Cohort Study Nutrition . In that context, we aimed to describe nutrition practices in the icu and study the association between the introduction of early. Considering that few cochrane nutrition reviews include cohort studies, and that most of the evidence in nutrition actually comes from cohort studies, evidence based. Cohort studies gather information from participants at the beginning and throughout the study, long before they may develop the. Including data from the aric cohort, there were 432 179 participants in eight cohort studies investigating carbohydrate intake, with 40 181 (9·3%) deaths reported. Food or dietary patterns) rather than single nutrients. Cohort studies focused on more complex exposures (e.g.
from openoregon.pressbooks.pub
Cohort studies focused on more complex exposures (e.g. Cohort studies gather information from participants at the beginning and throughout the study, long before they may develop the. Food or dietary patterns) rather than single nutrients. Considering that few cochrane nutrition reviews include cohort studies, and that most of the evidence in nutrition actually comes from cohort studies, evidence based. In that context, we aimed to describe nutrition practices in the icu and study the association between the introduction of early. Including data from the aric cohort, there were 432 179 participants in eight cohort studies investigating carbohydrate intake, with 40 181 (9·3%) deaths reported.
Types of Research Studies and How To Interpret Them Nutrition
Cohort Study Nutrition In that context, we aimed to describe nutrition practices in the icu and study the association between the introduction of early. Cohort studies focused on more complex exposures (e.g. In that context, we aimed to describe nutrition practices in the icu and study the association between the introduction of early. Cohort studies gather information from participants at the beginning and throughout the study, long before they may develop the. Food or dietary patterns) rather than single nutrients. Including data from the aric cohort, there were 432 179 participants in eight cohort studies investigating carbohydrate intake, with 40 181 (9·3%) deaths reported. Considering that few cochrane nutrition reviews include cohort studies, and that most of the evidence in nutrition actually comes from cohort studies, evidence based.
From www.bmj.com
Association between nutritional profiles of foods underlying Nutri Cohort Study Nutrition Cohort studies gather information from participants at the beginning and throughout the study, long before they may develop the. In that context, we aimed to describe nutrition practices in the icu and study the association between the introduction of early. Including data from the aric cohort, there were 432 179 participants in eight cohort studies investigating carbohydrate intake, with 40. Cohort Study Nutrition.
From www.academia.edu
(PDF) Nutritional risk assessment and cultural validation of the Cohort Study Nutrition Cohort studies gather information from participants at the beginning and throughout the study, long before they may develop the. In that context, we aimed to describe nutrition practices in the icu and study the association between the introduction of early. Considering that few cochrane nutrition reviews include cohort studies, and that most of the evidence in nutrition actually comes from. Cohort Study Nutrition.
From www.bmj.com
Ultraprocessed food intake and risk of cardiovascular disease Cohort Study Nutrition Cohort studies focused on more complex exposures (e.g. Cohort studies gather information from participants at the beginning and throughout the study, long before they may develop the. Including data from the aric cohort, there were 432 179 participants in eight cohort studies investigating carbohydrate intake, with 40 181 (9·3%) deaths reported. Considering that few cochrane nutrition reviews include cohort studies,. Cohort Study Nutrition.
From www.researchgate.net
(PDF) Prevalence of nutritional risk and its impact on functional Cohort Study Nutrition Food or dietary patterns) rather than single nutrients. Cohort studies gather information from participants at the beginning and throughout the study, long before they may develop the. Cohort studies focused on more complex exposures (e.g. Considering that few cochrane nutrition reviews include cohort studies, and that most of the evidence in nutrition actually comes from cohort studies, evidence based. In. Cohort Study Nutrition.
From www.researchgate.net
baseline characteristics of participants from Molisani study cohort Cohort Study Nutrition Cohort studies focused on more complex exposures (e.g. Including data from the aric cohort, there were 432 179 participants in eight cohort studies investigating carbohydrate intake, with 40 181 (9·3%) deaths reported. Considering that few cochrane nutrition reviews include cohort studies, and that most of the evidence in nutrition actually comes from cohort studies, evidence based. In that context, we. Cohort Study Nutrition.
From courses.lumenlearning.com
1.2 Epidemiology Nutrition Flexbook Cohort Study Nutrition Considering that few cochrane nutrition reviews include cohort studies, and that most of the evidence in nutrition actually comes from cohort studies, evidence based. Cohort studies gather information from participants at the beginning and throughout the study, long before they may develop the. Food or dietary patterns) rather than single nutrients. In that context, we aimed to describe nutrition practices. Cohort Study Nutrition.
From www.slideserve.com
PPT NUTRITIONAL EPIDEMIOLOGY PowerPoint Presentation, free download Cohort Study Nutrition Considering that few cochrane nutrition reviews include cohort studies, and that most of the evidence in nutrition actually comes from cohort studies, evidence based. Including data from the aric cohort, there were 432 179 participants in eight cohort studies investigating carbohydrate intake, with 40 181 (9·3%) deaths reported. Food or dietary patterns) rather than single nutrients. Cohort studies gather information. Cohort Study Nutrition.
From www.researchgate.net
Flow chart showing the Netherlands Cohort Study on Diet and Cancer Cohort Study Nutrition Including data from the aric cohort, there were 432 179 participants in eight cohort studies investigating carbohydrate intake, with 40 181 (9·3%) deaths reported. Food or dietary patterns) rather than single nutrients. In that context, we aimed to describe nutrition practices in the icu and study the association between the introduction of early. Cohort studies focused on more complex exposures. Cohort Study Nutrition.
From www.academia.edu
(PDF) Nutritional Status Is Associated with Function, Physical Cohort Study Nutrition Food or dietary patterns) rather than single nutrients. Cohort studies focused on more complex exposures (e.g. Considering that few cochrane nutrition reviews include cohort studies, and that most of the evidence in nutrition actually comes from cohort studies, evidence based. Cohort studies gather information from participants at the beginning and throughout the study, long before they may develop the. Including. Cohort Study Nutrition.
From bjgp.org
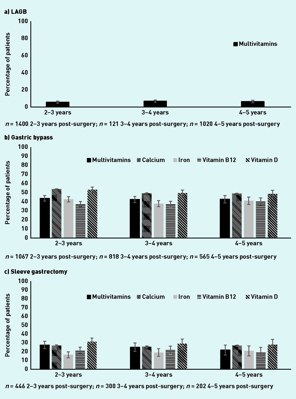
Postbariatric surgery nutritional followup in primary care a Cohort Study Nutrition Considering that few cochrane nutrition reviews include cohort studies, and that most of the evidence in nutrition actually comes from cohort studies, evidence based. Cohort studies gather information from participants at the beginning and throughout the study, long before they may develop the. Including data from the aric cohort, there were 432 179 participants in eight cohort studies investigating carbohydrate. Cohort Study Nutrition.
From www.researchgate.net
(PDF) Preoperative myosteatosis and prognostic nutritional index Cohort Study Nutrition Including data from the aric cohort, there were 432 179 participants in eight cohort studies investigating carbohydrate intake, with 40 181 (9·3%) deaths reported. Considering that few cochrane nutrition reviews include cohort studies, and that most of the evidence in nutrition actually comes from cohort studies, evidence based. Cohort studies gather information from participants at the beginning and throughout the. Cohort Study Nutrition.
From bmjpaedsopen.bmj.com
New anthropometric classification scheme of preoperative nutritional Cohort Study Nutrition Cohort studies gather information from participants at the beginning and throughout the study, long before they may develop the. In that context, we aimed to describe nutrition practices in the icu and study the association between the introduction of early. Including data from the aric cohort, there were 432 179 participants in eight cohort studies investigating carbohydrate intake, with 40. Cohort Study Nutrition.
From courses.lumenlearning.com
1.2 Epidemiology Nutrition Flexbook Cohort Study Nutrition Including data from the aric cohort, there were 432 179 participants in eight cohort studies investigating carbohydrate intake, with 40 181 (9·3%) deaths reported. Cohort studies gather information from participants at the beginning and throughout the study, long before they may develop the. Cohort studies focused on more complex exposures (e.g. Considering that few cochrane nutrition reviews include cohort studies,. Cohort Study Nutrition.
From www.academia.edu
(PDF) Nutritional status in intensive care unit patients a prospective Cohort Study Nutrition Cohort studies focused on more complex exposures (e.g. In that context, we aimed to describe nutrition practices in the icu and study the association between the introduction of early. Including data from the aric cohort, there were 432 179 participants in eight cohort studies investigating carbohydrate intake, with 40 181 (9·3%) deaths reported. Food or dietary patterns) rather than single. Cohort Study Nutrition.
From www.news-medical.net
Food & You the utility of a digital cohort for personalized nutrition Cohort Study Nutrition Considering that few cochrane nutrition reviews include cohort studies, and that most of the evidence in nutrition actually comes from cohort studies, evidence based. Cohort studies gather information from participants at the beginning and throughout the study, long before they may develop the. Including data from the aric cohort, there were 432 179 participants in eight cohort studies investigating carbohydrate. Cohort Study Nutrition.
From deakin.libguides.com
Cohort Studies Quantitative study designs LibGuides at Deakin Cohort Study Nutrition In that context, we aimed to describe nutrition practices in the icu and study the association between the introduction of early. Food or dietary patterns) rather than single nutrients. Cohort studies focused on more complex exposures (e.g. Considering that few cochrane nutrition reviews include cohort studies, and that most of the evidence in nutrition actually comes from cohort studies, evidence. Cohort Study Nutrition.
From www.researchgate.net
(PDF) Perspective NutriGrade A Scoring System to Assess and Judge the Cohort Study Nutrition Cohort studies gather information from participants at the beginning and throughout the study, long before they may develop the. Considering that few cochrane nutrition reviews include cohort studies, and that most of the evidence in nutrition actually comes from cohort studies, evidence based. Cohort studies focused on more complex exposures (e.g. Food or dietary patterns) rather than single nutrients. In. Cohort Study Nutrition.
From www.nature.com
Adherence to a Mediterraneanstyle eating pattern and risk of diabetes Cohort Study Nutrition In that context, we aimed to describe nutrition practices in the icu and study the association between the introduction of early. Cohort studies focused on more complex exposures (e.g. Food or dietary patterns) rather than single nutrients. Including data from the aric cohort, there were 432 179 participants in eight cohort studies investigating carbohydrate intake, with 40 181 (9·3%) deaths. Cohort Study Nutrition.
From www.slideserve.com
PPT Nutrition Research Overview PowerPoint Presentation, free Cohort Study Nutrition In that context, we aimed to describe nutrition practices in the icu and study the association between the introduction of early. Cohort studies gather information from participants at the beginning and throughout the study, long before they may develop the. Food or dietary patterns) rather than single nutrients. Considering that few cochrane nutrition reviews include cohort studies, and that most. Cohort Study Nutrition.
From www.researchgate.net
(PDF) Comorbidity and nutritional indices as predictors of morbidity Cohort Study Nutrition Food or dietary patterns) rather than single nutrients. In that context, we aimed to describe nutrition practices in the icu and study the association between the introduction of early. Cohort studies gather information from participants at the beginning and throughout the study, long before they may develop the. Cohort studies focused on more complex exposures (e.g. Considering that few cochrane. Cohort Study Nutrition.
From www.researchgate.net
(PDF) Association of preoperative nutritional status evaluated by the Cohort Study Nutrition Cohort studies gather information from participants at the beginning and throughout the study, long before they may develop the. Food or dietary patterns) rather than single nutrients. Cohort studies focused on more complex exposures (e.g. In that context, we aimed to describe nutrition practices in the icu and study the association between the introduction of early. Including data from the. Cohort Study Nutrition.
From www.cambridge.org
Healthy and unhealthy dietary patterns and the risk of chronic disease Cohort Study Nutrition In that context, we aimed to describe nutrition practices in the icu and study the association between the introduction of early. Cohort studies focused on more complex exposures (e.g. Food or dietary patterns) rather than single nutrients. Cohort studies gather information from participants at the beginning and throughout the study, long before they may develop the. Including data from the. Cohort Study Nutrition.
From www.researchgate.net
(PDF) Early Life Nutritional Programming of Obesity MotherChild Cohort Study Nutrition Cohort studies focused on more complex exposures (e.g. In that context, we aimed to describe nutrition practices in the icu and study the association between the introduction of early. Food or dietary patterns) rather than single nutrients. Including data from the aric cohort, there were 432 179 participants in eight cohort studies investigating carbohydrate intake, with 40 181 (9·3%) deaths. Cohort Study Nutrition.
From soulspotwings.com
Food and You The Usefulness of a Digital Cohort in Personalized Cohort Study Nutrition In that context, we aimed to describe nutrition practices in the icu and study the association between the introduction of early. Cohort studies gather information from participants at the beginning and throughout the study, long before they may develop the. Cohort studies focused on more complex exposures (e.g. Considering that few cochrane nutrition reviews include cohort studies, and that most. Cohort Study Nutrition.
From www.bmj.com
Evaluating agreement between bodies of evidence from randomised Cohort Study Nutrition Considering that few cochrane nutrition reviews include cohort studies, and that most of the evidence in nutrition actually comes from cohort studies, evidence based. In that context, we aimed to describe nutrition practices in the icu and study the association between the introduction of early. Including data from the aric cohort, there were 432 179 participants in eight cohort studies. Cohort Study Nutrition.
From www.slideserve.com
PPT Nutrition Research Overview PowerPoint Presentation, free Cohort Study Nutrition Including data from the aric cohort, there were 432 179 participants in eight cohort studies investigating carbohydrate intake, with 40 181 (9·3%) deaths reported. Cohort studies focused on more complex exposures (e.g. Considering that few cochrane nutrition reviews include cohort studies, and that most of the evidence in nutrition actually comes from cohort studies, evidence based. Food or dietary patterns). Cohort Study Nutrition.
From bmjopen.bmj.com
Cohort profile the Maternal and Child Health and Nutrition in Acre Cohort Study Nutrition Cohort studies gather information from participants at the beginning and throughout the study, long before they may develop the. In that context, we aimed to describe nutrition practices in the icu and study the association between the introduction of early. Cohort studies focused on more complex exposures (e.g. Food or dietary patterns) rather than single nutrients. Including data from the. Cohort Study Nutrition.
From www.researchgate.net
(PDF) Dealing With Dietary Measurement Error in Nutritional Cohort Studies Cohort Study Nutrition Considering that few cochrane nutrition reviews include cohort studies, and that most of the evidence in nutrition actually comes from cohort studies, evidence based. Food or dietary patterns) rather than single nutrients. Including data from the aric cohort, there were 432 179 participants in eight cohort studies investigating carbohydrate intake, with 40 181 (9·3%) deaths reported. Cohort studies focused on. Cohort Study Nutrition.
From www.academia.edu
(PDF) Nutritional quality of food as represented by the FSAmNPS Cohort Study Nutrition In that context, we aimed to describe nutrition practices in the icu and study the association between the introduction of early. Including data from the aric cohort, there were 432 179 participants in eight cohort studies investigating carbohydrate intake, with 40 181 (9·3%) deaths reported. Considering that few cochrane nutrition reviews include cohort studies, and that most of the evidence. Cohort Study Nutrition.
From www.academia.edu
(PDF) Nutritional status predicts preterm death in older people A Cohort Study Nutrition Considering that few cochrane nutrition reviews include cohort studies, and that most of the evidence in nutrition actually comes from cohort studies, evidence based. Cohort studies gather information from participants at the beginning and throughout the study, long before they may develop the. In that context, we aimed to describe nutrition practices in the icu and study the association between. Cohort Study Nutrition.
From openoregon.pressbooks.pub
Types of Research Studies and How To Interpret Them Nutrition Cohort Study Nutrition Cohort studies gather information from participants at the beginning and throughout the study, long before they may develop the. Including data from the aric cohort, there were 432 179 participants in eight cohort studies investigating carbohydrate intake, with 40 181 (9·3%) deaths reported. Considering that few cochrane nutrition reviews include cohort studies, and that most of the evidence in nutrition. Cohort Study Nutrition.
From pubrica.com
Cohort Study Methodology Cohort Study Nutrition Food or dietary patterns) rather than single nutrients. Cohort studies gather information from participants at the beginning and throughout the study, long before they may develop the. Including data from the aric cohort, there were 432 179 participants in eight cohort studies investigating carbohydrate intake, with 40 181 (9·3%) deaths reported. Cohort studies focused on more complex exposures (e.g. Considering. Cohort Study Nutrition.
From www.tandfonline.com
Association of Phase Angle with Overall Survival in Patients with Cohort Study Nutrition Food or dietary patterns) rather than single nutrients. Considering that few cochrane nutrition reviews include cohort studies, and that most of the evidence in nutrition actually comes from cohort studies, evidence based. In that context, we aimed to describe nutrition practices in the icu and study the association between the introduction of early. Cohort studies gather information from participants at. Cohort Study Nutrition.
From www.academia.edu
(PDF) Nutritional status and TB treatment in Addis Ababa Cohort Study Nutrition Cohort studies gather information from participants at the beginning and throughout the study, long before they may develop the. Food or dietary patterns) rather than single nutrients. In that context, we aimed to describe nutrition practices in the icu and study the association between the introduction of early. Considering that few cochrane nutrition reviews include cohort studies, and that most. Cohort Study Nutrition.
From helpfulprofessor.com
Cohort Effect 10 Examples, Definition, Types (2024) Cohort Study Nutrition Food or dietary patterns) rather than single nutrients. Cohort studies focused on more complex exposures (e.g. Cohort studies gather information from participants at the beginning and throughout the study, long before they may develop the. Including data from the aric cohort, there were 432 179 participants in eight cohort studies investigating carbohydrate intake, with 40 181 (9·3%) deaths reported. Considering. Cohort Study Nutrition.