Do Tires Insulate From Lightning . Tires don’t protect you from lightning. the national weather service says of the notion that rubber tires or shoe soles will protect you from lightning. do the rubber tires on your car protect you if you are outside the car and you're leaning on it? while you can be safe in a car in a lightning storm, it is not because of the tires. Like trees, houses, and people, anything outside. The rubber of a tire functions as an insulator at low voltages,. car tires do not protect against lightning strikes. yes, rubber is indeed an electrical insulator, but your shoes or bike tires, for instance, are way too thin to protect you from a lightning strike. While rubber is an electrical insulator, it's a misconception that rubber tires protect against. A metal body protects you from lightning strikes. Rubber tires do act as an insulator. rubber tires won't protect you. it's a common statement that passengers of a car are protected from lightening while inside because the car has rubber tires (which are insulators). yes, the tires are electrical insulators, but (a) lightning packs a serious punch and even insulators conduct electricity if there’s enough of it and (b) the insulating ability only gives the tires some protection, not the car itself.
from www.numerade.com
car tires do not protect against lightning strikes. yes, rubber is indeed an electrical insulator, but your shoes or bike tires, for instance, are way too thin to protect you from a lightning strike. it's a common statement that passengers of a car are protected from lightening while inside because the car has rubber tires (which are insulators). While rubber is an electrical insulator, it's a misconception that rubber tires protect against. rubber tires won't protect you. Rubber tires do act as an insulator. do the rubber tires on your car protect you if you are outside the car and you're leaning on it? Tires don’t protect you from lightning. Like trees, houses, and people, anything outside. yes, the tires are electrical insulators, but (a) lightning packs a serious punch and even insulators conduct electricity if there’s enough of it and (b) the insulating ability only gives the tires some protection, not the car itself.
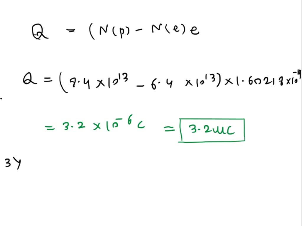
SOLVED (A) If the lightning bolt carries and average of 9.86kA of
Do Tires Insulate From Lightning while you can be safe in a car in a lightning storm, it is not because of the tires. it's a common statement that passengers of a car are protected from lightening while inside because the car has rubber tires (which are insulators). Like trees, houses, and people, anything outside. rubber tires won't protect you. Tires don’t protect you from lightning. do the rubber tires on your car protect you if you are outside the car and you're leaning on it? A metal body protects you from lightning strikes. While rubber is an electrical insulator, it's a misconception that rubber tires protect against. yes, rubber is indeed an electrical insulator, but your shoes or bike tires, for instance, are way too thin to protect you from a lightning strike. the national weather service says of the notion that rubber tires or shoe soles will protect you from lightning. while you can be safe in a car in a lightning storm, it is not because of the tires. yes, the tires are electrical insulators, but (a) lightning packs a serious punch and even insulators conduct electricity if there’s enough of it and (b) the insulating ability only gives the tires some protection, not the car itself. Rubber tires do act as an insulator. The rubber of a tire functions as an insulator at low voltages,. car tires do not protect against lightning strikes.
From www.tdi.texas.gov
Will your car’s rubber tires keep you safe from a lightning strike? Do Tires Insulate From Lightning it's a common statement that passengers of a car are protected from lightening while inside because the car has rubber tires (which are insulators). car tires do not protect against lightning strikes. The rubber of a tire functions as an insulator at low voltages,. A metal body protects you from lightning strikes. the national weather service says. Do Tires Insulate From Lightning.
From www.youtube.com
How to tell if you need new tires? Do tires expire? When to replace Do Tires Insulate From Lightning the national weather service says of the notion that rubber tires or shoe soles will protect you from lightning. it's a common statement that passengers of a car are protected from lightening while inside because the car has rubber tires (which are insulators). car tires do not protect against lightning strikes. Like trees, houses, and people, anything. Do Tires Insulate From Lightning.
From www.reddit.com
Tires (when wet) don't always insulate your car from grounding out when Do Tires Insulate From Lightning Tires don’t protect you from lightning. The rubber of a tire functions as an insulator at low voltages,. the national weather service says of the notion that rubber tires or shoe soles will protect you from lightning. do the rubber tires on your car protect you if you are outside the car and you're leaning on it? . Do Tires Insulate From Lightning.
From www.vanpimps.co.uk
A Step By Step Guide Sound Deaden And Insulate Your Van VanPimps Do Tires Insulate From Lightning A metal body protects you from lightning strikes. Like trees, houses, and people, anything outside. rubber tires won't protect you. The rubber of a tire functions as an insulator at low voltages,. yes, rubber is indeed an electrical insulator, but your shoes or bike tires, for instance, are way too thin to protect you from a lightning strike.. Do Tires Insulate From Lightning.
From retail.wonderlandtire.com
Bulge in Tire Sidewall Causes, Solutions, & Prevention Blog Do Tires Insulate From Lightning do the rubber tires on your car protect you if you are outside the car and you're leaning on it? The rubber of a tire functions as an insulator at low voltages,. While rubber is an electrical insulator, it's a misconception that rubber tires protect against. Rubber tires do act as an insulator. Like trees, houses, and people, anything. Do Tires Insulate From Lightning.
From 9to5science.com
[Solved] Does rubber insulate lightning more effectively 9to5Science Do Tires Insulate From Lightning Like trees, houses, and people, anything outside. Tires don’t protect you from lightning. it's a common statement that passengers of a car are protected from lightening while inside because the car has rubber tires (which are insulators). the national weather service says of the notion that rubber tires or shoe soles will protect you from lightning. A metal. Do Tires Insulate From Lightning.
From dxojfvmdp.blob.core.windows.net
Can Rubber Insulate Lightning at Dennis Curtis blog Do Tires Insulate From Lightning yes, rubber is indeed an electrical insulator, but your shoes or bike tires, for instance, are way too thin to protect you from a lightning strike. do the rubber tires on your car protect you if you are outside the car and you're leaning on it? Like trees, houses, and people, anything outside. it's a common statement. Do Tires Insulate From Lightning.
From dxojfvmdp.blob.core.windows.net
Can Rubber Insulate Lightning at Dennis Curtis blog Do Tires Insulate From Lightning Rubber tires do act as an insulator. A metal body protects you from lightning strikes. yes, rubber is indeed an electrical insulator, but your shoes or bike tires, for instance, are way too thin to protect you from a lightning strike. The rubber of a tire functions as an insulator at low voltages,. it's a common statement that. Do Tires Insulate From Lightning.
From www.numerade.com
SOLVED (A) If the lightning bolt carries and average of 9.86kA of Do Tires Insulate From Lightning yes, the tires are electrical insulators, but (a) lightning packs a serious punch and even insulators conduct electricity if there’s enough of it and (b) the insulating ability only gives the tires some protection, not the car itself. The rubber of a tire functions as an insulator at low voltages,. Tires don’t protect you from lightning. the national. Do Tires Insulate From Lightning.
From wheelapex.com
Why Do Car Tires Protect You From Lightning Strikes? Best 3 Tricks Do Tires Insulate From Lightning yes, rubber is indeed an electrical insulator, but your shoes or bike tires, for instance, are way too thin to protect you from a lightning strike. rubber tires won't protect you. car tires do not protect against lightning strikes. The rubber of a tire functions as an insulator at low voltages,. do the rubber tires on. Do Tires Insulate From Lightning.
From www.tireagent.com
What Are Tire Sipes and When Should You Do Tire Siping Tire Agent Do Tires Insulate From Lightning A metal body protects you from lightning strikes. car tires do not protect against lightning strikes. yes, rubber is indeed an electrical insulator, but your shoes or bike tires, for instance, are way too thin to protect you from a lightning strike. while you can be safe in a car in a lightning storm, it is not. Do Tires Insulate From Lightning.
From dxojfvmdp.blob.core.windows.net
Can Rubber Insulate Lightning at Dennis Curtis blog Do Tires Insulate From Lightning While rubber is an electrical insulator, it's a misconception that rubber tires protect against. yes, the tires are electrical insulators, but (a) lightning packs a serious punch and even insulators conduct electricity if there’s enough of it and (b) the insulating ability only gives the tires some protection, not the car itself. car tires do not protect against. Do Tires Insulate From Lightning.
From www.autotrader.ca
Lesson Learned Here’s What Happens When Lightning Strikes Your Car Do Tires Insulate From Lightning Like trees, houses, and people, anything outside. rubber tires won't protect you. while you can be safe in a car in a lightning storm, it is not because of the tires. yes, rubber is indeed an electrical insulator, but your shoes or bike tires, for instance, are way too thin to protect you from a lightning strike.. Do Tires Insulate From Lightning.
From tiretim.com
Do Tires Expire? (how to know when tires are too old to use safely) Do Tires Insulate From Lightning it's a common statement that passengers of a car are protected from lightening while inside because the car has rubber tires (which are insulators). yes, rubber is indeed an electrical insulator, but your shoes or bike tires, for instance, are way too thin to protect you from a lightning strike. Rubber tires do act as an insulator. A. Do Tires Insulate From Lightning.
From wheelsadviser.com
Do Car Tires Lose Air In Cold Weather? Do Tires Insulate From Lightning do the rubber tires on your car protect you if you are outside the car and you're leaning on it? Like trees, houses, and people, anything outside. the national weather service says of the notion that rubber tires or shoe soles will protect you from lightning. A metal body protects you from lightning strikes. it's a common. Do Tires Insulate From Lightning.
From tirehubz.com
The Science Behind Tire Pressure How Do Tires Hold Air? Do Tires Insulate From Lightning Tires don’t protect you from lightning. rubber tires won't protect you. Like trees, houses, and people, anything outside. the national weather service says of the notion that rubber tires or shoe soles will protect you from lightning. yes, rubber is indeed an electrical insulator, but your shoes or bike tires, for instance, are way too thin to. Do Tires Insulate From Lightning.
From weather.com
Do Your Car Tires Keep You Safe From A Lightning Strike? Videos from Do Tires Insulate From Lightning while you can be safe in a car in a lightning storm, it is not because of the tires. do the rubber tires on your car protect you if you are outside the car and you're leaning on it? it's a common statement that passengers of a car are protected from lightening while inside because the car. Do Tires Insulate From Lightning.
From www.autotrader.ca
Lesson Learned Here’s What Happens When Lightning Strikes Your Car Do Tires Insulate From Lightning yes, the tires are electrical insulators, but (a) lightning packs a serious punch and even insulators conduct electricity if there’s enough of it and (b) the insulating ability only gives the tires some protection, not the car itself. While rubber is an electrical insulator, it's a misconception that rubber tires protect against. The rubber of a tire functions as. Do Tires Insulate From Lightning.
From wheelapex.com
Do Car Tires Protect You From Lightning? 3 Best Helpful Do Tires Insulate From Lightning Tires don’t protect you from lightning. yes, rubber is indeed an electrical insulator, but your shoes or bike tires, for instance, are way too thin to protect you from a lightning strike. car tires do not protect against lightning strikes. do the rubber tires on your car protect you if you are outside the car and you're. Do Tires Insulate From Lightning.
From www.carsome.my
Do Car Tires Expire & How to Check Your Car Tire Expiry Date Do Tires Insulate From Lightning while you can be safe in a car in a lightning storm, it is not because of the tires. Tires don’t protect you from lightning. yes, the tires are electrical insulators, but (a) lightning packs a serious punch and even insulators conduct electricity if there’s enough of it and (b) the insulating ability only gives the tires some. Do Tires Insulate From Lightning.
From studylib.net
Lightning Protection Do Tires Insulate From Lightning yes, the tires are electrical insulators, but (a) lightning packs a serious punch and even insulators conduct electricity if there’s enough of it and (b) the insulating ability only gives the tires some protection, not the car itself. The rubber of a tire functions as an insulator at low voltages,. yes, rubber is indeed an electrical insulator, but. Do Tires Insulate From Lightning.
From dxotvfesa.blob.core.windows.net
Do Rubber Tires Protect You From Lightning at Mary Bulloch blog Do Tires Insulate From Lightning do the rubber tires on your car protect you if you are outside the car and you're leaning on it? A metal body protects you from lightning strikes. While rubber is an electrical insulator, it's a misconception that rubber tires protect against. it's a common statement that passengers of a car are protected from lightening while inside because. Do Tires Insulate From Lightning.
From www.reddit.com
TIL The myth that vehicles provide protection from lightning due to the Do Tires Insulate From Lightning yes, rubber is indeed an electrical insulator, but your shoes or bike tires, for instance, are way too thin to protect you from a lightning strike. it's a common statement that passengers of a car are protected from lightening while inside because the car has rubber tires (which are insulators). A metal body protects you from lightning strikes.. Do Tires Insulate From Lightning.
From www.vanpimps.co.uk
A Step By Step Guide Sound Deaden And Insulate Your Van VanPimps Do Tires Insulate From Lightning While rubber is an electrical insulator, it's a misconception that rubber tires protect against. A metal body protects you from lightning strikes. Tires don’t protect you from lightning. while you can be safe in a car in a lightning storm, it is not because of the tires. Rubber tires do act as an insulator. do the rubber tires. Do Tires Insulate From Lightning.
From www.lightningstuddedtires.com
Lightning Studded Tires Do Tires Insulate From Lightning yes, the tires are electrical insulators, but (a) lightning packs a serious punch and even insulators conduct electricity if there’s enough of it and (b) the insulating ability only gives the tires some protection, not the car itself. Tires don’t protect you from lightning. Rubber tires do act as an insulator. A metal body protects you from lightning strikes.. Do Tires Insulate From Lightning.
From viaterra.mx
Total 86+ imagen can cars get struck by lightning Viaterra.mx Do Tires Insulate From Lightning rubber tires won't protect you. Like trees, houses, and people, anything outside. it's a common statement that passengers of a car are protected from lightening while inside because the car has rubber tires (which are insulators). The rubber of a tire functions as an insulator at low voltages,. the national weather service says of the notion that. Do Tires Insulate From Lightning.
From www.f150lightningforum.com
AllSeason tires vs AllTerrain tires comparison on F150 Lightning Do Tires Insulate From Lightning The rubber of a tire functions as an insulator at low voltages,. car tires do not protect against lightning strikes. do the rubber tires on your car protect you if you are outside the car and you're leaning on it? A metal body protects you from lightning strikes. Rubber tires do act as an insulator. it's a. Do Tires Insulate From Lightning.
From weather.com
Do Your Car Tires Keep You Safe From A Lightning Strike? Videos from Do Tires Insulate From Lightning yes, rubber is indeed an electrical insulator, but your shoes or bike tires, for instance, are way too thin to protect you from a lightning strike. car tires do not protect against lightning strikes. Like trees, houses, and people, anything outside. yes, the tires are electrical insulators, but (a) lightning packs a serious punch and even insulators. Do Tires Insulate From Lightning.
From slideplayer.com
"If you can see it (lightning), flee it (take shelter)." "If you can Do Tires Insulate From Lightning yes, rubber is indeed an electrical insulator, but your shoes or bike tires, for instance, are way too thin to protect you from a lightning strike. While rubber is an electrical insulator, it's a misconception that rubber tires protect against. yes, the tires are electrical insulators, but (a) lightning packs a serious punch and even insulators conduct electricity. Do Tires Insulate From Lightning.
From www.scienceabc.com
Can You Get Struck By Lightning In A Car? Do Tires Insulate From Lightning rubber tires won't protect you. yes, the tires are electrical insulators, but (a) lightning packs a serious punch and even insulators conduct electricity if there’s enough of it and (b) the insulating ability only gives the tires some protection, not the car itself. A metal body protects you from lightning strikes. yes, rubber is indeed an electrical. Do Tires Insulate From Lightning.
From exonuorsi.blob.core.windows.net
Best Insulation For Home Attic at Thomas Buchanan blog Do Tires Insulate From Lightning The rubber of a tire functions as an insulator at low voltages,. while you can be safe in a car in a lightning storm, it is not because of the tires. yes, the tires are electrical insulators, but (a) lightning packs a serious punch and even insulators conduct electricity if there’s enough of it and (b) the insulating. Do Tires Insulate From Lightning.
From investguiding.com
How to stay safe in your car during a thunder and lightning storm (2024) Do Tires Insulate From Lightning it's a common statement that passengers of a car are protected from lightening while inside because the car has rubber tires (which are insulators). the national weather service says of the notion that rubber tires or shoe soles will protect you from lightning. rubber tires won't protect you. The rubber of a tire functions as an insulator. Do Tires Insulate From Lightning.
From www.arnoldclark.com
How to stay safe in your car during a thunder and lightning storm Do Tires Insulate From Lightning A metal body protects you from lightning strikes. while you can be safe in a car in a lightning storm, it is not because of the tires. yes, the tires are electrical insulators, but (a) lightning packs a serious punch and even insulators conduct electricity if there’s enough of it and (b) the insulating ability only gives the. Do Tires Insulate From Lightning.
From www.thompsonsales.com
Lightning Safety & Your Vehicle blog by Thompson Sales Do Tires Insulate From Lightning While rubber is an electrical insulator, it's a misconception that rubber tires protect against. The rubber of a tire functions as an insulator at low voltages,. Like trees, houses, and people, anything outside. car tires do not protect against lightning strikes. yes, the tires are electrical insulators, but (a) lightning packs a serious punch and even insulators conduct. Do Tires Insulate From Lightning.
From housepractical.com
Is Rubber An Insulator or a Conductor? [With Examples] House Practical Do Tires Insulate From Lightning A metal body protects you from lightning strikes. yes, rubber is indeed an electrical insulator, but your shoes or bike tires, for instance, are way too thin to protect you from a lightning strike. the national weather service says of the notion that rubber tires or shoe soles will protect you from lightning. do the rubber tires. Do Tires Insulate From Lightning.