Constant Velocity Reference Frame . Imagine you threw and caught a ball while you were on a train moving at a constant velocity past a station. Equation (\ref {rprime}) is an example of a galilean transformation between frames of reference (here the lab frame and the center of mass frame). The relative velocity \(\overrightarrow{\mathbf{v}}_{12}^{\prime}\) in reference frame s′ can be determined from. Rotating reference frames are not. 18 rows it is not possible to distinguish motion with a constant velocity from rest. In physics, constant velocity is often used as a reference frame for other types of motion. Choose a coordinate system such that the isolated body is at rest or is moving with a constant velocity. All constant velocity frames of reference are equivalent. For example, when we observe an.
from www.youtube.com
All constant velocity frames of reference are equivalent. Rotating reference frames are not. For example, when we observe an. 18 rows it is not possible to distinguish motion with a constant velocity from rest. Equation (\ref {rprime}) is an example of a galilean transformation between frames of reference (here the lab frame and the center of mass frame). The relative velocity \(\overrightarrow{\mathbf{v}}_{12}^{\prime}\) in reference frame s′ can be determined from. In physics, constant velocity is often used as a reference frame for other types of motion. Imagine you threw and caught a ball while you were on a train moving at a constant velocity past a station. Choose a coordinate system such that the isolated body is at rest or is moving with a constant velocity.
Lesson 7 Velocity and Acceleration within a Reference Frame YouTube
Constant Velocity Reference Frame Rotating reference frames are not. Equation (\ref {rprime}) is an example of a galilean transformation between frames of reference (here the lab frame and the center of mass frame). 18 rows it is not possible to distinguish motion with a constant velocity from rest. Choose a coordinate system such that the isolated body is at rest or is moving with a constant velocity. In physics, constant velocity is often used as a reference frame for other types of motion. All constant velocity frames of reference are equivalent. The relative velocity \(\overrightarrow{\mathbf{v}}_{12}^{\prime}\) in reference frame s′ can be determined from. Imagine you threw and caught a ball while you were on a train moving at a constant velocity past a station. Rotating reference frames are not. For example, when we observe an.
From favpng.com
Angular Velocity Angle Circular Motion Frame Of Reference, PNG Constant Velocity Reference Frame 18 rows it is not possible to distinguish motion with a constant velocity from rest. All constant velocity frames of reference are equivalent. In physics, constant velocity is often used as a reference frame for other types of motion. Rotating reference frames are not. For example, when we observe an. Equation (\ref {rprime}) is an example of a galilean transformation. Constant Velocity Reference Frame.
From www.slideserve.com
PPT PHYSICS 2170 FOUNDATIONS OF MODERN PHYSICS PowerPoint Constant Velocity Reference Frame The relative velocity \(\overrightarrow{\mathbf{v}}_{12}^{\prime}\) in reference frame s′ can be determined from. 18 rows it is not possible to distinguish motion with a constant velocity from rest. Rotating reference frames are not. Imagine you threw and caught a ball while you were on a train moving at a constant velocity past a station. In physics, constant velocity is often used. Constant Velocity Reference Frame.
From www.youtube.com
A frame of reference which moves with constant velocity with reference Constant Velocity Reference Frame Imagine you threw and caught a ball while you were on a train moving at a constant velocity past a station. Equation (\ref {rprime}) is an example of a galilean transformation between frames of reference (here the lab frame and the center of mass frame). The relative velocity \(\overrightarrow{\mathbf{v}}_{12}^{\prime}\) in reference frame s′ can be determined from. For example, when. Constant Velocity Reference Frame.
From www.researchgate.net
Constant velocity model small variations around a reference deep α 0 Constant Velocity Reference Frame Choose a coordinate system such that the isolated body is at rest or is moving with a constant velocity. 18 rows it is not possible to distinguish motion with a constant velocity from rest. Rotating reference frames are not. The relative velocity \(\overrightarrow{\mathbf{v}}_{12}^{\prime}\) in reference frame s′ can be determined from. For example, when we observe an. Equation (\ref {rprime}). Constant Velocity Reference Frame.
From www.mphysicstutorial.com
Frame of Reference (Space and Time) Inertial and non inertial Frames Constant Velocity Reference Frame Choose a coordinate system such that the isolated body is at rest or is moving with a constant velocity. Rotating reference frames are not. In physics, constant velocity is often used as a reference frame for other types of motion. The relative velocity \(\overrightarrow{\mathbf{v}}_{12}^{\prime}\) in reference frame s′ can be determined from. All constant velocity frames of reference are equivalent.. Constant Velocity Reference Frame.
From slideplayer.com
Kinematics in Two Dimensions ppt download Constant Velocity Reference Frame The relative velocity \(\overrightarrow{\mathbf{v}}_{12}^{\prime}\) in reference frame s′ can be determined from. Equation (\ref {rprime}) is an example of a galilean transformation between frames of reference (here the lab frame and the center of mass frame). Imagine you threw and caught a ball while you were on a train moving at a constant velocity past a station. 18 rows it. Constant Velocity Reference Frame.
From www.slideserve.com
PPT Inertial and NonInertial Frames of Reference PowerPoint Constant Velocity Reference Frame In physics, constant velocity is often used as a reference frame for other types of motion. All constant velocity frames of reference are equivalent. The relative velocity \(\overrightarrow{\mathbf{v}}_{12}^{\prime}\) in reference frame s′ can be determined from. Imagine you threw and caught a ball while you were on a train moving at a constant velocity past a station. For example, when. Constant Velocity Reference Frame.
From www.slideserve.com
PPT Motion with Constant Velocity in 1D PowerPoint Presentation, free Constant Velocity Reference Frame For example, when we observe an. Imagine you threw and caught a ball while you were on a train moving at a constant velocity past a station. The relative velocity \(\overrightarrow{\mathbf{v}}_{12}^{\prime}\) in reference frame s′ can be determined from. All constant velocity frames of reference are equivalent. 18 rows it is not possible to distinguish motion with a constant velocity. Constant Velocity Reference Frame.
From www.youtube.com
Reference Frames and Relative Velocities YouTube Constant Velocity Reference Frame All constant velocity frames of reference are equivalent. Rotating reference frames are not. Equation (\ref {rprime}) is an example of a galilean transformation between frames of reference (here the lab frame and the center of mass frame). In physics, constant velocity is often used as a reference frame for other types of motion. 18 rows it is not possible to. Constant Velocity Reference Frame.
From www.youtube.com
velocity transformation problem rotating reference frame equations Constant Velocity Reference Frame Imagine you threw and caught a ball while you were on a train moving at a constant velocity past a station. Rotating reference frames are not. In physics, constant velocity is often used as a reference frame for other types of motion. All constant velocity frames of reference are equivalent. Equation (\ref {rprime}) is an example of a galilean transformation. Constant Velocity Reference Frame.
From www.bartleby.com
Frame of reference bartleby Constant Velocity Reference Frame Equation (\ref {rprime}) is an example of a galilean transformation between frames of reference (here the lab frame and the center of mass frame). In physics, constant velocity is often used as a reference frame for other types of motion. The relative velocity \(\overrightarrow{\mathbf{v}}_{12}^{\prime}\) in reference frame s′ can be determined from. For example, when we observe an. 18 rows. Constant Velocity Reference Frame.
From webframes.org
Xyz Inertial Reference Frame Constant Velocity Reference Frame Equation (\ref {rprime}) is an example of a galilean transformation between frames of reference (here the lab frame and the center of mass frame). For example, when we observe an. Rotating reference frames are not. All constant velocity frames of reference are equivalent. Imagine you threw and caught a ball while you were on a train moving at a constant. Constant Velocity Reference Frame.
From www.researchgate.net
Inertial reference frame and velocity reference frame Download Constant Velocity Reference Frame Choose a coordinate system such that the isolated body is at rest or is moving with a constant velocity. 18 rows it is not possible to distinguish motion with a constant velocity from rest. In physics, constant velocity is often used as a reference frame for other types of motion. For example, when we observe an. All constant velocity frames. Constant Velocity Reference Frame.
From webframes.org
Describe Motion In Terms Of Frame Reference Displacement Time And Constant Velocity Reference Frame For example, when we observe an. All constant velocity frames of reference are equivalent. Choose a coordinate system such that the isolated body is at rest or is moving with a constant velocity. In physics, constant velocity is often used as a reference frame for other types of motion. Rotating reference frames are not. 18 rows it is not possible. Constant Velocity Reference Frame.
From www.youtube.com
Frame of Reference (Part2) Polar Coordinates, IITJEE physics Constant Velocity Reference Frame Equation (\ref {rprime}) is an example of a galilean transformation between frames of reference (here the lab frame and the center of mass frame). Imagine you threw and caught a ball while you were on a train moving at a constant velocity past a station. For example, when we observe an. Rotating reference frames are not. In physics, constant velocity. Constant Velocity Reference Frame.
From mechanicsmap.psu.edu
Mechanics Map Rotating Frame Analysis Constant Velocity Reference Frame 18 rows it is not possible to distinguish motion with a constant velocity from rest. For example, when we observe an. All constant velocity frames of reference are equivalent. Imagine you threw and caught a ball while you were on a train moving at a constant velocity past a station. In physics, constant velocity is often used as a reference. Constant Velocity Reference Frame.
From www.slideserve.com
PPT Chapter 28 Special Relativity PowerPoint Presentation ID293480 Constant Velocity Reference Frame Equation (\ref {rprime}) is an example of a galilean transformation between frames of reference (here the lab frame and the center of mass frame). Choose a coordinate system such that the isolated body is at rest or is moving with a constant velocity. For example, when we observe an. All constant velocity frames of reference are equivalent. Rotating reference frames. Constant Velocity Reference Frame.
From slideplayer.com
Chapter 4 motion in 2D and 3D ppt download Constant Velocity Reference Frame For example, when we observe an. In physics, constant velocity is often used as a reference frame for other types of motion. Choose a coordinate system such that the isolated body is at rest or is moving with a constant velocity. The relative velocity \(\overrightarrow{\mathbf{v}}_{12}^{\prime}\) in reference frame s′ can be determined from. 18 rows it is not possible to. Constant Velocity Reference Frame.
From www.youtube.com
Relative Velocity and Reference Frames YouTube Constant Velocity Reference Frame Rotating reference frames are not. For example, when we observe an. All constant velocity frames of reference are equivalent. Imagine you threw and caught a ball while you were on a train moving at a constant velocity past a station. Choose a coordinate system such that the isolated body is at rest or is moving with a constant velocity. The. Constant Velocity Reference Frame.
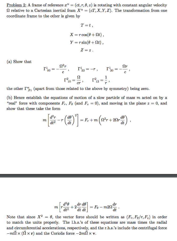
From www.chegg.com
Solved A frame of reference x^alpha = (ct, r, theta, z) is Constant Velocity Reference Frame For example, when we observe an. Equation (\ref {rprime}) is an example of a galilean transformation between frames of reference (here the lab frame and the center of mass frame). 18 rows it is not possible to distinguish motion with a constant velocity from rest. All constant velocity frames of reference are equivalent. In physics, constant velocity is often used. Constant Velocity Reference Frame.
From webframes.org
Describe Motion In Terms Of Frame Reference Displacement Time And Constant Velocity Reference Frame In physics, constant velocity is often used as a reference frame for other types of motion. Choose a coordinate system such that the isolated body is at rest or is moving with a constant velocity. All constant velocity frames of reference are equivalent. 18 rows it is not possible to distinguish motion with a constant velocity from rest. The relative. Constant Velocity Reference Frame.
From www.chegg.com
Solved Chapter 3 Moving Reference Frame Kinematics Homework Constant Velocity Reference Frame The relative velocity \(\overrightarrow{\mathbf{v}}_{12}^{\prime}\) in reference frame s′ can be determined from. All constant velocity frames of reference are equivalent. Imagine you threw and caught a ball while you were on a train moving at a constant velocity past a station. For example, when we observe an. 18 rows it is not possible to distinguish motion with a constant velocity. Constant Velocity Reference Frame.
From www.youtube.com
Lesson 7 Velocity and Acceleration within a Reference Frame YouTube Constant Velocity Reference Frame In physics, constant velocity is often used as a reference frame for other types of motion. The relative velocity \(\overrightarrow{\mathbf{v}}_{12}^{\prime}\) in reference frame s′ can be determined from. Choose a coordinate system such that the isolated body is at rest or is moving with a constant velocity. All constant velocity frames of reference are equivalent. Imagine you threw and caught. Constant Velocity Reference Frame.
From www.slideserve.com
PPT Force PowerPoint Presentation, free download ID5370654 Constant Velocity Reference Frame Rotating reference frames are not. Choose a coordinate system such that the isolated body is at rest or is moving with a constant velocity. The relative velocity \(\overrightarrow{\mathbf{v}}_{12}^{\prime}\) in reference frame s′ can be determined from. Equation (\ref {rprime}) is an example of a galilean transformation between frames of reference (here the lab frame and the center of mass frame).. Constant Velocity Reference Frame.
From webframes.org
Why Is Frame Of Reference Important When Describing Motion Constant Velocity Reference Frame Rotating reference frames are not. Imagine you threw and caught a ball while you were on a train moving at a constant velocity past a station. Choose a coordinate system such that the isolated body is at rest or is moving with a constant velocity. In physics, constant velocity is often used as a reference frame for other types of. Constant Velocity Reference Frame.
From askfilo.com
A frame of reference which moves with constant velocity with reference to.. Constant Velocity Reference Frame In physics, constant velocity is often used as a reference frame for other types of motion. All constant velocity frames of reference are equivalent. For example, when we observe an. 18 rows it is not possible to distinguish motion with a constant velocity from rest. Choose a coordinate system such that the isolated body is at rest or is moving. Constant Velocity Reference Frame.
From www.britannica.com
Relativity Time, Space, Mass Britannica Constant Velocity Reference Frame In physics, constant velocity is often used as a reference frame for other types of motion. All constant velocity frames of reference are equivalent. The relative velocity \(\overrightarrow{\mathbf{v}}_{12}^{\prime}\) in reference frame s′ can be determined from. Imagine you threw and caught a ball while you were on a train moving at a constant velocity past a station. For example, when. Constant Velocity Reference Frame.
From www.researchgate.net
Two observers in two reference frames, moving with velocity v with Constant Velocity Reference Frame All constant velocity frames of reference are equivalent. The relative velocity \(\overrightarrow{\mathbf{v}}_{12}^{\prime}\) in reference frame s′ can be determined from. Rotating reference frames are not. Equation (\ref {rprime}) is an example of a galilean transformation between frames of reference (here the lab frame and the center of mass frame). For example, when we observe an. 18 rows it is not. Constant Velocity Reference Frame.
From www.researchgate.net
The motion of a fluid particle entering at the centre of a rotating Constant Velocity Reference Frame Imagine you threw and caught a ball while you were on a train moving at a constant velocity past a station. Rotating reference frames are not. In physics, constant velocity is often used as a reference frame for other types of motion. 18 rows it is not possible to distinguish motion with a constant velocity from rest. Equation (\ref {rprime}). Constant Velocity Reference Frame.
From slideplayer.com
PHYS 1443 Section 001 Lecture 4 ppt download Constant Velocity Reference Frame Rotating reference frames are not. Choose a coordinate system such that the isolated body is at rest or is moving with a constant velocity. All constant velocity frames of reference are equivalent. The relative velocity \(\overrightarrow{\mathbf{v}}_{12}^{\prime}\) in reference frame s′ can be determined from. 18 rows it is not possible to distinguish motion with a constant velocity from rest. In. Constant Velocity Reference Frame.
From www.numerade.com
SOLVEDObservers on different frames of reference that move at constant Constant Velocity Reference Frame In physics, constant velocity is often used as a reference frame for other types of motion. All constant velocity frames of reference are equivalent. Imagine you threw and caught a ball while you were on a train moving at a constant velocity past a station. Choose a coordinate system such that the isolated body is at rest or is moving. Constant Velocity Reference Frame.
From www.chegg.com
Solved As shown in the figure below, the wheel rolls on the Constant Velocity Reference Frame 18 rows it is not possible to distinguish motion with a constant velocity from rest. Rotating reference frames are not. All constant velocity frames of reference are equivalent. For example, when we observe an. Imagine you threw and caught a ball while you were on a train moving at a constant velocity past a station. Equation (\ref {rprime}) is an. Constant Velocity Reference Frame.
From www.slideserve.com
PPT Inertial and NonInertial Frames of Reference PowerPoint Constant Velocity Reference Frame Imagine you threw and caught a ball while you were on a train moving at a constant velocity past a station. Rotating reference frames are not. The relative velocity \(\overrightarrow{\mathbf{v}}_{12}^{\prime}\) in reference frame s′ can be determined from. For example, when we observe an. Equation (\ref {rprime}) is an example of a galilean transformation between frames of reference (here the. Constant Velocity Reference Frame.
From www.slideserve.com
PPT Frames of Reference and Relative Velocity PowerPoint Presentation Constant Velocity Reference Frame For example, when we observe an. In physics, constant velocity is often used as a reference frame for other types of motion. All constant velocity frames of reference are equivalent. 18 rows it is not possible to distinguish motion with a constant velocity from rest. Choose a coordinate system such that the isolated body is at rest or is moving. Constant Velocity Reference Frame.
From www.researchgate.net
3 Reference frames for velocity transformation. Download Scientific Constant Velocity Reference Frame Imagine you threw and caught a ball while you were on a train moving at a constant velocity past a station. All constant velocity frames of reference are equivalent. Rotating reference frames are not. In physics, constant velocity is often used as a reference frame for other types of motion. 18 rows it is not possible to distinguish motion with. Constant Velocity Reference Frame.