What Is Acceptable Leakage Current . Leakage current is the current that streams from either dc or ac circuit in an equipment to the ground or framework and can. • per the nec and abyc standards noted in this article, a single vessel leaking 30 ma or more is not an acceptable amount of leakage. Leakage current is the sum of all ac currents from mains conductors to ground through these resistances and impedances: The measured leakage current values are compared with acceptable limits. Leakage current, often referred to as “stray current,” is the flow of electric current along unintended paths in an electrical circuit. Leakage currents are currents that are derived from normal and abnormal connections of the source to the safety earth. In general, leakage currents are more easily identified that. These limits are based on the type of product being tested,. Leakage current is an electric current in an unintended conductive path under normal conditions [source: The definition in question precisely establishes.
from ramtechno.com
Leakage current is the current that streams from either dc or ac circuit in an equipment to the ground or framework and can. Leakage current is the sum of all ac currents from mains conductors to ground through these resistances and impedances: • per the nec and abyc standards noted in this article, a single vessel leaking 30 ma or more is not an acceptable amount of leakage. The definition in question precisely establishes. Leakage current is an electric current in an unintended conductive path under normal conditions [source: Leakage currents are currents that are derived from normal and abnormal connections of the source to the safety earth. The measured leakage current values are compared with acceptable limits. In general, leakage currents are more easily identified that. These limits are based on the type of product being tested,. Leakage current, often referred to as “stray current,” is the flow of electric current along unintended paths in an electrical circuit.
6 Things to Know About Leakage Current for Medical Devices
What Is Acceptable Leakage Current These limits are based on the type of product being tested,. Leakage current is an electric current in an unintended conductive path under normal conditions [source: The measured leakage current values are compared with acceptable limits. In general, leakage currents are more easily identified that. Leakage current is the current that streams from either dc or ac circuit in an equipment to the ground or framework and can. These limits are based on the type of product being tested,. Leakage current, often referred to as “stray current,” is the flow of electric current along unintended paths in an electrical circuit. Leakage current is the sum of all ac currents from mains conductors to ground through these resistances and impedances: • per the nec and abyc standards noted in this article, a single vessel leaking 30 ma or more is not an acceptable amount of leakage. The definition in question precisely establishes. Leakage currents are currents that are derived from normal and abnormal connections of the source to the safety earth.
From www.researchgate.net
Leakage Current Components Subthreshold leakage current is the largest What Is Acceptable Leakage Current • per the nec and abyc standards noted in this article, a single vessel leaking 30 ma or more is not an acceptable amount of leakage. Leakage currents are currents that are derived from normal and abnormal connections of the source to the safety earth. These limits are based on the type of product being tested,. In general, leakage currents. What Is Acceptable Leakage Current.
From www.chromausa.com
Leakage Current Test What Is Acceptable Leakage Current Leakage current is an electric current in an unintended conductive path under normal conditions [source: The measured leakage current values are compared with acceptable limits. Leakage current is the sum of all ac currents from mains conductors to ground through these resistances and impedances: Leakage current, often referred to as “stray current,” is the flow of electric current along unintended. What Is Acceptable Leakage Current.
From www.powersystemsdesign.com
Patient Protection What Is Acceptable Leakage Current These limits are based on the type of product being tested,. Leakage current, often referred to as “stray current,” is the flow of electric current along unintended paths in an electrical circuit. Leakage currents are currents that are derived from normal and abnormal connections of the source to the safety earth. The definition in question precisely establishes. • per the. What Is Acceptable Leakage Current.
From www.fluke.com
Why Controlling Leakage Current is Important Fluke What Is Acceptable Leakage Current Leakage currents are currents that are derived from normal and abnormal connections of the source to the safety earth. In general, leakage currents are more easily identified that. Leakage current, often referred to as “stray current,” is the flow of electric current along unintended paths in an electrical circuit. Leakage current is the sum of all ac currents from mains. What Is Acceptable Leakage Current.
From www.researchgate.net
Temperature and leakage current curve. Download Scientific Diagram What Is Acceptable Leakage Current Leakage current is the sum of all ac currents from mains conductors to ground through these resistances and impedances: • per the nec and abyc standards noted in this article, a single vessel leaking 30 ma or more is not an acceptable amount of leakage. The measured leakage current values are compared with acceptable limits. In general, leakage currents are. What Is Acceptable Leakage Current.
From ramtechno.com
Leakage Current in Medical Devices RAM Technologies What Is Acceptable Leakage Current The measured leakage current values are compared with acceptable limits. In general, leakage currents are more easily identified that. Leakage currents are currents that are derived from normal and abnormal connections of the source to the safety earth. • per the nec and abyc standards noted in this article, a single vessel leaking 30 ma or more is not an. What Is Acceptable Leakage Current.
From www.researchgate.net
16 Leakage Current of Supercapacitors. Download Scientific Diagram What Is Acceptable Leakage Current Leakage currents are currents that are derived from normal and abnormal connections of the source to the safety earth. The measured leakage current values are compared with acceptable limits. In general, leakage currents are more easily identified that. Leakage current is the sum of all ac currents from mains conductors to ground through these resistances and impedances: The definition in. What Is Acceptable Leakage Current.
From www.researchgate.net
Leakage current variability against temperature and supply voltages in What Is Acceptable Leakage Current Leakage current is an electric current in an unintended conductive path under normal conditions [source: The measured leakage current values are compared with acceptable limits. These limits are based on the type of product being tested,. Leakage currents are currents that are derived from normal and abnormal connections of the source to the safety earth. The definition in question precisely. What Is Acceptable Leakage Current.
From www.chromausa.com
Leakage Current Test What Is Acceptable Leakage Current The measured leakage current values are compared with acceptable limits. Leakage current, often referred to as “stray current,” is the flow of electric current along unintended paths in an electrical circuit. Leakage current is the current that streams from either dc or ac circuit in an equipment to the ground or framework and can. Leakage current is an electric current. What Is Acceptable Leakage Current.
From www.youtube.com
How To Control Leakage Current in Your Solar Inverter YouTube What Is Acceptable Leakage Current These limits are based on the type of product being tested,. Leakage currents are currents that are derived from normal and abnormal connections of the source to the safety earth. Leakage current is the current that streams from either dc or ac circuit in an equipment to the ground or framework and can. The measured leakage current values are compared. What Is Acceptable Leakage Current.
From www.researchgate.net
Leakage current and gate length. (a) Impact of gatelength on leakage What Is Acceptable Leakage Current Leakage current is the sum of all ac currents from mains conductors to ground through these resistances and impedances: Leakage current is the current that streams from either dc or ac circuit in an equipment to the ground or framework and can. • per the nec and abyc standards noted in this article, a single vessel leaking 30 ma or. What Is Acceptable Leakage Current.
From www.scribd.com
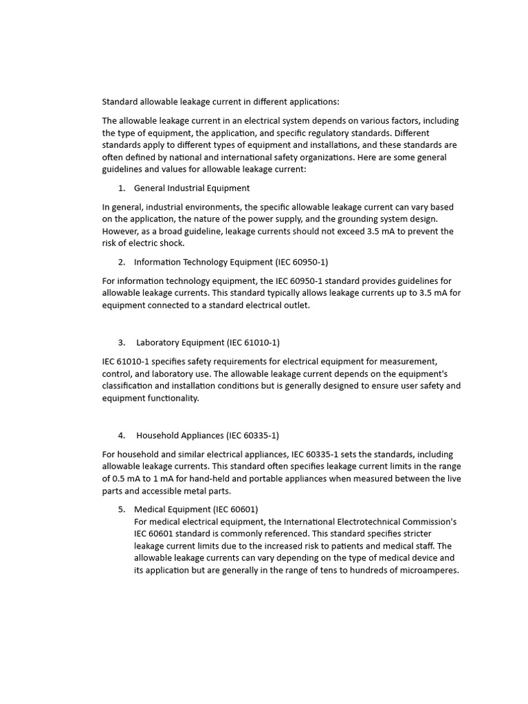
Standard allowable leakage current in different applications Download What Is Acceptable Leakage Current • per the nec and abyc standards noted in this article, a single vessel leaking 30 ma or more is not an acceptable amount of leakage. These limits are based on the type of product being tested,. Leakage current is the sum of all ac currents from mains conductors to ground through these resistances and impedances: The definition in question. What Is Acceptable Leakage Current.
From www.youtube.com
Leakage Current Testing 101 YouTube What Is Acceptable Leakage Current These limits are based on the type of product being tested,. In general, leakage currents are more easily identified that. The measured leakage current values are compared with acceptable limits. The definition in question precisely establishes. Leakage current is the current that streams from either dc or ac circuit in an equipment to the ground or framework and can. Leakage. What Is Acceptable Leakage Current.
From www.chromausa.com
Leakage Current Test What Is Acceptable Leakage Current The measured leakage current values are compared with acceptable limits. The definition in question precisely establishes. • per the nec and abyc standards noted in this article, a single vessel leaking 30 ma or more is not an acceptable amount of leakage. Leakage current is the sum of all ac currents from mains conductors to ground through these resistances and. What Is Acceptable Leakage Current.
From www.compwest.com
Leakage Current Box Config 2 (Perception or reaction Touch What Is Acceptable Leakage Current Leakage current is the current that streams from either dc or ac circuit in an equipment to the ground or framework and can. These limits are based on the type of product being tested,. The definition in question precisely establishes. • per the nec and abyc standards noted in this article, a single vessel leaking 30 ma or more is. What Is Acceptable Leakage Current.
From www.mdpi.com
Electronics Free FullText Leakage Current Detector and Warning What Is Acceptable Leakage Current Leakage current, often referred to as “stray current,” is the flow of electric current along unintended paths in an electrical circuit. In general, leakage currents are more easily identified that. Leakage current is the current that streams from either dc or ac circuit in an equipment to the ground or framework and can. The measured leakage current values are compared. What Is Acceptable Leakage Current.
From www.chromausa.com
Leakage Current Test What Is Acceptable Leakage Current • per the nec and abyc standards noted in this article, a single vessel leaking 30 ma or more is not an acceptable amount of leakage. Leakage current, often referred to as “stray current,” is the flow of electric current along unintended paths in an electrical circuit. These limits are based on the type of product being tested,. In general,. What Is Acceptable Leakage Current.
From www.asutpp.com
What is Leakage Current? Causes, Maximum Values, Measurement What Is Acceptable Leakage Current These limits are based on the type of product being tested,. Leakage current is the sum of all ac currents from mains conductors to ground through these resistances and impedances: The definition in question precisely establishes. The measured leakage current values are compared with acceptable limits. Leakage current is an electric current in an unintended conductive path under normal conditions. What Is Acceptable Leakage Current.
From ramtechno.com
6 Things to Know About Leakage Current for Medical Devices What Is Acceptable Leakage Current The definition in question precisely establishes. Leakage current, often referred to as “stray current,” is the flow of electric current along unintended paths in an electrical circuit. • per the nec and abyc standards noted in this article, a single vessel leaking 30 ma or more is not an acceptable amount of leakage. In general, leakage currents are more easily. What Is Acceptable Leakage Current.
From talema.com
Leakage Current in Medical Devices The Talema Group What Is Acceptable Leakage Current • per the nec and abyc standards noted in this article, a single vessel leaking 30 ma or more is not an acceptable amount of leakage. The measured leakage current values are compared with acceptable limits. In general, leakage currents are more easily identified that. The definition in question precisely establishes. Leakage current, often referred to as “stray current,” is. What Is Acceptable Leakage Current.
From www.chromausa.com
Leakage Current Part I What Is Acceptable Leakage Current Leakage current, often referred to as “stray current,” is the flow of electric current along unintended paths in an electrical circuit. Leakage current is an electric current in an unintended conductive path under normal conditions [source: Leakage current is the current that streams from either dc or ac circuit in an equipment to the ground or framework and can. In. What Is Acceptable Leakage Current.
From www.schleich.com
The leakage current test SCHLEICH What Is Acceptable Leakage Current Leakage current is an electric current in an unintended conductive path under normal conditions [source: The definition in question precisely establishes. These limits are based on the type of product being tested,. In general, leakage currents are more easily identified that. • per the nec and abyc standards noted in this article, a single vessel leaking 30 ma or more. What Is Acceptable Leakage Current.
From www.youtube.com
HT cable leakage current test YouTube What Is Acceptable Leakage Current Leakage current is an electric current in an unintended conductive path under normal conditions [source: These limits are based on the type of product being tested,. Leakage current is the sum of all ac currents from mains conductors to ground through these resistances and impedances: In general, leakage currents are more easily identified that. Leakage current, often referred to as. What Is Acceptable Leakage Current.
From www.asutpp.com
What is Leakage Current? Causes, Maximum Values, Measurement What Is Acceptable Leakage Current Leakage current, often referred to as “stray current,” is the flow of electric current along unintended paths in an electrical circuit. Leakage current is an electric current in an unintended conductive path under normal conditions [source: The measured leakage current values are compared with acceptable limits. • per the nec and abyc standards noted in this article, a single vessel. What Is Acceptable Leakage Current.
From www.youtube.com
Basics of Leakage Current Testing YouTube What Is Acceptable Leakage Current Leakage currents are currents that are derived from normal and abnormal connections of the source to the safety earth. Leakage current is an electric current in an unintended conductive path under normal conditions [source: • per the nec and abyc standards noted in this article, a single vessel leaking 30 ma or more is not an acceptable amount of leakage.. What Is Acceptable Leakage Current.
From www.asutpp.com
Leakage Current A Comprehensive Guide What Is Acceptable Leakage Current Leakage current is the sum of all ac currents from mains conductors to ground through these resistances and impedances: Leakage current, often referred to as “stray current,” is the flow of electric current along unintended paths in an electrical circuit. Leakage current is an electric current in an unintended conductive path under normal conditions [source: • per the nec and. What Is Acceptable Leakage Current.
From www.researchgate.net
IV curve of the QSD. The leakage currents are plotted as a function of What Is Acceptable Leakage Current Leakage current is an electric current in an unintended conductive path under normal conditions [source: The definition in question precisely establishes. Leakage currents are currents that are derived from normal and abnormal connections of the source to the safety earth. In general, leakage currents are more easily identified that. These limits are based on the type of product being tested,.. What Is Acceptable Leakage Current.
From www.researchgate.net
Graph showing leakage current versus Vdd [1, 4]. Download Scientific What Is Acceptable Leakage Current These limits are based on the type of product being tested,. • per the nec and abyc standards noted in this article, a single vessel leaking 30 ma or more is not an acceptable amount of leakage. Leakage current is the sum of all ac currents from mains conductors to ground through these resistances and impedances: Leakage current, often referred. What Is Acceptable Leakage Current.
From www.asutpp.com
What is Leakage Current? Causes, Maximum Values, Measurement What Is Acceptable Leakage Current Leakage currents are currents that are derived from normal and abnormal connections of the source to the safety earth. The measured leakage current values are compared with acceptable limits. Leakage current is the current that streams from either dc or ac circuit in an equipment to the ground or framework and can. In general, leakage currents are more easily identified. What Is Acceptable Leakage Current.
From www.wiring-regulations.co.uk
What is leakage current Wiring Regulations Information What Is Acceptable Leakage Current The measured leakage current values are compared with acceptable limits. Leakage current is an electric current in an unintended conductive path under normal conditions [source: Leakage current, often referred to as “stray current,” is the flow of electric current along unintended paths in an electrical circuit. In general, leakage currents are more easily identified that. Leakage current is the sum. What Is Acceptable Leakage Current.
From www.eeworldonline.com
What is leakage current? Electrical Engineering News and Products What Is Acceptable Leakage Current These limits are based on the type of product being tested,. In general, leakage currents are more easily identified that. • per the nec and abyc standards noted in this article, a single vessel leaking 30 ma or more is not an acceptable amount of leakage. Leakage current is the current that streams from either dc or ac circuit in. What Is Acceptable Leakage Current.
From nanohub.org
Resources ECE 695A Lecture 23 Characterization of What Is Acceptable Leakage Current Leakage current is an electric current in an unintended conductive path under normal conditions [source: In general, leakage currents are more easily identified that. Leakage current is the current that streams from either dc or ac circuit in an equipment to the ground or framework and can. Leakage current, often referred to as “stray current,” is the flow of electric. What Is Acceptable Leakage Current.
From circuitdbmcveigh.z19.web.core.windows.net
Earth Leakage Current Calculation What Is Acceptable Leakage Current Leakage current is the sum of all ac currents from mains conductors to ground through these resistances and impedances: Leakage current is an electric current in an unintended conductive path under normal conditions [source: In general, leakage currents are more easily identified that. These limits are based on the type of product being tested,. The measured leakage current values are. What Is Acceptable Leakage Current.
From ramtechno.com
The Ultimate Guide to Leakage Current for Medical Equipment RAM What Is Acceptable Leakage Current Leakage currents are currents that are derived from normal and abnormal connections of the source to the safety earth. The measured leakage current values are compared with acceptable limits. Leakage current is the current that streams from either dc or ac circuit in an equipment to the ground or framework and can. • per the nec and abyc standards noted. What Is Acceptable Leakage Current.
From forumautomation.com
What is leakage class rating (Valve Design)? Valves Industrial What Is Acceptable Leakage Current Leakage currents are currents that are derived from normal and abnormal connections of the source to the safety earth. The definition in question precisely establishes. The measured leakage current values are compared with acceptable limits. Leakage current is the current that streams from either dc or ac circuit in an equipment to the ground or framework and can. Leakage current. What Is Acceptable Leakage Current.