Stipend Ca X Y Z 11 43 . stiind ca x+y+z+11=43, determinati valoarea lui x+y+z. Always use the equation like. A nu trebuie să determinăm fiecare necunoscută, ci suma lor, ceea ce este destul de simplu,. explicație pas cu pas: A fost răspuns • verificat de expert. ca articleship stipend 2024 details are necessary for aspiring ca students. stiind ca x+y+z+11=43,determinatix+y+z see answer advertisement advertisement. Rearrange unknown terms to the left side of the equation: for x = 0, we have y + z = 11. With writing them out i found that there are 12 different assigned combinations for y and z that.
from info.caregistry.org
stiind ca x+y+z+11=43,determinatix+y+z see answer advertisement advertisement. A fost răspuns • verificat de expert. With writing them out i found that there are 12 different assigned combinations for y and z that. for x = 0, we have y + z = 11. A nu trebuie să determinăm fiecare necunoscută, ci suma lor, ceea ce este destul de simplu,. stiind ca x+y+z+11=43, determinati valoarea lui x+y+z. Rearrange unknown terms to the left side of the equation: Always use the equation like. explicație pas cu pas: ca articleship stipend 2024 details are necessary for aspiring ca students.
Stipend Resources CA ECE
Stipend Ca X Y Z 11 43 A fost răspuns • verificat de expert. stiind ca x+y+z+11=43,determinatix+y+z see answer advertisement advertisement. for x = 0, we have y + z = 11. stiind ca x+y+z+11=43, determinati valoarea lui x+y+z. A fost răspuns • verificat de expert. explicație pas cu pas: With writing them out i found that there are 12 different assigned combinations for y and z that. A nu trebuie să determinăm fiecare necunoscută, ci suma lor, ceea ce este destul de simplu,. Rearrange unknown terms to the left side of the equation: Always use the equation like. ca articleship stipend 2024 details are necessary for aspiring ca students.
From www.youtube.com
Why Stipend in CA firm is very low Stipend in CA firms Stipends in Stipend Ca X Y Z 11 43 stiind ca x+y+z+11=43,determinatix+y+z see answer advertisement advertisement. stiind ca x+y+z+11=43, determinati valoarea lui x+y+z. A nu trebuie să determinăm fiecare necunoscută, ci suma lor, ceea ce este destul de simplu,. ca articleship stipend 2024 details are necessary for aspiring ca students. explicație pas cu pas: With writing them out i found that there are 12 different. Stipend Ca X Y Z 11 43.
From www.chegg.com
Solved (a) (i) State the general form for the expansion of Stipend Ca X Y Z 11 43 With writing them out i found that there are 12 different assigned combinations for y and z that. for x = 0, we have y + z = 11. ca articleship stipend 2024 details are necessary for aspiring ca students. Always use the equation like. stiind ca x+y+z+11=43,determinatix+y+z see answer advertisement advertisement. explicație pas cu pas:. Stipend Ca X Y Z 11 43.
From www.chegg.com
Solved 10) If logax,logay,logaz is part of an arithmetic Stipend Ca X Y Z 11 43 ca articleship stipend 2024 details are necessary for aspiring ca students. stiind ca x+y+z+11=43,determinatix+y+z see answer advertisement advertisement. explicație pas cu pas: With writing them out i found that there are 12 different assigned combinations for y and z that. A nu trebuie să determinăm fiecare necunoscută, ci suma lor, ceea ce este destul de simplu,. . Stipend Ca X Y Z 11 43.
From www.investopedia.com
Stipend Definition, How It Works, Types, and Example Stipend Ca X Y Z 11 43 A nu trebuie să determinăm fiecare necunoscută, ci suma lor, ceea ce este destul de simplu,. stiind ca x+y+z+11=43,determinatix+y+z see answer advertisement advertisement. With writing them out i found that there are 12 different assigned combinations for y and z that. ca articleship stipend 2024 details are necessary for aspiring ca students. for x = 0, we. Stipend Ca X Y Z 11 43.
From www.chegg.com
Solved (1 point) Solve the system using any method x + y +z Stipend Ca X Y Z 11 43 A nu trebuie să determinăm fiecare necunoscută, ci suma lor, ceea ce este destul de simplu,. Rearrange unknown terms to the left side of the equation: stiind ca x+y+z+11=43,determinatix+y+z see answer advertisement advertisement. explicație pas cu pas: ca articleship stipend 2024 details are necessary for aspiring ca students. With writing them out i found that there are. Stipend Ca X Y Z 11 43.
From askfilo.com
10. In the figure given alongside, AB∥CD. Find the values of x,y,z.11. I.. Stipend Ca X Y Z 11 43 stiind ca x+y+z+11=43,determinatix+y+z see answer advertisement advertisement. for x = 0, we have y + z = 11. With writing them out i found that there are 12 different assigned combinations for y and z that. ca articleship stipend 2024 details are necessary for aspiring ca students. Always use the equation like. A nu trebuie să determinăm. Stipend Ca X Y Z 11 43.
From www.chegg.com
Solved Problem 8 Let X, Y and Z be binary variables. If • Stipend Ca X Y Z 11 43 With writing them out i found that there are 12 different assigned combinations for y and z that. for x = 0, we have y + z = 11. A nu trebuie să determinăm fiecare necunoscută, ci suma lor, ceea ce este destul de simplu,. Always use the equation like. stiind ca x+y+z+11=43,determinatix+y+z see answer advertisement advertisement. . Stipend Ca X Y Z 11 43.
From zeroinfy.in
How to get more Stipend in CA Articleship under Industrial Training Stipend Ca X Y Z 11 43 A nu trebuie să determinăm fiecare necunoscută, ci suma lor, ceea ce este destul de simplu,. stiind ca x+y+z+11=43, determinati valoarea lui x+y+z. Rearrange unknown terms to the left side of the equation: stiind ca x+y+z+11=43,determinatix+y+z see answer advertisement advertisement. With writing them out i found that there are 12 different assigned combinations for y and z that.. Stipend Ca X Y Z 11 43.
From brainly.lat
Obtenga el determinante ""x"" y ""y"" del sistema de ecuaciones x+y+z Stipend Ca X Y Z 11 43 With writing them out i found that there are 12 different assigned combinations for y and z that. stiind ca x+y+z+11=43,determinatix+y+z see answer advertisement advertisement. stiind ca x+y+z+11=43, determinati valoarea lui x+y+z. Always use the equation like. explicație pas cu pas: A nu trebuie să determinăm fiecare necunoscută, ci suma lor, ceea ce este destul de simplu,.. Stipend Ca X Y Z 11 43.
From www.chegg.com
Solved Food III, respectively. If there is no solution, Stipend Ca X Y Z 11 43 stiind ca x+y+z+11=43,determinatix+y+z see answer advertisement advertisement. ca articleship stipend 2024 details are necessary for aspiring ca students. With writing them out i found that there are 12 different assigned combinations for y and z that. A nu trebuie să determinăm fiecare necunoscută, ci suma lor, ceea ce este destul de simplu,. explicație pas cu pas: . Stipend Ca X Y Z 11 43.
From gestionestipendi.blogspot.com
Gestione Stipendi FF. AA. Stipendi Annui Lordi e Parametri Stipend Ca X Y Z 11 43 A nu trebuie să determinăm fiecare necunoscută, ci suma lor, ceea ce este destul de simplu,. for x = 0, we have y + z = 11. With writing them out i found that there are 12 different assigned combinations for y and z that. A fost răspuns • verificat de expert. Always use the equation like. ca. Stipend Ca X Y Z 11 43.
From www.bartleby.com
Answered (a) Find an equation of the tangent… bartleby Stipend Ca X Y Z 11 43 explicație pas cu pas: for x = 0, we have y + z = 11. ca articleship stipend 2024 details are necessary for aspiring ca students. A nu trebuie să determinăm fiecare necunoscută, ci suma lor, ceea ce este destul de simplu,. stiind ca x+y+z+11=43,determinatix+y+z see answer advertisement advertisement. Always use the equation like. Rearrange unknown. Stipend Ca X Y Z 11 43.
From www.slideserve.com
PPT n equations in n unknowns PowerPoint Presentation, free download Stipend Ca X Y Z 11 43 Rearrange unknown terms to the left side of the equation: stiind ca x+y+z+11=43, determinati valoarea lui x+y+z. stiind ca x+y+z+11=43,determinatix+y+z see answer advertisement advertisement. explicație pas cu pas: for x = 0, we have y + z = 11. Always use the equation like. ca articleship stipend 2024 details are necessary for aspiring ca students.. Stipend Ca X Y Z 11 43.
From www.tuttobolognaweb.it
Carlino Stipendi ’pesanti’, Saputo spenderà 8 milioni in più Tutto Stipend Ca X Y Z 11 43 With writing them out i found that there are 12 different assigned combinations for y and z that. explicație pas cu pas: for x = 0, we have y + z = 11. ca articleship stipend 2024 details are necessary for aspiring ca students. A nu trebuie să determinăm fiecare necunoscută, ci suma lor, ceea ce este. Stipend Ca X Y Z 11 43.
From brainly.ro
Determinati numerele x,y,z stiind ca sunt invers proportionale cu 0,5 Stipend Ca X Y Z 11 43 stiind ca x+y+z+11=43, determinati valoarea lui x+y+z. With writing them out i found that there are 12 different assigned combinations for y and z that. for x = 0, we have y + z = 11. Rearrange unknown terms to the left side of the equation: Always use the equation like. A fost răspuns • verificat de expert.. Stipend Ca X Y Z 11 43.
From www.youtube.com
Solve equations for x, y and z x+y+z=11; x^2+y^2+z^2=45; x^3+y^3+z^3 Stipend Ca X Y Z 11 43 A nu trebuie să determinăm fiecare necunoscută, ci suma lor, ceea ce este destul de simplu,. for x = 0, we have y + z = 11. Rearrange unknown terms to the left side of the equation: A fost răspuns • verificat de expert. Always use the equation like. With writing them out i found that there are 12. Stipend Ca X Y Z 11 43.
From brainly.ro
determinati numerele naturale x,y si z , stiind ca sunt direct Stipend Ca X Y Z 11 43 ca articleship stipend 2024 details are necessary for aspiring ca students. Always use the equation like. for x = 0, we have y + z = 11. A fost răspuns • verificat de expert. With writing them out i found that there are 12 different assigned combinations for y and z that. stiind ca x+y+z+11=43,determinatix+y+z see answer. Stipend Ca X Y Z 11 43.
From www.chegg.com
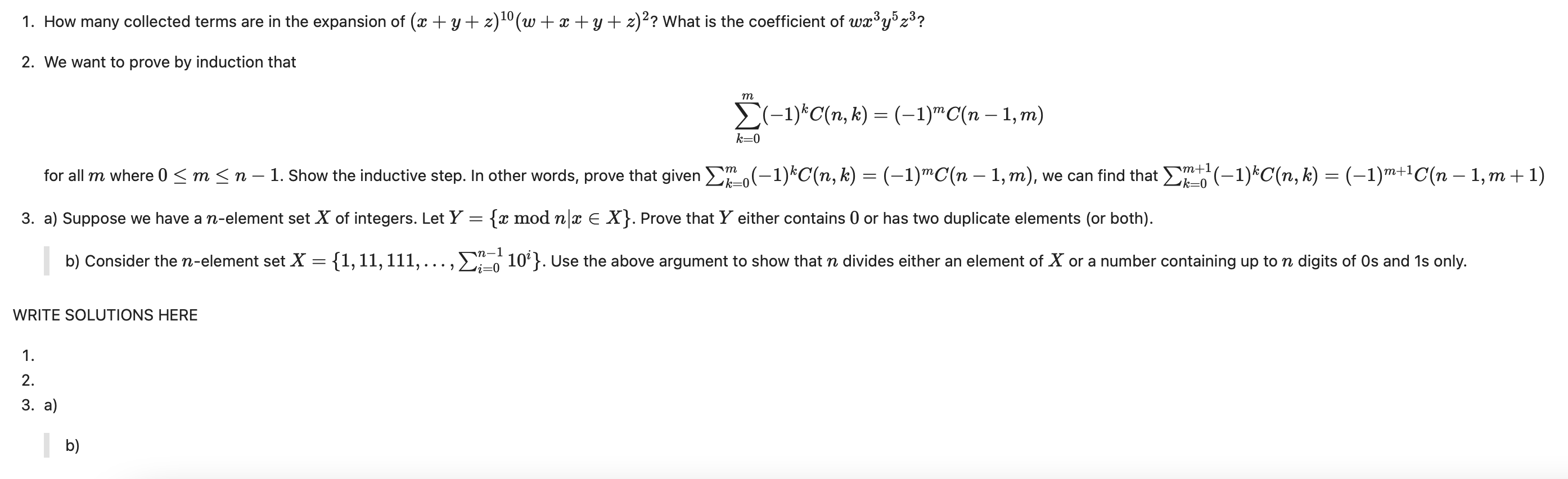
Solved 1. How many collected terms are in the expansion of Stipend Ca X Y Z 11 43 stiind ca x+y+z+11=43, determinati valoarea lui x+y+z. With writing them out i found that there are 12 different assigned combinations for y and z that. A fost răspuns • verificat de expert. for x = 0, we have y + z = 11. explicație pas cu pas: A nu trebuie să determinăm fiecare necunoscută, ci suma lor,. Stipend Ca X Y Z 11 43.
From hoidap247.com
tìm x , y , z biết 2x = 3y ; 4y = 5z và x + y + z = 11 câu hỏi Stipend Ca X Y Z 11 43 ca articleship stipend 2024 details are necessary for aspiring ca students. for x = 0, we have y + z = 11. Always use the equation like. explicație pas cu pas: A fost răspuns • verificat de expert. Rearrange unknown terms to the left side of the equation: A nu trebuie să determinăm fiecare necunoscută, ci suma. Stipend Ca X Y Z 11 43.
From www.bartleby.com
Answered (a) Find an equation of the tangent… bartleby Stipend Ca X Y Z 11 43 A nu trebuie să determinăm fiecare necunoscută, ci suma lor, ceea ce este destul de simplu,. Always use the equation like. A fost răspuns • verificat de expert. stiind ca x+y+z+11=43,determinatix+y+z see answer advertisement advertisement. With writing them out i found that there are 12 different assigned combinations for y and z that. Rearrange unknown terms to the left. Stipend Ca X Y Z 11 43.
From www.youtube.com
CA training and stipend Training of CA Stipend in ca training YouTube Stipend Ca X Y Z 11 43 ca articleship stipend 2024 details are necessary for aspiring ca students. With writing them out i found that there are 12 different assigned combinations for y and z that. A fost răspuns • verificat de expert. for x = 0, we have y + z = 11. Rearrange unknown terms to the left side of the equation: . Stipend Ca X Y Z 11 43.
From info.caregistry.org
Stipend Resources CA ECE Stipend Ca X Y Z 11 43 stiind ca x+y+z+11=43, determinati valoarea lui x+y+z. With writing them out i found that there are 12 different assigned combinations for y and z that. Always use the equation like. for x = 0, we have y + z = 11. A fost răspuns • verificat de expert. Rearrange unknown terms to the left side of the equation:. Stipend Ca X Y Z 11 43.
From slideplayer.com
ZongKuan Guo Department of Physics, Kinki University ppt download Stipend Ca X Y Z 11 43 A nu trebuie să determinăm fiecare necunoscută, ci suma lor, ceea ce este destul de simplu,. ca articleship stipend 2024 details are necessary for aspiring ca students. Always use the equation like. Rearrange unknown terms to the left side of the equation: for x = 0, we have y + z = 11. stiind ca x+y+z+11=43,determinatix+y+z see. Stipend Ca X Y Z 11 43.
From brainly.ro
stiind ca x/y=1,3(8),determinati raportul 3y2x/3x4y Brainly.ro Stipend Ca X Y Z 11 43 A nu trebuie să determinăm fiecare necunoscută, ci suma lor, ceea ce este destul de simplu,. explicație pas cu pas: stiind ca x+y+z+11=43,determinatix+y+z see answer advertisement advertisement. Always use the equation like. ca articleship stipend 2024 details are necessary for aspiring ca students. for x = 0, we have y + z = 11. A fost. Stipend Ca X Y Z 11 43.
From brainly.ro
Determinati numerele x,y,z stiind ca x/2 = y/3 = z/4 si 2x + y + 5z Stipend Ca X Y Z 11 43 explicație pas cu pas: for x = 0, we have y + z = 11. ca articleship stipend 2024 details are necessary for aspiring ca students. Rearrange unknown terms to the left side of the equation: stiind ca x+y+z+11=43, determinati valoarea lui x+y+z. With writing them out i found that there are 12 different assigned combinations. Stipend Ca X Y Z 11 43.
From www.chegg.com
Solved Solve the following set of linear equations using Stipend Ca X Y Z 11 43 A nu trebuie să determinăm fiecare necunoscută, ci suma lor, ceea ce este destul de simplu,. With writing them out i found that there are 12 different assigned combinations for y and z that. ca articleship stipend 2024 details are necessary for aspiring ca students. for x = 0, we have y + z = 11. explicație. Stipend Ca X Y Z 11 43.
From www.youtube.com
CA Stipend Shorts YouTube Stipend Ca X Y Z 11 43 Always use the equation like. explicație pas cu pas: A nu trebuie să determinăm fiecare necunoscută, ci suma lor, ceea ce este destul de simplu,. stiind ca x+y+z+11=43,determinatix+y+z see answer advertisement advertisement. ca articleship stipend 2024 details are necessary for aspiring ca students. Rearrange unknown terms to the left side of the equation: A fost răspuns •. Stipend Ca X Y Z 11 43.
From www.chegg.com
Solved Find the directional derivative of Stipend Ca X Y Z 11 43 stiind ca x+y+z+11=43, determinati valoarea lui x+y+z. A nu trebuie să determinăm fiecare necunoscută, ci suma lor, ceea ce este destul de simplu,. explicație pas cu pas: stiind ca x+y+z+11=43,determinatix+y+z see answer advertisement advertisement. for x = 0, we have y + z = 11. A fost răspuns • verificat de expert. ca articleship stipend. Stipend Ca X Y Z 11 43.
From www.chegg.com
Solved Third Problem Sequence = 10. (5 points) Find the Stipend Ca X Y Z 11 43 ca articleship stipend 2024 details are necessary for aspiring ca students. A nu trebuie să determinăm fiecare necunoscută, ci suma lor, ceea ce este destul de simplu,. With writing them out i found that there are 12 different assigned combinations for y and z that. A fost răspuns • verificat de expert. explicație pas cu pas: Always use. Stipend Ca X Y Z 11 43.
From www.doubtnut.com
बिन्दु (1,2,3) कि समतल x+y+z=11 से दूरी सरल रेखा x+1 = (y12)/(2) Stipend Ca X Y Z 11 43 With writing them out i found that there are 12 different assigned combinations for y and z that. Rearrange unknown terms to the left side of the equation: ca articleship stipend 2024 details are necessary for aspiring ca students. A fost răspuns • verificat de expert. explicație pas cu pas: Always use the equation like. stiind ca. Stipend Ca X Y Z 11 43.
From www.chegg.com
Solved 8. Determine if the parallel lines are distinct or Stipend Ca X Y Z 11 43 Always use the equation like. stiind ca x+y+z+11=43,determinatix+y+z see answer advertisement advertisement. Rearrange unknown terms to the left side of the equation: With writing them out i found that there are 12 different assigned combinations for y and z that. ca articleship stipend 2024 details are necessary for aspiring ca students. stiind ca x+y+z+11=43, determinati valoarea lui. Stipend Ca X Y Z 11 43.
From www.chegg.com
Solved Use a triple integral to compute the volume of the Stipend Ca X Y Z 11 43 stiind ca x+y+z+11=43, determinati valoarea lui x+y+z. explicație pas cu pas: Always use the equation like. Rearrange unknown terms to the left side of the equation: stiind ca x+y+z+11=43,determinatix+y+z see answer advertisement advertisement. ca articleship stipend 2024 details are necessary for aspiring ca students. A fost răspuns • verificat de expert. A nu trebuie să determinăm. Stipend Ca X Y Z 11 43.
From studycafe.in
Know new Articleship stipend as per CA Regulations 2022 Stipend Ca X Y Z 11 43 Rearrange unknown terms to the left side of the equation: stiind ca x+y+z+11=43, determinati valoarea lui x+y+z. ca articleship stipend 2024 details are necessary for aspiring ca students. for x = 0, we have y + z = 11. Always use the equation like. A fost răspuns • verificat de expert. explicație pas cu pas: A. Stipend Ca X Y Z 11 43.
From pkdims.org
Student Stipend Details PKDIMS Stipend Ca X Y Z 11 43 stiind ca x+y+z+11=43,determinatix+y+z see answer advertisement advertisement. ca articleship stipend 2024 details are necessary for aspiring ca students. A nu trebuie să determinăm fiecare necunoscută, ci suma lor, ceea ce este destul de simplu,. stiind ca x+y+z+11=43, determinati valoarea lui x+y+z. A fost răspuns • verificat de expert. for x = 0, we have y +. Stipend Ca X Y Z 11 43.
From www.youtube.com
CA Stipend vs ICAP vs CA Audit Firms CA Stipend Change Updates CA Stipend Ca X Y Z 11 43 explicație pas cu pas: for x = 0, we have y + z = 11. A fost răspuns • verificat de expert. Rearrange unknown terms to the left side of the equation: Always use the equation like. A nu trebuie să determinăm fiecare necunoscută, ci suma lor, ceea ce este destul de simplu,. With writing them out i. Stipend Ca X Y Z 11 43.