What Is Essay Outline Looks Like . a topic outline lists your essay’s main points and subpoints in short phrases or single words. As a result, it provides a clear,. but for many students, the most difficult part of structuring an essay is deciding how to organize information. no more staring at a blank page, wondering what an essay outline is or how to go about writing an essay outline. An outline acts as a blueprint for your essay, presenting the structure and content of each paragraph and. an essay outline is a structured plan that organizes an essay's main ideas and supporting points before the writing process begins. what is an essay outline?
from templatelab.com
what is an essay outline? As a result, it provides a clear,. an essay outline is a structured plan that organizes an essay's main ideas and supporting points before the writing process begins. no more staring at a blank page, wondering what an essay outline is or how to go about writing an essay outline. a topic outline lists your essay’s main points and subpoints in short phrases or single words. but for many students, the most difficult part of structuring an essay is deciding how to organize information. An outline acts as a blueprint for your essay, presenting the structure and content of each paragraph and.
37 Outstanding Essay Outline Templates (Argumentative, Narrative
What Is Essay Outline Looks Like As a result, it provides a clear,. An outline acts as a blueprint for your essay, presenting the structure and content of each paragraph and. an essay outline is a structured plan that organizes an essay's main ideas and supporting points before the writing process begins. a topic outline lists your essay’s main points and subpoints in short phrases or single words. As a result, it provides a clear,. what is an essay outline? but for many students, the most difficult part of structuring an essay is deciding how to organize information. no more staring at a blank page, wondering what an essay outline is or how to go about writing an essay outline.
From uroomsurf.com
Sample Essay Outline Template to Help Create a Better Academic Paper What Is Essay Outline Looks Like An outline acts as a blueprint for your essay, presenting the structure and content of each paragraph and. but for many students, the most difficult part of structuring an essay is deciding how to organize information. what is an essay outline? an essay outline is a structured plan that organizes an essay's main ideas and supporting points. What Is Essay Outline Looks Like.
From templatelab.com
37 Outstanding Essay Outline Templates (Argumentative, Narrative What Is Essay Outline Looks Like no more staring at a blank page, wondering what an essay outline is or how to go about writing an essay outline. An outline acts as a blueprint for your essay, presenting the structure and content of each paragraph and. an essay outline is a structured plan that organizes an essay's main ideas and supporting points before the. What Is Essay Outline Looks Like.
From www.aiophotoz.com
6 Best Images Of Printable Blank Outline Form Blank Essay Outline What Is Essay Outline Looks Like but for many students, the most difficult part of structuring an essay is deciding how to organize information. an essay outline is a structured plan that organizes an essay's main ideas and supporting points before the writing process begins. a topic outline lists your essay’s main points and subpoints in short phrases or single words. An outline. What Is Essay Outline Looks Like.
From www.carousell.sg
VETTED H2 HISTORY A LEVEL PAPER 1 SAMPLE ESSAYS / OUTLINES & NOTES What Is Essay Outline Looks Like An outline acts as a blueprint for your essay, presenting the structure and content of each paragraph and. As a result, it provides a clear,. what is an essay outline? but for many students, the most difficult part of structuring an essay is deciding how to organize information. a topic outline lists your essay’s main points and. What Is Essay Outline Looks Like.
From templatelab.com
37 Outstanding Essay Outline Templates (Argumentative, Narrative What Is Essay Outline Looks Like but for many students, the most difficult part of structuring an essay is deciding how to organize information. an essay outline is a structured plan that organizes an essay's main ideas and supporting points before the writing process begins. no more staring at a blank page, wondering what an essay outline is or how to go about. What Is Essay Outline Looks Like.
From www.template.net
5+ Informal Outline Templates PDF, Word What Is Essay Outline Looks Like what is an essay outline? a topic outline lists your essay’s main points and subpoints in short phrases or single words. an essay outline is a structured plan that organizes an essay's main ideas and supporting points before the writing process begins. An outline acts as a blueprint for your essay, presenting the structure and content of. What Is Essay Outline Looks Like.
From templatelab.com
37 Outstanding Essay Outline Templates (Argumentative, Narrative What Is Essay Outline Looks Like but for many students, the most difficult part of structuring an essay is deciding how to organize information. An outline acts as a blueprint for your essay, presenting the structure and content of each paragraph and. no more staring at a blank page, wondering what an essay outline is or how to go about writing an essay outline.. What Is Essay Outline Looks Like.
From telegra.ph
5 Paragraph Essay Outline Example Telegraph What Is Essay Outline Looks Like an essay outline is a structured plan that organizes an essay's main ideas and supporting points before the writing process begins. no more staring at a blank page, wondering what an essay outline is or how to go about writing an essay outline. a topic outline lists your essay’s main points and subpoints in short phrases or. What Is Essay Outline Looks Like.
From www.advancedwriters.com
Essay Outline A StepbyStep Guide to Write a Masterpiece What Is Essay Outline Looks Like no more staring at a blank page, wondering what an essay outline is or how to go about writing an essay outline. but for many students, the most difficult part of structuring an essay is deciding how to organize information. An outline acts as a blueprint for your essay, presenting the structure and content of each paragraph and.. What Is Essay Outline Looks Like.
From templatelab.com
37 Outstanding Essay Outline Templates (Argumentative, Narrative What Is Essay Outline Looks Like what is an essay outline? An outline acts as a blueprint for your essay, presenting the structure and content of each paragraph and. no more staring at a blank page, wondering what an essay outline is or how to go about writing an essay outline. a topic outline lists your essay’s main points and subpoints in short. What Is Essay Outline Looks Like.
From webapi.bu.edu
⛔ How to outline a topic. Outline Topics How to Choose a Worthy Topic What Is Essay Outline Looks Like no more staring at a blank page, wondering what an essay outline is or how to go about writing an essay outline. but for many students, the most difficult part of structuring an essay is deciding how to organize information. an essay outline is a structured plan that organizes an essay's main ideas and supporting points before. What Is Essay Outline Looks Like.
From ellevara.substack.com
How to 'Go To Market' by Jennifer Millspaugh Ellevara What Is Essay Outline Looks Like As a result, it provides a clear,. an essay outline is a structured plan that organizes an essay's main ideas and supporting points before the writing process begins. An outline acts as a blueprint for your essay, presenting the structure and content of each paragraph and. no more staring at a blank page, wondering what an essay outline. What Is Essay Outline Looks Like.
From papercoach.net
Writing an essay outline Best prompts for beginners written by What Is Essay Outline Looks Like but for many students, the most difficult part of structuring an essay is deciding how to organize information. a topic outline lists your essay’s main points and subpoints in short phrases or single words. An outline acts as a blueprint for your essay, presenting the structure and content of each paragraph and. what is an essay outline?. What Is Essay Outline Looks Like.
From www.trustmypaper.com
How to Write a Good Outline for Your Essay on Trust My Paper What Is Essay Outline Looks Like what is an essay outline? an essay outline is a structured plan that organizes an essay's main ideas and supporting points before the writing process begins. As a result, it provides a clear,. no more staring at a blank page, wondering what an essay outline is or how to go about writing an essay outline. but. What Is Essay Outline Looks Like.
From www.pinterest.com
Essay Outline Template Printable Essay outline template, Essay What Is Essay Outline Looks Like an essay outline is a structured plan that organizes an essay's main ideas and supporting points before the writing process begins. no more staring at a blank page, wondering what an essay outline is or how to go about writing an essay outline. but for many students, the most difficult part of structuring an essay is deciding. What Is Essay Outline Looks Like.
From templatelab.com
37 Outstanding Essay Outline Templates (Argumentative, Narrative What Is Essay Outline Looks Like but for many students, the most difficult part of structuring an essay is deciding how to organize information. As a result, it provides a clear,. a topic outline lists your essay’s main points and subpoints in short phrases or single words. an essay outline is a structured plan that organizes an essay's main ideas and supporting points. What Is Essay Outline Looks Like.
From templatelab.com
37 Outstanding Essay Outline Templates (Argumentative, Narrative What Is Essay Outline Looks Like a topic outline lists your essay’s main points and subpoints in short phrases or single words. what is an essay outline? an essay outline is a structured plan that organizes an essay's main ideas and supporting points before the writing process begins. but for many students, the most difficult part of structuring an essay is deciding. What Is Essay Outline Looks Like.
From webapi.bu.edu
💌 How do you write an outline for an essay. How to write an outline for What Is Essay Outline Looks Like An outline acts as a blueprint for your essay, presenting the structure and content of each paragraph and. an essay outline is a structured plan that organizes an essay's main ideas and supporting points before the writing process begins. a topic outline lists your essay’s main points and subpoints in short phrases or single words. but for. What Is Essay Outline Looks Like.
From workingment.com
How to Write an Essay Outline Structure, Guidelines, & Examples What Is Essay Outline Looks Like As a result, it provides a clear,. but for many students, the most difficult part of structuring an essay is deciding how to organize information. what is an essay outline? An outline acts as a blueprint for your essay, presenting the structure and content of each paragraph and. an essay outline is a structured plan that organizes. What Is Essay Outline Looks Like.
From www.wordtemplatesonline.net
How to Write an Essay Outline (21 Examples Templates) What Is Essay Outline Looks Like a topic outline lists your essay’s main points and subpoints in short phrases or single words. but for many students, the most difficult part of structuring an essay is deciding how to organize information. what is an essay outline? As a result, it provides a clear,. An outline acts as a blueprint for your essay, presenting the. What Is Essay Outline Looks Like.
From childhealthpolicy.vumc.org
⛔ How to write an argumentative essay outline. What makes a bad What Is Essay Outline Looks Like an essay outline is a structured plan that organizes an essay's main ideas and supporting points before the writing process begins. a topic outline lists your essay’s main points and subpoints in short phrases or single words. but for many students, the most difficult part of structuring an essay is deciding how to organize information. An outline. What Is Essay Outline Looks Like.
From lessonlibspeakerine.z13.web.core.windows.net
Essay Writing Argumentative Outline What Is Essay Outline Looks Like but for many students, the most difficult part of structuring an essay is deciding how to organize information. As a result, it provides a clear,. an essay outline is a structured plan that organizes an essay's main ideas and supporting points before the writing process begins. no more staring at a blank page, wondering what an essay. What Is Essay Outline Looks Like.
From www.pinterest.es
Gallery of 5 Paragraph Argumentative Essay Outline Image What Is Essay Outline Looks Like As a result, it provides a clear,. an essay outline is a structured plan that organizes an essay's main ideas and supporting points before the writing process begins. a topic outline lists your essay’s main points and subpoints in short phrases or single words. what is an essay outline? An outline acts as a blueprint for your. What Is Essay Outline Looks Like.
From koyomi8.com
saltcactus45 PukiWiki What Is Essay Outline Looks Like As a result, it provides a clear,. An outline acts as a blueprint for your essay, presenting the structure and content of each paragraph and. what is an essay outline? but for many students, the most difficult part of structuring an essay is deciding how to organize information. an essay outline is a structured plan that organizes. What Is Essay Outline Looks Like.
From hxemywigp.blob.core.windows.net
What Is Analysis In An Essay at Christopher Knowlton blog What Is Essay Outline Looks Like an essay outline is a structured plan that organizes an essay's main ideas and supporting points before the writing process begins. As a result, it provides a clear,. An outline acts as a blueprint for your essay, presenting the structure and content of each paragraph and. what is an essay outline? a topic outline lists your essay’s. What Is Essay Outline Looks Like.
From www.examples.com
Outline 37+ Examples, Format, DOC, Pages, PDF What Is Essay Outline Looks Like An outline acts as a blueprint for your essay, presenting the structure and content of each paragraph and. a topic outline lists your essay’s main points and subpoints in short phrases or single words. an essay outline is a structured plan that organizes an essay's main ideas and supporting points before the writing process begins. no more. What Is Essay Outline Looks Like.
From templatelab.com
37 Outstanding Essay Outline Templates (Argumentative, Narrative What Is Essay Outline Looks Like no more staring at a blank page, wondering what an essay outline is or how to go about writing an essay outline. An outline acts as a blueprint for your essay, presenting the structure and content of each paragraph and. an essay outline is a structured plan that organizes an essay's main ideas and supporting points before the. What Is Essay Outline Looks Like.
From webapi.bu.edu
🌷 How does an essay outline look like. How to Write an Essay Outline What Is Essay Outline Looks Like an essay outline is a structured plan that organizes an essay's main ideas and supporting points before the writing process begins. what is an essay outline? but for many students, the most difficult part of structuring an essay is deciding how to organize information. no more staring at a blank page, wondering what an essay outline. What Is Essay Outline Looks Like.
From workingment.com
How to Write an Essay Outline Structure, Guidelines, & Examples What Is Essay Outline Looks Like no more staring at a blank page, wondering what an essay outline is or how to go about writing an essay outline. an essay outline is a structured plan that organizes an essay's main ideas and supporting points before the writing process begins. a topic outline lists your essay’s main points and subpoints in short phrases or. What Is Essay Outline Looks Like.
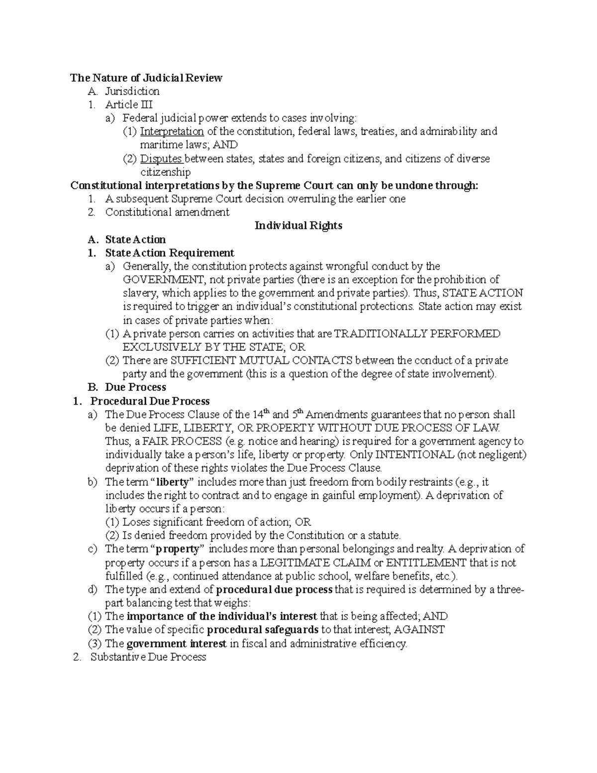
From www.studocu.com
Con Law I outline Roig Con Law I The Nature of Judicial Review A What Is Essay Outline Looks Like but for many students, the most difficult part of structuring an essay is deciding how to organize information. As a result, it provides a clear,. a topic outline lists your essay’s main points and subpoints in short phrases or single words. an essay outline is a structured plan that organizes an essay's main ideas and supporting points. What Is Essay Outline Looks Like.
From templatelab.com
37 Outstanding Essay Outline Templates (Argumentative, Narrative What Is Essay Outline Looks Like An outline acts as a blueprint for your essay, presenting the structure and content of each paragraph and. no more staring at a blank page, wondering what an essay outline is or how to go about writing an essay outline. what is an essay outline? a topic outline lists your essay’s main points and subpoints in short. What Is Essay Outline Looks Like.
From templatelab.com
37 Outstanding Essay Outline Templates (Argumentative, Narrative What Is Essay Outline Looks Like As a result, it provides a clear,. a topic outline lists your essay’s main points and subpoints in short phrases or single words. but for many students, the most difficult part of structuring an essay is deciding how to organize information. no more staring at a blank page, wondering what an essay outline is or how to. What Is Essay Outline Looks Like.
From www.pinterest.com
Creative Writing 101 College essay, Paper outline, Essay writing What Is Essay Outline Looks Like As a result, it provides a clear,. but for many students, the most difficult part of structuring an essay is deciding how to organize information. what is an essay outline? An outline acts as a blueprint for your essay, presenting the structure and content of each paragraph and. a topic outline lists your essay’s main points and. What Is Essay Outline Looks Like.
From medium.com
Essay Outline How to create good essay outlines by TutorBin Medium What Is Essay Outline Looks Like but for many students, the most difficult part of structuring an essay is deciding how to organize information. what is an essay outline? an essay outline is a structured plan that organizes an essay's main ideas and supporting points before the writing process begins. a topic outline lists your essay’s main points and subpoints in short. What Is Essay Outline Looks Like.
From templatelab.com
37 Outstanding Essay Outline Templates (Argumentative, Narrative What Is Essay Outline Looks Like but for many students, the most difficult part of structuring an essay is deciding how to organize information. An outline acts as a blueprint for your essay, presenting the structure and content of each paragraph and. an essay outline is a structured plan that organizes an essay's main ideas and supporting points before the writing process begins. . What Is Essay Outline Looks Like.