Repulsive Electric Force Between Two Protons . If the two charges have the same signs, coulomb’s law gives a. the coulomb force is extraordinarily strong compared with the gravitational force, another basic force—but. coulomb's law states that the electrical force between two charged objects is directly proportional to the product of the quantity of. this means that the force between the particles is attractive. Learn in detail about the electrical force with the help of. the repulsive or attractive interaction between any two charged bodies is called an electric force. the magnitude of the electric force between two charges \(q_1\) and \(q_2\), with their centers separated by a distance \(r\), is given by the following equation:. state coulomb’s law in terms of how the electrostatic force changes with the distance between two objects.
from www.toppr.com
the coulomb force is extraordinarily strong compared with the gravitational force, another basic force—but. coulomb's law states that the electrical force between two charged objects is directly proportional to the product of the quantity of. the magnitude of the electric force between two charges \(q_1\) and \(q_2\), with their centers separated by a distance \(r\), is given by the following equation:. state coulomb’s law in terms of how the electrostatic force changes with the distance between two objects. If the two charges have the same signs, coulomb’s law gives a. Learn in detail about the electrical force with the help of. this means that the force between the particles is attractive. the repulsive or attractive interaction between any two charged bodies is called an electric force.
DJ V 2X IUL A proton is 1836 times heavier than an electron. If the
Repulsive Electric Force Between Two Protons If the two charges have the same signs, coulomb’s law gives a. the repulsive or attractive interaction between any two charged bodies is called an electric force. If the two charges have the same signs, coulomb’s law gives a. state coulomb’s law in terms of how the electrostatic force changes with the distance between two objects. the magnitude of the electric force between two charges \(q_1\) and \(q_2\), with their centers separated by a distance \(r\), is given by the following equation:. the coulomb force is extraordinarily strong compared with the gravitational force, another basic force—but. this means that the force between the particles is attractive. coulomb's law states that the electrical force between two charged objects is directly proportional to the product of the quantity of. Learn in detail about the electrical force with the help of.
From www.toppr.com
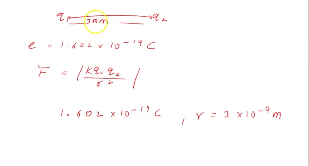
Find the electric force between two protons separated by a distance of Repulsive Electric Force Between Two Protons the magnitude of the electric force between two charges \(q_1\) and \(q_2\), with their centers separated by a distance \(r\), is given by the following equation:. state coulomb’s law in terms of how the electrostatic force changes with the distance between two objects. the coulomb force is extraordinarily strong compared with the gravitational force, another basic force—but.. Repulsive Electric Force Between Two Protons.
From www.numerade.com
SOLVED How large a force in N is the electrostatic repulsion between Repulsive Electric Force Between Two Protons the coulomb force is extraordinarily strong compared with the gravitational force, another basic force—but. Learn in detail about the electrical force with the help of. this means that the force between the particles is attractive. coulomb's law states that the electrical force between two charged objects is directly proportional to the product of the quantity of. . Repulsive Electric Force Between Two Protons.
From slideplayer.com
L 24 Electricity & [1] ppt download Repulsive Electric Force Between Two Protons Learn in detail about the electrical force with the help of. the repulsive or attractive interaction between any two charged bodies is called an electric force. state coulomb’s law in terms of how the electrostatic force changes with the distance between two objects. the coulomb force is extraordinarily strong compared with the gravitational force, another basic force—but.. Repulsive Electric Force Between Two Protons.
From www.numerade.com
SOLVED The magnitude of the electric force between two protons is 2 Repulsive Electric Force Between Two Protons state coulomb’s law in terms of how the electrostatic force changes with the distance between two objects. the repulsive or attractive interaction between any two charged bodies is called an electric force. coulomb's law states that the electrical force between two charged objects is directly proportional to the product of the quantity of. the magnitude of. Repulsive Electric Force Between Two Protons.
From www.youtube.com
Calculate the distance between two protons such that the electrical Repulsive Electric Force Between Two Protons state coulomb’s law in terms of how the electrostatic force changes with the distance between two objects. If the two charges have the same signs, coulomb’s law gives a. coulomb's law states that the electrical force between two charged objects is directly proportional to the product of the quantity of. the magnitude of the electric force between. Repulsive Electric Force Between Two Protons.
From www.vrogue.co
The Electrostatic Repulsive Force Between Two Protons vrogue.co Repulsive Electric Force Between Two Protons this means that the force between the particles is attractive. the magnitude of the electric force between two charges \(q_1\) and \(q_2\), with their centers separated by a distance \(r\), is given by the following equation:. If the two charges have the same signs, coulomb’s law gives a. state coulomb’s law in terms of how the electrostatic. Repulsive Electric Force Between Two Protons.
From www.numerade.com
SOLVED Determine the magnitude of the electric force between 2 protons Repulsive Electric Force Between Two Protons the repulsive or attractive interaction between any two charged bodies is called an electric force. If the two charges have the same signs, coulomb’s law gives a. this means that the force between the particles is attractive. the coulomb force is extraordinarily strong compared with the gravitational force, another basic force—but. Learn in detail about the electrical. Repulsive Electric Force Between Two Protons.
From www.numerade.com
SOLVED(I) What is the repulsive electrical force between two protons 5 Repulsive Electric Force Between Two Protons If the two charges have the same signs, coulomb’s law gives a. the repulsive or attractive interaction between any two charged bodies is called an electric force. this means that the force between the particles is attractive. coulomb's law states that the electrical force between two charged objects is directly proportional to the product of the quantity. Repulsive Electric Force Between Two Protons.
From www.numerade.com
SOLVEDTwo protons in an atomic nucleus are typically separated at a Repulsive Electric Force Between Two Protons Learn in detail about the electrical force with the help of. this means that the force between the particles is attractive. If the two charges have the same signs, coulomb’s law gives a. the repulsive or attractive interaction between any two charged bodies is called an electric force. the magnitude of the electric force between two charges. Repulsive Electric Force Between Two Protons.
From www.numerade.com
SOLVEDIf the nucleus is a few fm in diameter, the distance between the Repulsive Electric Force Between Two Protons the magnitude of the electric force between two charges \(q_1\) and \(q_2\), with their centers separated by a distance \(r\), is given by the following equation:. the coulomb force is extraordinarily strong compared with the gravitational force, another basic force—but. If the two charges have the same signs, coulomb’s law gives a. the repulsive or attractive interaction. Repulsive Electric Force Between Two Protons.
From www.youtube.com
What is the repulsive electrical force between two protons 4.0 x 10 Repulsive Electric Force Between Two Protons this means that the force between the particles is attractive. the magnitude of the electric force between two charges \(q_1\) and \(q_2\), with their centers separated by a distance \(r\), is given by the following equation:. state coulomb’s law in terms of how the electrostatic force changes with the distance between two objects. Learn in detail about. Repulsive Electric Force Between Two Protons.
From www.numerade.com
Determine the magnitude of the electric force between 2 protons that Repulsive Electric Force Between Two Protons the magnitude of the electric force between two charges \(q_1\) and \(q_2\), with their centers separated by a distance \(r\), is given by the following equation:. the coulomb force is extraordinarily strong compared with the gravitational force, another basic force—but. state coulomb’s law in terms of how the electrostatic force changes with the distance between two objects.. Repulsive Electric Force Between Two Protons.
From www.toppr.com
Calculate the distance between two protons such that the electrical Repulsive Electric Force Between Two Protons the repulsive or attractive interaction between any two charged bodies is called an electric force. the coulomb force is extraordinarily strong compared with the gravitational force, another basic force—but. If the two charges have the same signs, coulomb’s law gives a. this means that the force between the particles is attractive. the magnitude of the electric. Repulsive Electric Force Between Two Protons.
From www.chegg.com
Solved What is the repulsive electrical force between two Repulsive Electric Force Between Two Protons this means that the force between the particles is attractive. the magnitude of the electric force between two charges \(q_1\) and \(q_2\), with their centers separated by a distance \(r\), is given by the following equation:. the repulsive or attractive interaction between any two charged bodies is called an electric force. If the two charges have the. Repulsive Electric Force Between Two Protons.
From educationdbtuktelsed4.z13.web.core.windows.net
Understanding How Electrostatic Forces Cancel Repulsive Electric Force Between Two Protons the repulsive or attractive interaction between any two charged bodies is called an electric force. the magnitude of the electric force between two charges \(q_1\) and \(q_2\), with their centers separated by a distance \(r\), is given by the following equation:. state coulomb’s law in terms of how the electrostatic force changes with the distance between two. Repulsive Electric Force Between Two Protons.
From www.coursehero.com
[Solved] If repulsive electrical force between two protons in an atomic Repulsive Electric Force Between Two Protons If the two charges have the same signs, coulomb’s law gives a. this means that the force between the particles is attractive. Learn in detail about the electrical force with the help of. the coulomb force is extraordinarily strong compared with the gravitational force, another basic force—but. the magnitude of the electric force between two charges \(q_1\). Repulsive Electric Force Between Two Protons.
From www.youtube.com
Calculate the distance between two protons such that the electrical Repulsive Electric Force Between Two Protons the repulsive or attractive interaction between any two charged bodies is called an electric force. the magnitude of the electric force between two charges \(q_1\) and \(q_2\), with their centers separated by a distance \(r\), is given by the following equation:. If the two charges have the same signs, coulomb’s law gives a. the coulomb force is. Repulsive Electric Force Between Two Protons.
From www.youtube.com
Distance Between 2 Protons Coulomb's Law YouTube Repulsive Electric Force Between Two Protons state coulomb’s law in terms of how the electrostatic force changes with the distance between two objects. the magnitude of the electric force between two charges \(q_1\) and \(q_2\), with their centers separated by a distance \(r\), is given by the following equation:. the repulsive or attractive interaction between any two charged bodies is called an electric. Repulsive Electric Force Between Two Protons.
From www.youtube.com
What is the repulsive electrical force between two protons 4.0 x 10^15 Repulsive Electric Force Between Two Protons Learn in detail about the electrical force with the help of. coulomb's law states that the electrical force between two charged objects is directly proportional to the product of the quantity of. this means that the force between the particles is attractive. the repulsive or attractive interaction between any two charged bodies is called an electric force.. Repulsive Electric Force Between Two Protons.
From www.vrogue.co
The Electrostatic Repulsive Force Between Two Protons vrogue.co Repulsive Electric Force Between Two Protons If the two charges have the same signs, coulomb’s law gives a. state coulomb’s law in terms of how the electrostatic force changes with the distance between two objects. this means that the force between the particles is attractive. coulomb's law states that the electrical force between two charged objects is directly proportional to the product of. Repulsive Electric Force Between Two Protons.
From www.numerade.com
SOLVED Determine the magnitude of the electric force between 2 protons Repulsive Electric Force Between Two Protons the coulomb force is extraordinarily strong compared with the gravitational force, another basic force—but. coulomb's law states that the electrical force between two charged objects is directly proportional to the product of the quantity of. this means that the force between the particles is attractive. If the two charges have the same signs, coulomb’s law gives a.. Repulsive Electric Force Between Two Protons.
From study.com
Magnitude & Direction of the Electric Force on a Point Charge Video Repulsive Electric Force Between Two Protons coulomb's law states that the electrical force between two charged objects is directly proportional to the product of the quantity of. Learn in detail about the electrical force with the help of. this means that the force between the particles is attractive. state coulomb’s law in terms of how the electrostatic force changes with the distance between. Repulsive Electric Force Between Two Protons.
From www.toppr.com
Illustrative Examples 1. What repulsive Coulomb force exists between Repulsive Electric Force Between Two Protons If the two charges have the same signs, coulomb’s law gives a. the repulsive or attractive interaction between any two charged bodies is called an electric force. coulomb's law states that the electrical force between two charged objects is directly proportional to the product of the quantity of. Learn in detail about the electrical force with the help. Repulsive Electric Force Between Two Protons.
From www.youtube.com
HCV Find the electric force between two protons separated by a Repulsive Electric Force Between Two Protons the coulomb force is extraordinarily strong compared with the gravitational force, another basic force—but. this means that the force between the particles is attractive. the repulsive or attractive interaction between any two charged bodies is called an electric force. coulomb's law states that the electrical force between two charged objects is directly proportional to the product. Repulsive Electric Force Between Two Protons.
From www.chegg.com
Solved What is the repulsive electrical force between two Repulsive Electric Force Between Two Protons this means that the force between the particles is attractive. the coulomb force is extraordinarily strong compared with the gravitational force, another basic force—but. Learn in detail about the electrical force with the help of. If the two charges have the same signs, coulomb’s law gives a. state coulomb’s law in terms of how the electrostatic force. Repulsive Electric Force Between Two Protons.
From www.vrogue.co
The Electrostatic Repulsive Force Between Two Protons vrogue.co Repulsive Electric Force Between Two Protons the coulomb force is extraordinarily strong compared with the gravitational force, another basic force—but. this means that the force between the particles is attractive. Learn in detail about the electrical force with the help of. the repulsive or attractive interaction between any two charged bodies is called an electric force. If the two charges have the same. Repulsive Electric Force Between Two Protons.
From stock.adobe.com
illustration of physics and chemistry, Coulomb's law, protons repel Repulsive Electric Force Between Two Protons If the two charges have the same signs, coulomb’s law gives a. coulomb's law states that the electrical force between two charged objects is directly proportional to the product of the quantity of. the magnitude of the electric force between two charges \(q_1\) and \(q_2\), with their centers separated by a distance \(r\), is given by the following. Repulsive Electric Force Between Two Protons.
From www.numerade.com
SOLVED (I) What is the repulsive electrical force between two protons Repulsive Electric Force Between Two Protons this means that the force between the particles is attractive. If the two charges have the same signs, coulomb’s law gives a. the coulomb force is extraordinarily strong compared with the gravitational force, another basic force—but. state coulomb’s law in terms of how the electrostatic force changes with the distance between two objects. Learn in detail about. Repulsive Electric Force Between Two Protons.
From www.toppr.com
DJ V 2X IUL A proton is 1836 times heavier than an electron. If the Repulsive Electric Force Between Two Protons this means that the force between the particles is attractive. coulomb's law states that the electrical force between two charged objects is directly proportional to the product of the quantity of. state coulomb’s law in terms of how the electrostatic force changes with the distance between two objects. the coulomb force is extraordinarily strong compared with. Repulsive Electric Force Between Two Protons.
From www.slideserve.com
PPT General Physics II Electrostatic Principles & Applications Repulsive Electric Force Between Two Protons coulomb's law states that the electrical force between two charged objects is directly proportional to the product of the quantity of. this means that the force between the particles is attractive. the magnitude of the electric force between two charges \(q_1\) and \(q_2\), with their centers separated by a distance \(r\), is given by the following equation:.. Repulsive Electric Force Between Two Protons.
From www.numerade.com
Find the ratio of the electric and gravitational forces between two Repulsive Electric Force Between Two Protons state coulomb’s law in terms of how the electrostatic force changes with the distance between two objects. this means that the force between the particles is attractive. If the two charges have the same signs, coulomb’s law gives a. the repulsive or attractive interaction between any two charged bodies is called an electric force. the coulomb. Repulsive Electric Force Between Two Protons.
From users.highland.edu
Lewis Structures and Covalent Bonding Repulsive Electric Force Between Two Protons the coulomb force is extraordinarily strong compared with the gravitational force, another basic force—but. the repulsive or attractive interaction between any two charged bodies is called an electric force. coulomb's law states that the electrical force between two charged objects is directly proportional to the product of the quantity of. If the two charges have the same. Repulsive Electric Force Between Two Protons.
From www.toppr.com
Find the electric force between two protons separated by a distance of Repulsive Electric Force Between Two Protons this means that the force between the particles is attractive. Learn in detail about the electrical force with the help of. If the two charges have the same signs, coulomb’s law gives a. the magnitude of the electric force between two charges \(q_1\) and \(q_2\), with their centers separated by a distance \(r\), is given by the following. Repulsive Electric Force Between Two Protons.
From www.aakash.ac.in
Electrical Force Definition, Formula & Coulomb’s law Definition Repulsive Electric Force Between Two Protons coulomb's law states that the electrical force between two charged objects is directly proportional to the product of the quantity of. If the two charges have the same signs, coulomb’s law gives a. state coulomb’s law in terms of how the electrostatic force changes with the distance between two objects. the repulsive or attractive interaction between any. Repulsive Electric Force Between Two Protons.
From www.numerade.com
SOLVED Estimate the magnitude of the repulsive electrical force Repulsive Electric Force Between Two Protons state coulomb’s law in terms of how the electrostatic force changes with the distance between two objects. the repulsive or attractive interaction between any two charged bodies is called an electric force. this means that the force between the particles is attractive. the magnitude of the electric force between two charges \(q_1\) and \(q_2\), with their. Repulsive Electric Force Between Two Protons.