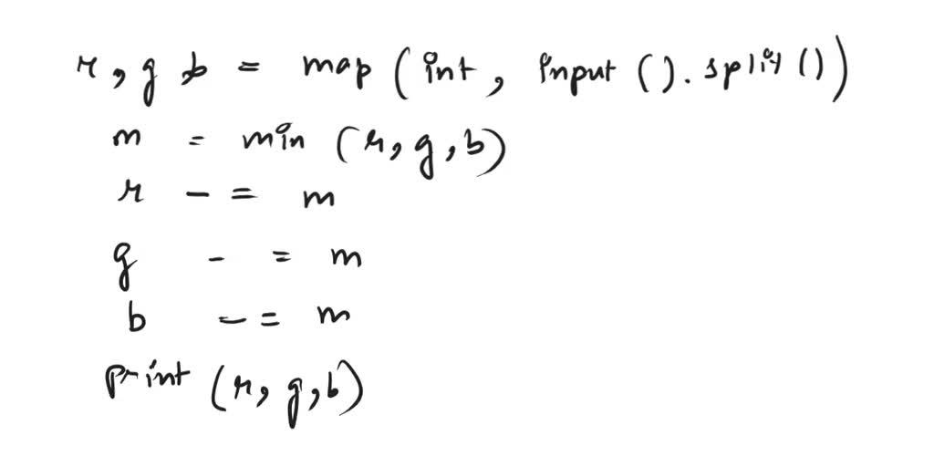
Remove Gray From Rgb Python . Find the smallest value, and then. Given values for red, green, and blue, remove the gray part. Given values for red, green, and blue, remove the gray part. Given integer values for red, green, and blue, subtract the gray from each value. Similarly for bgr \(\rightarrow\) hsv, we use. For bgr \(\rightarrow\) gray conversion, we use the flag cv.color_bgr2gray. Import the opencv and read the original image using imread () than convert to grayscale. Rgb_list = ['reds','greens','blues'] fig, ax = plt.subplots(1, 3, figsize=(15,5), sharey = true) for i in range(3): # find the smallest value, and then subtract it from all three values, thus removing the gray. Actually in rgb [0, 0, 0] is black, [255, 255, 255] is white and all other combinations of numbers are either gray or colorful. This page converts rgb values into. Problem is that i need to remove gray from a set of 3 numbers. Using the cv2.cvtcolor () function.
from www.chegg.com
Actually in rgb [0, 0, 0] is black, [255, 255, 255] is white and all other combinations of numbers are either gray or colorful. Similarly for bgr \(\rightarrow\) hsv, we use. Given values for red, green, and blue, remove the gray part. Using the cv2.cvtcolor () function. This page converts rgb values into. # find the smallest value, and then subtract it from all three values, thus removing the gray. For bgr \(\rightarrow\) gray conversion, we use the flag cv.color_bgr2gray. Given values for red, green, and blue, remove the gray part. Rgb_list = ['reds','greens','blues'] fig, ax = plt.subplots(1, 3, figsize=(15,5), sharey = true) for i in range(3): Import the opencv and read the original image using imread () than convert to grayscale.
Solved 3.22 DJO LAB Remove gray from RGB Summary Given
Remove Gray From Rgb Python Problem is that i need to remove gray from a set of 3 numbers. Actually in rgb [0, 0, 0] is black, [255, 255, 255] is white and all other combinations of numbers are either gray or colorful. This page converts rgb values into. Import the opencv and read the original image using imread () than convert to grayscale. Using the cv2.cvtcolor () function. Given values for red, green, and blue, remove the gray part. Rgb_list = ['reds','greens','blues'] fig, ax = plt.subplots(1, 3, figsize=(15,5), sharey = true) for i in range(3): For bgr \(\rightarrow\) gray conversion, we use the flag cv.color_bgr2gray. Problem is that i need to remove gray from a set of 3 numbers. # find the smallest value, and then subtract it from all three values, thus removing the gray. Given integer values for red, green, and blue, subtract the gray from each value. Given values for red, green, and blue, remove the gray part. Find the smallest value, and then. Similarly for bgr \(\rightarrow\) hsv, we use.
From www.chegg.com
Solved 3.22 DJO LAB Remove gray from RGB Summary Given Remove Gray From Rgb Python For bgr \(\rightarrow\) gray conversion, we use the flag cv.color_bgr2gray. Problem is that i need to remove gray from a set of 3 numbers. Using the cv2.cvtcolor () function. Import the opencv and read the original image using imread () than convert to grayscale. Given values for red, green, and blue, remove the gray part. Actually in rgb [0, 0,. Remove Gray From Rgb Python.
From mobillegends.net
Python Changing Colour Based On Rgb Values In A Grouped Bar Plot Remove Gray From Rgb Python # find the smallest value, and then subtract it from all three values, thus removing the gray. This page converts rgb values into. Given integer values for red, green, and blue, subtract the gray from each value. Problem is that i need to remove gray from a set of 3 numbers. Actually in rgb [0, 0, 0] is black, [255,. Remove Gray From Rgb Python.
From www.numerade.com
SOLVED 6.10 LAB Branches Remove gray from RGB Summary Given integer Remove Gray From Rgb Python # find the smallest value, and then subtract it from all three values, thus removing the gray. Rgb_list = ['reds','greens','blues'] fig, ax = plt.subplots(1, 3, figsize=(15,5), sharey = true) for i in range(3): Import the opencv and read the original image using imread () than convert to grayscale. Given values for red, green, and blue, remove the gray part. Actually. Remove Gray From Rgb Python.
From blog.csdn.net
Pytorch基础操作 —— 1.什么是Tensor,以及Tensor的基本属性、数据通道、维度_深度学习中的维度、通道、向量的概念CSDN博客 Remove Gray From Rgb Python Import the opencv and read the original image using imread () than convert to grayscale. Using the cv2.cvtcolor () function. Given values for red, green, and blue, remove the gray part. Problem is that i need to remove gray from a set of 3 numbers. For bgr \(\rightarrow\) gray conversion, we use the flag cv.color_bgr2gray. Find the smallest value, and. Remove Gray From Rgb Python.
From brandiscrafts.com
Python Convert Rgb To Grayscale? The 13 Top Answers Remove Gray From Rgb Python Given values for red, green, and blue, remove the gray part. For bgr \(\rightarrow\) gray conversion, we use the flag cv.color_bgr2gray. Given integer values for red, green, and blue, subtract the gray from each value. Using the cv2.cvtcolor () function. Problem is that i need to remove gray from a set of 3 numbers. Given values for red, green, and. Remove Gray From Rgb Python.
From www.chegg.com
Solved Summary Given integer values for red, green, and Remove Gray From Rgb Python This page converts rgb values into. Find the smallest value, and then. Import the opencv and read the original image using imread () than convert to grayscale. Given values for red, green, and blue, remove the gray part. For bgr \(\rightarrow\) gray conversion, we use the flag cv.color_bgr2gray. Similarly for bgr \(\rightarrow\) hsv, we use. Rgb_list = ['reds','greens','blues'] fig, ax. Remove Gray From Rgb Python.
From www.youtube.com
how to convert an RGB image to gray scale image in python/pycharm YouTube Remove Gray From Rgb Python For bgr \(\rightarrow\) gray conversion, we use the flag cv.color_bgr2gray. Rgb_list = ['reds','greens','blues'] fig, ax = plt.subplots(1, 3, figsize=(15,5), sharey = true) for i in range(3): # find the smallest value, and then subtract it from all three values, thus removing the gray. Given values for red, green, and blue, remove the gray part. Similarly for bgr \(\rightarrow\) hsv, we. Remove Gray From Rgb Python.
From www.assignmentcache.com
PRG/211 Week 2 Lab 5.2 Remove gray from RGB AssignmentCache Remove Gray From Rgb Python Find the smallest value, and then. Actually in rgb [0, 0, 0] is black, [255, 255, 255] is white and all other combinations of numbers are either gray or colorful. Given values for red, green, and blue, remove the gray part. # find the smallest value, and then subtract it from all three values, thus removing the gray. Problem is. Remove Gray From Rgb Python.
From www.chegg.com
Solved 3.15 LAB Remove gray from RGB Summary Given integer Remove Gray From Rgb Python Problem is that i need to remove gray from a set of 3 numbers. Find the smallest value, and then. Actually in rgb [0, 0, 0] is black, [255, 255, 255] is white and all other combinations of numbers are either gray or colorful. Given values for red, green, and blue, remove the gray part. Rgb_list = ['reds','greens','blues'] fig, ax. Remove Gray From Rgb Python.
From laptopprocessors.ru
Rgb colors for python Remove Gray From Rgb Python Given values for red, green, and blue, remove the gray part. Given values for red, green, and blue, remove the gray part. Given integer values for red, green, and blue, subtract the gray from each value. For bgr \(\rightarrow\) gray conversion, we use the flag cv.color_bgr2gray. Actually in rgb [0, 0, 0] is black, [255, 255, 255] is white and. Remove Gray From Rgb Python.
From www.e-learn.cn
python中的RGB颜色 易学教程 Remove Gray From Rgb Python Given values for red, green, and blue, remove the gray part. Using the cv2.cvtcolor () function. Find the smallest value, and then. Given integer values for red, green, and blue, subtract the gray from each value. For bgr \(\rightarrow\) gray conversion, we use the flag cv.color_bgr2gray. This page converts rgb values into. Rgb_list = ['reds','greens','blues'] fig, ax = plt.subplots(1, 3,. Remove Gray From Rgb Python.
From www.assignmentcache.com
PRG/211 Week 2 Lab 5.2 Remove gray from RGB AssignmentCache Remove Gray From Rgb Python Given integer values for red, green, and blue, subtract the gray from each value. Find the smallest value, and then. Given values for red, green, and blue, remove the gray part. Problem is that i need to remove gray from a set of 3 numbers. Actually in rgb [0, 0, 0] is black, [255, 255, 255] is white and all. Remove Gray From Rgb Python.
From www.chegg.com
Solved 3.16 LAB Remove gray from RGB Summary Given integer Remove Gray From Rgb Python This page converts rgb values into. For bgr \(\rightarrow\) gray conversion, we use the flag cv.color_bgr2gray. Using the cv2.cvtcolor () function. Similarly for bgr \(\rightarrow\) hsv, we use. Given values for red, green, and blue, remove the gray part. Import the opencv and read the original image using imread () than convert to grayscale. Given integer values for red, green,. Remove Gray From Rgb Python.
From www.chegg.com
Solved 2.6 LAB Branches Remove gray from RGBSummary Given Remove Gray From Rgb Python Given values for red, green, and blue, remove the gray part. Problem is that i need to remove gray from a set of 3 numbers. This page converts rgb values into. Import the opencv and read the original image using imread () than convert to grayscale. # find the smallest value, and then subtract it from all three values, thus. Remove Gray From Rgb Python.
From www.chegg.com
Solved 16.3 LAB Remove gray from RGB Summary Given integer Remove Gray From Rgb Python For bgr \(\rightarrow\) gray conversion, we use the flag cv.color_bgr2gray. Find the smallest value, and then. Problem is that i need to remove gray from a set of 3 numbers. Similarly for bgr \(\rightarrow\) hsv, we use. This page converts rgb values into. Given values for red, green, and blue, remove the gray part. Using the cv2.cvtcolor () function. Given. Remove Gray From Rgb Python.
From www.chegg.com
Solved 3.21 LAB Remove gray from RGBSummary Given integer Remove Gray From Rgb Python For bgr \(\rightarrow\) gray conversion, we use the flag cv.color_bgr2gray. Similarly for bgr \(\rightarrow\) hsv, we use. Find the smallest value, and then. Actually in rgb [0, 0, 0] is black, [255, 255, 255] is white and all other combinations of numbers are either gray or colorful. This page converts rgb values into. Given integer values for red, green, and. Remove Gray From Rgb Python.
From www.numerade.com
SOLVED 3.14 LAB Remove gray from RGB Summary Given integer values Remove Gray From Rgb Python Given integer values for red, green, and blue, subtract the gray from each value. Actually in rgb [0, 0, 0] is black, [255, 255, 255] is white and all other combinations of numbers are either gray or colorful. Given values for red, green, and blue, remove the gray part. Rgb_list = ['reds','greens','blues'] fig, ax = plt.subplots(1, 3, figsize=(15,5), sharey =. Remove Gray From Rgb Python.
From www.chegg.com
Solved 2.12 LAB Branches Remove gray from RGB Summary Remove Gray From Rgb Python Given values for red, green, and blue, remove the gray part. Using the cv2.cvtcolor () function. Problem is that i need to remove gray from a set of 3 numbers. # find the smallest value, and then subtract it from all three values, thus removing the gray. Similarly for bgr \(\rightarrow\) hsv, we use. Given values for red, green, and. Remove Gray From Rgb Python.
From mappingmemories.ca
Viento sextante infraestructura python color codes Fácil de suceder Remove Gray From Rgb Python Given integer values for red, green, and blue, subtract the gray from each value. Rgb_list = ['reds','greens','blues'] fig, ax = plt.subplots(1, 3, figsize=(15,5), sharey = true) for i in range(3): Find the smallest value, and then. For bgr \(\rightarrow\) gray conversion, we use the flag cv.color_bgr2gray. Actually in rgb [0, 0, 0] is black, [255, 255, 255] is white and. Remove Gray From Rgb Python.
From www.coursehero.com
[Solved] . LAB1 Remove gray from RGB(5 points) Summary Given integer Remove Gray From Rgb Python Import the opencv and read the original image using imread () than convert to grayscale. # find the smallest value, and then subtract it from all three values, thus removing the gray. Problem is that i need to remove gray from a set of 3 numbers. Similarly for bgr \(\rightarrow\) hsv, we use. Actually in rgb [0, 0, 0] is. Remove Gray From Rgb Python.
From barkmanoil.com
Python Grayscale To Rgb? The 18 Top Answers Remove Gray From Rgb Python Import the opencv and read the original image using imread () than convert to grayscale. Given values for red, green, and blue, remove the gray part. This page converts rgb values into. Using the cv2.cvtcolor () function. Given values for red, green, and blue, remove the gray part. Similarly for bgr \(\rightarrow\) hsv, we use. Problem is that i need. Remove Gray From Rgb Python.
From www.chegg.com
Solved 3.19 LAB Remove gray from RGB This section has been Remove Gray From Rgb Python Problem is that i need to remove gray from a set of 3 numbers. Find the smallest value, and then. Actually in rgb [0, 0, 0] is black, [255, 255, 255] is white and all other combinations of numbers are either gray or colorful. Using the cv2.cvtcolor () function. Given integer values for red, green, and blue, subtract the gray. Remove Gray From Rgb Python.
From www.coursehero.com
[Solved] 3.14 LAB Remove gray from RGB Summary Given integer values Remove Gray From Rgb Python Import the opencv and read the original image using imread () than convert to grayscale. For bgr \(\rightarrow\) gray conversion, we use the flag cv.color_bgr2gray. Given values for red, green, and blue, remove the gray part. Rgb_list = ['reds','greens','blues'] fig, ax = plt.subplots(1, 3, figsize=(15,5), sharey = true) for i in range(3): Using the cv2.cvtcolor () function. Problem is that. Remove Gray From Rgb Python.
From www.chegg.com
Solved 27.1 Remove gray from RGBSummary Given integer Remove Gray From Rgb Python Import the opencv and read the original image using imread () than convert to grayscale. Problem is that i need to remove gray from a set of 3 numbers. Given values for red, green, and blue, remove the gray part. Similarly for bgr \(\rightarrow\) hsv, we use. Actually in rgb [0, 0, 0] is black, [255, 255, 255] is white. Remove Gray From Rgb Python.
From www.askpython.com
Convert an RGB image into grayscale using Matplotlib AskPython Remove Gray From Rgb Python Given values for red, green, and blue, remove the gray part. Problem is that i need to remove gray from a set of 3 numbers. Given values for red, green, and blue, remove the gray part. Given integer values for red, green, and blue, subtract the gray from each value. This page converts rgb values into. Actually in rgb [0,. Remove Gray From Rgb Python.
From www.chegg.com
Solved 3.23 LAB Remove gray from RGB Summary Given integer Remove Gray From Rgb Python Given values for red, green, and blue, remove the gray part. Given values for red, green, and blue, remove the gray part. Rgb_list = ['reds','greens','blues'] fig, ax = plt.subplots(1, 3, figsize=(15,5), sharey = true) for i in range(3): Import the opencv and read the original image using imread () than convert to grayscale. Given integer values for red, green, and. Remove Gray From Rgb Python.
From brainly.com
Given integer values for red, green, and blue, subtract the gray from Remove Gray From Rgb Python # find the smallest value, and then subtract it from all three values, thus removing the gray. Similarly for bgr \(\rightarrow\) hsv, we use. Given integer values for red, green, and blue, subtract the gray from each value. Import the opencv and read the original image using imread () than convert to grayscale. Find the smallest value, and then. For. Remove Gray From Rgb Python.
From www.chegg.com
Solved \begin{tabular}{ll} AB & 2.18.1 LAB Remove gray Remove Gray From Rgb Python Given values for red, green, and blue, remove the gray part. # find the smallest value, and then subtract it from all three values, thus removing the gray. Import the opencv and read the original image using imread () than convert to grayscale. Given integer values for red, green, and blue, subtract the gray from each value. This page converts. Remove Gray From Rgb Python.
From brandiscrafts.com
Python Convert Rgb To Grayscale? The 13 Top Answers Remove Gray From Rgb Python Rgb_list = ['reds','greens','blues'] fig, ax = plt.subplots(1, 3, figsize=(15,5), sharey = true) for i in range(3): Actually in rgb [0, 0, 0] is black, [255, 255, 255] is white and all other combinations of numbers are either gray or colorful. Problem is that i need to remove gray from a set of 3 numbers. This page converts rgb values into.. Remove Gray From Rgb Python.
From www.chegg.com
Solved LABACTIVITY3.21.1 LAB Remove gray from Remove Gray From Rgb Python Given integer values for red, green, and blue, subtract the gray from each value. Import the opencv and read the original image using imread () than convert to grayscale. Given values for red, green, and blue, remove the gray part. For bgr \(\rightarrow\) gray conversion, we use the flag cv.color_bgr2gray. Problem is that i need to remove gray from a. Remove Gray From Rgb Python.
From www.chegg.com
Solved 2.18 LAB Remove gray from RGB I 4 end Remove Gray From Rgb Python Import the opencv and read the original image using imread () than convert to grayscale. Given integer values for red, green, and blue, subtract the gray from each value. Given values for red, green, and blue, remove the gray part. Rgb_list = ['reds','greens','blues'] fig, ax = plt.subplots(1, 3, figsize=(15,5), sharey = true) for i in range(3): Find the smallest value,. Remove Gray From Rgb Python.
From www.tutorialgateway.org
Python set remove method Remove Gray From Rgb Python Given values for red, green, and blue, remove the gray part. Find the smallest value, and then. Given values for red, green, and blue, remove the gray part. Import the opencv and read the original image using imread () than convert to grayscale. Actually in rgb [0, 0, 0] is black, [255, 255, 255] is white and all other combinations. Remove Gray From Rgb Python.
From www.scribd.com
5.15 LABRemove Gray From RGB Red ( ) Green ( ) Blue ( ) Gray (Red Remove Gray From Rgb Python Import the opencv and read the original image using imread () than convert to grayscale. Given values for red, green, and blue, remove the gray part. This page converts rgb values into. Rgb_list = ['reds','greens','blues'] fig, ax = plt.subplots(1, 3, figsize=(15,5), sharey = true) for i in range(3): Problem is that i need to remove gray from a set of. Remove Gray From Rgb Python.
From www.youtube.com
Java Lab Remove Gray From RGB YouTube Remove Gray From Rgb Python Given integer values for red, green, and blue, subtract the gray from each value. Given values for red, green, and blue, remove the gray part. Similarly for bgr \(\rightarrow\) hsv, we use. # find the smallest value, and then subtract it from all three values, thus removing the gray. Given values for red, green, and blue, remove the gray part.. Remove Gray From Rgb Python.
From www.geeksforgeeks.org
Matplotlib.colors.to_rgb() in Python Remove Gray From Rgb Python Using the cv2.cvtcolor () function. For bgr \(\rightarrow\) gray conversion, we use the flag cv.color_bgr2gray. Actually in rgb [0, 0, 0] is black, [255, 255, 255] is white and all other combinations of numbers are either gray or colorful. Import the opencv and read the original image using imread () than convert to grayscale. Given values for red, green, and. Remove Gray From Rgb Python.