnifying Round Concave Makeup Mirror Buy A Concave Makeup Mirror Is Designed So That A concave makeup mirror is designed so that a person 27 cm in front of it sees an upright image magnified by a factor of two. What is the radius of curvature of this mirror? A concave mirror is designed so that a person 20.0 cm in front of the mirror sees an upright image magnified by a factor of. A Concave Makeup Mirror Is Designed So That.
From www.chegg.com
Solved A concave makeup mirror has a radius of curvature A Concave Makeup Mirror Is Designed So That If you have a concave mirror whose focal length is 100.0 cm, and you want an image that is upright and 10.0 times as tall as the object, where should you place the object? To calculate the radius of curvature of a concave makeup mirror that produces an upright image at a distance of 50 cm behind the. A concave. A Concave Makeup Mirror Is Designed So That.
From www.alibaba.com
Modern Luxury 15x Magnifying Round Concave Makeup Compact Mirror Buy A Concave Makeup Mirror Is Designed So That If you have a concave mirror whose focal length is 100.0 cm, and you want an image that is upright and 10.0 times as tall as the object, where should you place the object? What is the radius of curvature of this mirror? A concave mirror is designed so that a person 20.0 cm in front of the mirror sees. A Concave Makeup Mirror Is Designed So That.