I Can Throw A Football A Quarter Mile . How much you wanna make a bet i can throw a. If coach woulda put me in fourth. “back in ’82, i used to be able to throw a pigskin a quarter mile. How does uncle rico express his regret about his high school football career? “back in ’82, i used to be able to throw a pigskin a quarter mile.” “how much you wanna make a bet i can throw a football over them mountains?” “i’m dead serious.
from imgflip.com
If coach woulda put me in fourth. How much you wanna make a bet i can throw a. “back in ’82, i used to be able to throw a pigskin a quarter mile.” “how much you wanna make a bet i can throw a football over them mountains?” “i’m dead serious. How does uncle rico express his regret about his high school football career? “back in ’82, i used to be able to throw a pigskin a quarter mile.
Imgflip
I Can Throw A Football A Quarter Mile If coach woulda put me in fourth. “back in ’82, i used to be able to throw a pigskin a quarter mile. “back in ’82, i used to be able to throw a pigskin a quarter mile.” “how much you wanna make a bet i can throw a football over them mountains?” “i’m dead serious. How much you wanna make a bet i can throw a. How does uncle rico express his regret about his high school football career? If coach woulda put me in fourth.
From printerval.com
The Fast And The Furious Quote I Live My Life A Quarter Mile At A I Can Throw A Football A Quarter Mile How much you wanna make a bet i can throw a. “back in ’82, i used to be able to throw a pigskin a quarter mile. “back in ’82, i used to be able to throw a pigskin a quarter mile.” “how much you wanna make a bet i can throw a football over them mountains?” “i’m dead serious. How. I Can Throw A Football A Quarter Mile.
From ar.inspiredpencil.com
Quarterback Throwing A Football I Can Throw A Football A Quarter Mile How much you wanna make a bet i can throw a. How does uncle rico express his regret about his high school football career? “back in ’82, i used to be able to throw a pigskin a quarter mile.” “how much you wanna make a bet i can throw a football over them mountains?” “i’m dead serious. “back in ’82,. I Can Throw A Football A Quarter Mile.
From ar.inspiredpencil.com
Quarterback Throwing A Football I Can Throw A Football A Quarter Mile “back in ’82, i used to be able to throw a pigskin a quarter mile. How does uncle rico express his regret about his high school football career? “back in ’82, i used to be able to throw a pigskin a quarter mile.” “how much you wanna make a bet i can throw a football over them mountains?” “i’m dead. I Can Throw A Football A Quarter Mile.
From www.sharpfootballanalysis.com
Throwing Metrics Around Comparing Quarterback Value Statistics Sharp I Can Throw A Football A Quarter Mile How does uncle rico express his regret about his high school football career? “back in ’82, i used to be able to throw a pigskin a quarter mile.” “how much you wanna make a bet i can throw a football over them mountains?” “i’m dead serious. “back in ’82, i used to be able to throw a pigskin a quarter. I Can Throw A Football A Quarter Mile.
From doubleclutchuk.bigcartel.com
I Live My Life A Quarter Mile At A Time Double Clutch UK I Can Throw A Football A Quarter Mile “back in ’82, i used to be able to throw a pigskin a quarter mile.” “how much you wanna make a bet i can throw a football over them mountains?” “i’m dead serious. How does uncle rico express his regret about his high school football career? “back in ’82, i used to be able to throw a pigskin a quarter. I Can Throw A Football A Quarter Mile.
From www.wattpad.com
Quarter mile// Han Lue I Wattpad I Can Throw A Football A Quarter Mile How does uncle rico express his regret about his high school football career? How much you wanna make a bet i can throw a. “back in ’82, i used to be able to throw a pigskin a quarter mile. “back in ’82, i used to be able to throw a pigskin a quarter mile.” “how much you wanna make a. I Can Throw A Football A Quarter Mile.
From www.pinterest.com
Quarter Mile Quilts And the race is on... Kentucky Derby Quilt Finish I Can Throw A Football A Quarter Mile “back in ’82, i used to be able to throw a pigskin a quarter mile.” “how much you wanna make a bet i can throw a football over them mountains?” “i’m dead serious. How much you wanna make a bet i can throw a. If coach woulda put me in fourth. How does uncle rico express his regret about his. I Can Throw A Football A Quarter Mile.
From ar.inspiredpencil.com
Uncle Rico Meme I Can Throw A Football A Quarter Mile “back in ’82, i used to be able to throw a pigskin a quarter mile. If coach woulda put me in fourth. “back in ’82, i used to be able to throw a pigskin a quarter mile.” “how much you wanna make a bet i can throw a football over them mountains?” “i’m dead serious. How much you wanna make. I Can Throw A Football A Quarter Mile.
From www.simcoe.com
Quartermile heroines I Can Throw A Football A Quarter Mile If coach woulda put me in fourth. “back in ’82, i used to be able to throw a pigskin a quarter mile. “back in ’82, i used to be able to throw a pigskin a quarter mile.” “how much you wanna make a bet i can throw a football over them mountains?” “i’m dead serious. How much you wanna make. I Can Throw A Football A Quarter Mile.
From distinctpins.com
The Fast and The Furious 'I Live My Life a Quarter Mile at a Time I Can Throw A Football A Quarter Mile How much you wanna make a bet i can throw a. If coach woulda put me in fourth. “back in ’82, i used to be able to throw a pigskin a quarter mile. How does uncle rico express his regret about his high school football career? “back in ’82, i used to be able to throw a pigskin a quarter. I Can Throw A Football A Quarter Mile.
From www.nascar.com
nascarcasm How short is a quarter mile? NASCAR I Can Throw A Football A Quarter Mile How does uncle rico express his regret about his high school football career? If coach woulda put me in fourth. “back in ’82, i used to be able to throw a pigskin a quarter mile.” “how much you wanna make a bet i can throw a football over them mountains?” “i’m dead serious. “back in ’82, i used to be. I Can Throw A Football A Quarter Mile.
From pxhere.com
Bildet lær, spille, mann, ung, grønn, ungdom, Fotball, stadion I Can Throw A Football A Quarter Mile If coach woulda put me in fourth. How does uncle rico express his regret about his high school football career? How much you wanna make a bet i can throw a. “back in ’82, i used to be able to throw a pigskin a quarter mile. “back in ’82, i used to be able to throw a pigskin a quarter. I Can Throw A Football A Quarter Mile.
From printerval.com
I Live My Life A Quarter Mile At A Time Fast And The Furious .jp Long I Can Throw A Football A Quarter Mile If coach woulda put me in fourth. “back in ’82, i used to be able to throw a pigskin a quarter mile. How does uncle rico express his regret about his high school football career? How much you wanna make a bet i can throw a. “back in ’82, i used to be able to throw a pigskin a quarter. I Can Throw A Football A Quarter Mile.
From www.numerade.com
Drag racer acceleration The fastest drag racers can reach a speed of I Can Throw A Football A Quarter Mile How does uncle rico express his regret about his high school football career? “back in ’82, i used to be able to throw a pigskin a quarter mile.” “how much you wanna make a bet i can throw a football over them mountains?” “i’m dead serious. If coach woulda put me in fourth. How much you wanna make a bet. I Can Throw A Football A Quarter Mile.
From www.reddit.com
Texans JJ Watt on Chiefs QB Patrick Mahomes "I know the kid’s got a I Can Throw A Football A Quarter Mile How does uncle rico express his regret about his high school football career? If coach woulda put me in fourth. “back in ’82, i used to be able to throw a pigskin a quarter mile.” “how much you wanna make a bet i can throw a football over them mountains?” “i’m dead serious. “back in ’82, i used to be. I Can Throw A Football A Quarter Mile.
From pixabay.com
フットボール クォーターバック 通過 Pixabayの無料写真 Pixabay I Can Throw A Football A Quarter Mile How much you wanna make a bet i can throw a. “back in ’82, i used to be able to throw a pigskin a quarter mile. “back in ’82, i used to be able to throw a pigskin a quarter mile.” “how much you wanna make a bet i can throw a football over them mountains?” “i’m dead serious. If. I Can Throw A Football A Quarter Mile.
From hxelgfemo.blob.core.windows.net
How Far Should I Be Able To Throw A Football at Brittany Wilson blog I Can Throw A Football A Quarter Mile If coach woulda put me in fourth. How does uncle rico express his regret about his high school football career? “back in ’82, i used to be able to throw a pigskin a quarter mile.” “how much you wanna make a bet i can throw a football over them mountains?” “i’m dead serious. How much you wanna make a bet. I Can Throw A Football A Quarter Mile.
From twitter.com
Super 70s Sports on Twitter "“How much you wanna make a bet I can I Can Throw A Football A Quarter Mile “back in ’82, i used to be able to throw a pigskin a quarter mile. “back in ’82, i used to be able to throw a pigskin a quarter mile.” “how much you wanna make a bet i can throw a football over them mountains?” “i’m dead serious. If coach woulda put me in fourth. How does uncle rico express. I Can Throw A Football A Quarter Mile.
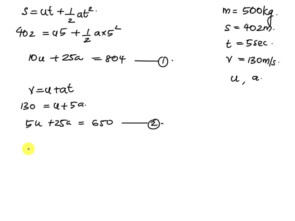
From www.numerade.com
A dragster drives a quarter mile (402 m) at a constant rate of I Can Throw A Football A Quarter Mile “back in ’82, i used to be able to throw a pigskin a quarter mile.” “how much you wanna make a bet i can throw a football over them mountains?” “i’m dead serious. How much you wanna make a bet i can throw a. How does uncle rico express his regret about his high school football career? “back in ’82,. I Can Throw A Football A Quarter Mile.
From imgflip.com
Imgflip I Can Throw A Football A Quarter Mile How does uncle rico express his regret about his high school football career? How much you wanna make a bet i can throw a. “back in ’82, i used to be able to throw a pigskin a quarter mile.” “how much you wanna make a bet i can throw a football over them mountains?” “i’m dead serious. If coach woulda. I Can Throw A Football A Quarter Mile.
From www.walmart.com
Fast Car Quote I Live My Life A Quarter Mile At A Time Gift Womens T I Can Throw A Football A Quarter Mile How much you wanna make a bet i can throw a. How does uncle rico express his regret about his high school football career? “back in ’82, i used to be able to throw a pigskin a quarter mile. “back in ’82, i used to be able to throw a pigskin a quarter mile.” “how much you wanna make a. I Can Throw A Football A Quarter Mile.
From www.artistshot.com
Fast & Furious Life At A Quarter Mile At A Time Word Stack Tank Top I Can Throw A Football A Quarter Mile How much you wanna make a bet i can throw a. If coach woulda put me in fourth. “back in ’82, i used to be able to throw a pigskin a quarter mile. “back in ’82, i used to be able to throw a pigskin a quarter mile.” “how much you wanna make a bet i can throw a football. I Can Throw A Football A Quarter Mile.
From www.alamy.com
Hand writing sign Drag Show. Concept meaning competitive event where I Can Throw A Football A Quarter Mile If coach woulda put me in fourth. “back in ’82, i used to be able to throw a pigskin a quarter mile. How does uncle rico express his regret about his high school football career? How much you wanna make a bet i can throw a. “back in ’82, i used to be able to throw a pigskin a quarter. I Can Throw A Football A Quarter Mile.
From ar.inspiredpencil.com
Phases Of Throwing A Football I Can Throw A Football A Quarter Mile “back in ’82, i used to be able to throw a pigskin a quarter mile. How does uncle rico express his regret about his high school football career? “back in ’82, i used to be able to throw a pigskin a quarter mile.” “how much you wanna make a bet i can throw a football over them mountains?” “i’m dead. I Can Throw A Football A Quarter Mile.
From www.reddit.com
Everyone is posting Brady memes🤷🏿 I can throw a football a quarter mile I Can Throw A Football A Quarter Mile How does uncle rico express his regret about his high school football career? “back in ’82, i used to be able to throw a pigskin a quarter mile.” “how much you wanna make a bet i can throw a football over them mountains?” “i’m dead serious. “back in ’82, i used to be able to throw a pigskin a quarter. I Can Throw A Football A Quarter Mile.
From www.teepublic.com
I Live My Life a Quarter Mile at a Time I Live My Life A Quarter Mile I Can Throw A Football A Quarter Mile If coach woulda put me in fourth. How much you wanna make a bet i can throw a. How does uncle rico express his regret about his high school football career? “back in ’82, i used to be able to throw a pigskin a quarter mile. “back in ’82, i used to be able to throw a pigskin a quarter. I Can Throw A Football A Quarter Mile.
From www.artofit.org
Quarter mile Artofit I Can Throw A Football A Quarter Mile If coach woulda put me in fourth. How does uncle rico express his regret about his high school football career? “back in ’82, i used to be able to throw a pigskin a quarter mile. “back in ’82, i used to be able to throw a pigskin a quarter mile.” “how much you wanna make a bet i can throw. I Can Throw A Football A Quarter Mile.
From www.theautopian.com
How A Man Used 'Thrust Engines' To Create The 'WARbike' Motorcycle I Can Throw A Football A Quarter Mile How much you wanna make a bet i can throw a. “back in ’82, i used to be able to throw a pigskin a quarter mile. “back in ’82, i used to be able to throw a pigskin a quarter mile.” “how much you wanna make a bet i can throw a football over them mountains?” “i’m dead serious. How. I Can Throw A Football A Quarter Mile.
From footballuniversity.org
Proper quarterback throwing mechanics Football University I Can Throw A Football A Quarter Mile “back in ’82, i used to be able to throw a pigskin a quarter mile.” “how much you wanna make a bet i can throw a football over them mountains?” “i’m dead serious. How does uncle rico express his regret about his high school football career? If coach woulda put me in fourth. “back in ’82, i used to be. I Can Throw A Football A Quarter Mile.
From www.alamy.com
Handwriting text Drag Show, Business overview competitive event where I Can Throw A Football A Quarter Mile If coach woulda put me in fourth. How much you wanna make a bet i can throw a. How does uncle rico express his regret about his high school football career? “back in ’82, i used to be able to throw a pigskin a quarter mile.” “how much you wanna make a bet i can throw a football over them. I Can Throw A Football A Quarter Mile.
From www.olyrun.com
How Long Does It Take To Run A Quarter Mile? OLYRUN I Can Throw A Football A Quarter Mile “back in ’82, i used to be able to throw a pigskin a quarter mile.” “how much you wanna make a bet i can throw a football over them mountains?” “i’m dead serious. If coach woulda put me in fourth. How does uncle rico express his regret about his high school football career? How much you wanna make a bet. I Can Throw A Football A Quarter Mile.
From www.kimtuck.com
How Many Feet Are In a Quarter Mile? I Can Throw A Football A Quarter Mile If coach woulda put me in fourth. “back in ’82, i used to be able to throw a pigskin a quarter mile. “back in ’82, i used to be able to throw a pigskin a quarter mile.” “how much you wanna make a bet i can throw a football over them mountains?” “i’m dead serious. How much you wanna make. I Can Throw A Football A Quarter Mile.
From www.businessinsider.com
How NFL Quarterbacks Throw Perfect Football Spirals Each Time I Can Throw A Football A Quarter Mile How does uncle rico express his regret about his high school football career? If coach woulda put me in fourth. “back in ’82, i used to be able to throw a pigskin a quarter mile.” “how much you wanna make a bet i can throw a football over them mountains?” “i’m dead serious. How much you wanna make a bet. I Can Throw A Football A Quarter Mile.
From touchdownwire.usatoday.com
The 20 QBs who have thrown the most interceptions in NFL history I Can Throw A Football A Quarter Mile How much you wanna make a bet i can throw a. How does uncle rico express his regret about his high school football career? “back in ’82, i used to be able to throw a pigskin a quarter mile. “back in ’82, i used to be able to throw a pigskin a quarter mile.” “how much you wanna make a. I Can Throw A Football A Quarter Mile.
From www.yourperformancelab.com
How NFL Quarterbacks Throw So Far I Can Throw A Football A Quarter Mile How does uncle rico express his regret about his high school football career? “back in ’82, i used to be able to throw a pigskin a quarter mile. “back in ’82, i used to be able to throw a pigskin a quarter mile.” “how much you wanna make a bet i can throw a football over them mountains?” “i’m dead. I Can Throw A Football A Quarter Mile.