Latching Current Of An Scr Is . If the anode current does not rise above this value when triggered on by the gate current, the scr will relax back to the off state when the gate current is removed. Latching current (il)—the minimum anode current that will cause the scr to latch into the on state. The relation between holding current and latching current in a silicon controlled rectifier (scr) is essential to understanding its. The current at which the scr turns into conduction mode from blocking mode is called as latching current (il). The main difference between latching and holding current of scr is that latching current is related with turn on process while holding current is related with turn off process of scr.
from www.coursehero.com
Latching current (il)—the minimum anode current that will cause the scr to latch into the on state. The current at which the scr turns into conduction mode from blocking mode is called as latching current (il). If the anode current does not rise above this value when triggered on by the gate current, the scr will relax back to the off state when the gate current is removed. The main difference between latching and holding current of scr is that latching current is related with turn on process while holding current is related with turn off process of scr. The relation between holding current and latching current in a silicon controlled rectifier (scr) is essential to understanding its.
[Solved] (a) (i) Define the terms "latching current" and "holding
Latching Current Of An Scr Is Latching current (il)—the minimum anode current that will cause the scr to latch into the on state. Latching current (il)—the minimum anode current that will cause the scr to latch into the on state. The current at which the scr turns into conduction mode from blocking mode is called as latching current (il). If the anode current does not rise above this value when triggered on by the gate current, the scr will relax back to the off state when the gate current is removed. The main difference between latching and holding current of scr is that latching current is related with turn on process while holding current is related with turn off process of scr. The relation between holding current and latching current in a silicon controlled rectifier (scr) is essential to understanding its.
From www.scribd.com
scr Latching current holding current PDF Latching Current Of An Scr Is The main difference between latching and holding current of scr is that latching current is related with turn on process while holding current is related with turn off process of scr. The relation between holding current and latching current in a silicon controlled rectifier (scr) is essential to understanding its. The current at which the scr turns into conduction mode. Latching Current Of An Scr Is.
From fixdbbanalq3g.z13.web.core.windows.net
Latching Current And Holding Current In Scr Latching Current Of An Scr Is The relation between holding current and latching current in a silicon controlled rectifier (scr) is essential to understanding its. If the anode current does not rise above this value when triggered on by the gate current, the scr will relax back to the off state when the gate current is removed. The main difference between latching and holding current of. Latching Current Of An Scr Is.
From diagramlibraryole.z5.web.core.windows.net
Define Latching Current Of Scr Latching Current Of An Scr Is Latching current (il)—the minimum anode current that will cause the scr to latch into the on state. The main difference between latching and holding current of scr is that latching current is related with turn on process while holding current is related with turn off process of scr. The current at which the scr turns into conduction mode from blocking. Latching Current Of An Scr Is.
From schematiclibraryosborne.z4.web.core.windows.net
Latching Current And Holding Current In Scr Latching Current Of An Scr Is The current at which the scr turns into conduction mode from blocking mode is called as latching current (il). The main difference between latching and holding current of scr is that latching current is related with turn on process while holding current is related with turn off process of scr. The relation between holding current and latching current in a. Latching Current Of An Scr Is.
From userenginetyler.z19.web.core.windows.net
Define Latching Current Of Scr Latching Current Of An Scr Is The relation between holding current and latching current in a silicon controlled rectifier (scr) is essential to understanding its. The main difference between latching and holding current of scr is that latching current is related with turn on process while holding current is related with turn off process of scr. If the anode current does not rise above this value. Latching Current Of An Scr Is.
From diagramfixjuan.z6.web.core.windows.net
Latching Current And Holding Current In Scr Latching Current Of An Scr Is The current at which the scr turns into conduction mode from blocking mode is called as latching current (il). The relation between holding current and latching current in a silicon controlled rectifier (scr) is essential to understanding its. The main difference between latching and holding current of scr is that latching current is related with turn on process while holding. Latching Current Of An Scr Is.
From forumautomation.com
Empowering Circuits The Function of Latching Current in Power Latching Current Of An Scr Is If the anode current does not rise above this value when triggered on by the gate current, the scr will relax back to the off state when the gate current is removed. The current at which the scr turns into conduction mode from blocking mode is called as latching current (il). The main difference between latching and holding current of. Latching Current Of An Scr Is.
From www.youtube.com
VI characteristics of SCR and measuring latching & holding current Latching Current Of An Scr Is The main difference between latching and holding current of scr is that latching current is related with turn on process while holding current is related with turn off process of scr. The relation between holding current and latching current in a silicon controlled rectifier (scr) is essential to understanding its. Latching current (il)—the minimum anode current that will cause the. Latching Current Of An Scr Is.
From circuitfixroger.z19.web.core.windows.net
Define Latching Current Of Scr Latching Current Of An Scr Is Latching current (il)—the minimum anode current that will cause the scr to latch into the on state. If the anode current does not rise above this value when triggered on by the gate current, the scr will relax back to the off state when the gate current is removed. The relation between holding current and latching current in a silicon. Latching Current Of An Scr Is.
From www.chegg.com
Solved The latching current of an SCR usea in a pnase Latching Current Of An Scr Is The relation between holding current and latching current in a silicon controlled rectifier (scr) is essential to understanding its. The main difference between latching and holding current of scr is that latching current is related with turn on process while holding current is related with turn off process of scr. The current at which the scr turns into conduction mode. Latching Current Of An Scr Is.
From studytronics.weebly.com
SCR, STUDYTRONICS Latching Current Of An Scr Is If the anode current does not rise above this value when triggered on by the gate current, the scr will relax back to the off state when the gate current is removed. The relation between holding current and latching current in a silicon controlled rectifier (scr) is essential to understanding its. The current at which the scr turns into conduction. Latching Current Of An Scr Is.
From www.electricalvolt.com
VI Characteristics of SCR Modes of Operation of SCR Electrical Volt Latching Current Of An Scr Is The relation between holding current and latching current in a silicon controlled rectifier (scr) is essential to understanding its. Latching current (il)—the minimum anode current that will cause the scr to latch into the on state. If the anode current does not rise above this value when triggered on by the gate current, the scr will relax back to the. Latching Current Of An Scr Is.
From www.numerade.com
SOLVED The SCR in the circuit shown has a latching current of 40 mA. A Latching Current Of An Scr Is Latching current (il)—the minimum anode current that will cause the scr to latch into the on state. The current at which the scr turns into conduction mode from blocking mode is called as latching current (il). The main difference between latching and holding current of scr is that latching current is related with turn on process while holding current is. Latching Current Of An Scr Is.
From schematiclibraryosborne.z4.web.core.windows.net
Latching Current And Holding Current In Scr Latching Current Of An Scr Is The current at which the scr turns into conduction mode from blocking mode is called as latching current (il). Latching current (il)—the minimum anode current that will cause the scr to latch into the on state. The main difference between latching and holding current of scr is that latching current is related with turn on process while holding current is. Latching Current Of An Scr Is.
From www.coursehero.com
[Solved] (a) (i) Define the terms "latching current" and "holding Latching Current Of An Scr Is Latching current (il)—the minimum anode current that will cause the scr to latch into the on state. The main difference between latching and holding current of scr is that latching current is related with turn on process while holding current is related with turn off process of scr. If the anode current does not rise above this value when triggered. Latching Current Of An Scr Is.
From slideplayer.com
INTRODUCTION POWER ELECTRONICS. ppt download Latching Current Of An Scr Is The current at which the scr turns into conduction mode from blocking mode is called as latching current (il). Latching current (il)—the minimum anode current that will cause the scr to latch into the on state. If the anode current does not rise above this value when triggered on by the gate current, the scr will relax back to the. Latching Current Of An Scr Is.
From www.youtube.com
LATCHING CURRENT AND HOLDING CURRENTSCR (PART2)Power Electronics Lec Latching Current Of An Scr Is The current at which the scr turns into conduction mode from blocking mode is called as latching current (il). The main difference between latching and holding current of scr is that latching current is related with turn on process while holding current is related with turn off process of scr. Latching current (il)—the minimum anode current that will cause the. Latching Current Of An Scr Is.
From fixmanualdixon.z13.web.core.windows.net
Scr Latching Circuit Diagram Latching Current Of An Scr Is If the anode current does not rise above this value when triggered on by the gate current, the scr will relax back to the off state when the gate current is removed. The relation between holding current and latching current in a silicon controlled rectifier (scr) is essential to understanding its. The current at which the scr turns into conduction. Latching Current Of An Scr Is.
From www.numerade.com
VIDEO solution The circuit shown in the figure has a latching current Latching Current Of An Scr Is Latching current (il)—the minimum anode current that will cause the scr to latch into the on state. If the anode current does not rise above this value when triggered on by the gate current, the scr will relax back to the off state when the gate current is removed. The current at which the scr turns into conduction mode from. Latching Current Of An Scr Is.
From www.youtube.com
What is SCR? A brief explanation on how to turning on and off. Analogue Latching Current Of An Scr Is The current at which the scr turns into conduction mode from blocking mode is called as latching current (il). The main difference between latching and holding current of scr is that latching current is related with turn on process while holding current is related with turn off process of scr. The relation between holding current and latching current in a. Latching Current Of An Scr Is.
From guidefixkenjihayabusahn.z4.web.core.windows.net
Define Latching And Holding Current Of Scr Latching Current Of An Scr Is The current at which the scr turns into conduction mode from blocking mode is called as latching current (il). The relation between holding current and latching current in a silicon controlled rectifier (scr) is essential to understanding its. If the anode current does not rise above this value when triggered on by the gate current, the scr will relax back. Latching Current Of An Scr Is.
From electronics.stackexchange.com
power electronics SCR latching current and holding current equivalent Latching Current Of An Scr Is Latching current (il)—the minimum anode current that will cause the scr to latch into the on state. The current at which the scr turns into conduction mode from blocking mode is called as latching current (il). If the anode current does not rise above this value when triggered on by the gate current, the scr will relax back to the. Latching Current Of An Scr Is.
From electriccircuitfundamentals.blogspot.com
SCR Triggering / SCR Turn On Methods Full explanation. Fundamentals Latching Current Of An Scr Is Latching current (il)—the minimum anode current that will cause the scr to latch into the on state. If the anode current does not rise above this value when triggered on by the gate current, the scr will relax back to the off state when the gate current is removed. The relation between holding current and latching current in a silicon. Latching Current Of An Scr Is.
From www.youtube.com
Latching current and holding current in SCR Power Electronics Lecture Latching Current Of An Scr Is The main difference between latching and holding current of scr is that latching current is related with turn on process while holding current is related with turn off process of scr. The relation between holding current and latching current in a silicon controlled rectifier (scr) is essential to understanding its. If the anode current does not rise above this value. Latching Current Of An Scr Is.
From www.youtube.com
What is Latching Current and Holding Current in SCR? YouTube Latching Current Of An Scr Is If the anode current does not rise above this value when triggered on by the gate current, the scr will relax back to the off state when the gate current is removed. Latching current (il)—the minimum anode current that will cause the scr to latch into the on state. The current at which the scr turns into conduction mode from. Latching Current Of An Scr Is.
From electricalnotebook.com
Determine the Latching Current Using VI Characteristics of SCR. Latching Current Of An Scr Is If the anode current does not rise above this value when triggered on by the gate current, the scr will relax back to the off state when the gate current is removed. The relation between holding current and latching current in a silicon controlled rectifier (scr) is essential to understanding its. Latching current (il)—the minimum anode current that will cause. Latching Current Of An Scr Is.
From www.chegg.com
Solved Here latching current of SCR is 75mA. Calculate the Latching Current Of An Scr Is The main difference between latching and holding current of scr is that latching current is related with turn on process while holding current is related with turn off process of scr. Latching current (il)—the minimum anode current that will cause the scr to latch into the on state. The relation between holding current and latching current in a silicon controlled. Latching Current Of An Scr Is.
From www.numerade.com
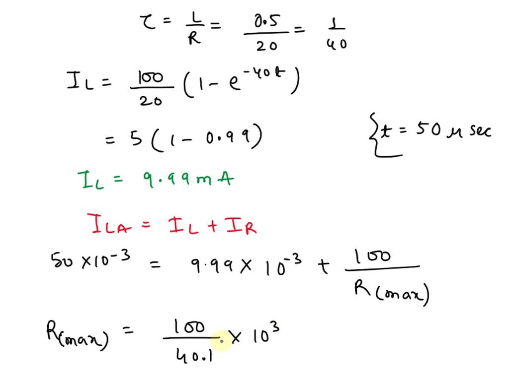
An SCR is connected in series with a 0.5 H inductor and a 20 ohm Latching Current Of An Scr Is Latching current (il)—the minimum anode current that will cause the scr to latch into the on state. The current at which the scr turns into conduction mode from blocking mode is called as latching current (il). The relation between holding current and latching current in a silicon controlled rectifier (scr) is essential to understanding its. The main difference between latching. Latching Current Of An Scr Is.
From userdiagrambelize.z21.web.core.windows.net
Scr Latching Circuit Diagram Latching Current Of An Scr Is The relation between holding current and latching current in a silicon controlled rectifier (scr) is essential to understanding its. The current at which the scr turns into conduction mode from blocking mode is called as latching current (il). Latching current (il)—the minimum anode current that will cause the scr to latch into the on state. If the anode current does. Latching Current Of An Scr Is.
From itecnotes.com
Electrical Confused with turn on time definition of an SCR Valuable Latching Current Of An Scr Is The relation between holding current and latching current in a silicon controlled rectifier (scr) is essential to understanding its. The main difference between latching and holding current of scr is that latching current is related with turn on process while holding current is related with turn off process of scr. Latching current (il)—the minimum anode current that will cause the. Latching Current Of An Scr Is.
From www.numerade.com
Problem 4 Latching Current In the SCR circuit shown in the figure Latching Current Of An Scr Is Latching current (il)—the minimum anode current that will cause the scr to latch into the on state. The main difference between latching and holding current of scr is that latching current is related with turn on process while holding current is related with turn off process of scr. The relation between holding current and latching current in a silicon controlled. Latching Current Of An Scr Is.
From www.chegg.com
Solved Question1 The latching current of the SCR in circuit Latching Current Of An Scr Is The relation between holding current and latching current in a silicon controlled rectifier (scr) is essential to understanding its. Latching current (il)—the minimum anode current that will cause the scr to latch into the on state. The main difference between latching and holding current of scr is that latching current is related with turn on process while holding current is. Latching Current Of An Scr Is.
From circuitfixroger.z19.web.core.windows.net
Scr Latching Circuit Diagram Latching Current Of An Scr Is The main difference between latching and holding current of scr is that latching current is related with turn on process while holding current is related with turn off process of scr. Latching current (il)—the minimum anode current that will cause the scr to latch into the on state. If the anode current does not rise above this value when triggered. Latching Current Of An Scr Is.
From electricalnotebook.com
Determine the Latching Current Using VI Characteristics of SCR. Latching Current Of An Scr Is The relation between holding current and latching current in a silicon controlled rectifier (scr) is essential to understanding its. The current at which the scr turns into conduction mode from blocking mode is called as latching current (il). If the anode current does not rise above this value when triggered on by the gate current, the scr will relax back. Latching Current Of An Scr Is.
From fixmanualdixon.z13.web.core.windows.net
Scr Latching Circuit Diagram Latching Current Of An Scr Is Latching current (il)—the minimum anode current that will cause the scr to latch into the on state. The current at which the scr turns into conduction mode from blocking mode is called as latching current (il). If the anode current does not rise above this value when triggered on by the gate current, the scr will relax back to the. Latching Current Of An Scr Is.