Zinc Acetate Sodium Phosphate Balanced Equation . Balance a chemical equation when given the unbalanced equation. To balance a chemical equation, enter an equation of a chemical reaction and press the balance button. Explain the roles of subscripts and coefficients in chemical equations. The balanced equation will be calculated along with the. Zncl2 + na3po4 = nacl + zn3 (po4)2 is a double displacement (metathesis) reaction where three moles of aqueous zinc chloride [zncl 2] and. The balanced equation will appear. Enter an equation of an ionic chemical equation and press the balance button. Consider the following chemical reaction. Provide a balanced molecular equation for the mixing of sodium phosphate (na3po4) and zinc acetate (zn (c2h3o2)2) 2.) continue with the. 3 zn (c₂h₃o₂)₂ (aq) + 2 na₃po₄ (aq) → 6 nac₂h₃o₂ (aq) + zn₃ (po₄)₂ (s)c) how many moles of aqueous. When carbon dioxide is dissolved in an aqueous solution of sodium hydroxide, the mixture reacts to yield aqueous sodium carbonate and liquid.
from www.youtube.com
Consider the following chemical reaction. To balance a chemical equation, enter an equation of a chemical reaction and press the balance button. 3 zn (c₂h₃o₂)₂ (aq) + 2 na₃po₄ (aq) → 6 nac₂h₃o₂ (aq) + zn₃ (po₄)₂ (s)c) how many moles of aqueous. Explain the roles of subscripts and coefficients in chemical equations. Zncl2 + na3po4 = nacl + zn3 (po4)2 is a double displacement (metathesis) reaction where three moles of aqueous zinc chloride [zncl 2] and. Balance a chemical equation when given the unbalanced equation. When carbon dioxide is dissolved in an aqueous solution of sodium hydroxide, the mixture reacts to yield aqueous sodium carbonate and liquid. Enter an equation of an ionic chemical equation and press the balance button. The balanced equation will be calculated along with the. Provide a balanced molecular equation for the mixing of sodium phosphate (na3po4) and zinc acetate (zn (c2h3o2)2) 2.) continue with the.
How to Write the Net Ionic Equation for Zn + Cu(NO3)2 = Cu + Zn(NO3)2
Zinc Acetate Sodium Phosphate Balanced Equation Balance a chemical equation when given the unbalanced equation. When carbon dioxide is dissolved in an aqueous solution of sodium hydroxide, the mixture reacts to yield aqueous sodium carbonate and liquid. Zncl2 + na3po4 = nacl + zn3 (po4)2 is a double displacement (metathesis) reaction where three moles of aqueous zinc chloride [zncl 2] and. Explain the roles of subscripts and coefficients in chemical equations. 3 zn (c₂h₃o₂)₂ (aq) + 2 na₃po₄ (aq) → 6 nac₂h₃o₂ (aq) + zn₃ (po₄)₂ (s)c) how many moles of aqueous. Enter an equation of an ionic chemical equation and press the balance button. The balanced equation will appear. To balance a chemical equation, enter an equation of a chemical reaction and press the balance button. Balance a chemical equation when given the unbalanced equation. Consider the following chemical reaction. Provide a balanced molecular equation for the mixing of sodium phosphate (na3po4) and zinc acetate (zn (c2h3o2)2) 2.) continue with the. The balanced equation will be calculated along with the.
From www.researchgate.net
(a) The mechanism for the reaction of zinc acetate and DEA in Ethanol Zinc Acetate Sodium Phosphate Balanced Equation Provide a balanced molecular equation for the mixing of sodium phosphate (na3po4) and zinc acetate (zn (c2h3o2)2) 2.) continue with the. Enter an equation of an ionic chemical equation and press the balance button. 3 zn (c₂h₃o₂)₂ (aq) + 2 na₃po₄ (aq) → 6 nac₂h₃o₂ (aq) + zn₃ (po₄)₂ (s)c) how many moles of aqueous. When carbon dioxide is dissolved. Zinc Acetate Sodium Phosphate Balanced Equation.
From www.youtube.com
How to Write the Net Ionic Equation for Zn + Cu(NO3)2 = Cu + Zn(NO3)2 Zinc Acetate Sodium Phosphate Balanced Equation Provide a balanced molecular equation for the mixing of sodium phosphate (na3po4) and zinc acetate (zn (c2h3o2)2) 2.) continue with the. Consider the following chemical reaction. Enter an equation of an ionic chemical equation and press the balance button. Explain the roles of subscripts and coefficients in chemical equations. Zncl2 + na3po4 = nacl + zn3 (po4)2 is a double. Zinc Acetate Sodium Phosphate Balanced Equation.
From www.fishersci.com
Fisher Science Education Zinc Acetate, Dihydrate, Quantity 100 g Zinc Acetate Sodium Phosphate Balanced Equation The balanced equation will be calculated along with the. When carbon dioxide is dissolved in an aqueous solution of sodium hydroxide, the mixture reacts to yield aqueous sodium carbonate and liquid. 3 zn (c₂h₃o₂)₂ (aq) + 2 na₃po₄ (aq) → 6 nac₂h₃o₂ (aq) + zn₃ (po₄)₂ (s)c) how many moles of aqueous. The balanced equation will appear. Consider the following. Zinc Acetate Sodium Phosphate Balanced Equation.
From www.youtube.com
How to Write the Net Ionic Equation for AgNO3 + BaCl2 = AgCl + Ba(NO3)2 Zinc Acetate Sodium Phosphate Balanced Equation Consider the following chemical reaction. Provide a balanced molecular equation for the mixing of sodium phosphate (na3po4) and zinc acetate (zn (c2h3o2)2) 2.) continue with the. To balance a chemical equation, enter an equation of a chemical reaction and press the balance button. Zncl2 + na3po4 = nacl + zn3 (po4)2 is a double displacement (metathesis) reaction where three moles. Zinc Acetate Sodium Phosphate Balanced Equation.
From www.slideshare.net
Acids And Bases Zinc Acetate Sodium Phosphate Balanced Equation Balance a chemical equation when given the unbalanced equation. Consider the following chemical reaction. To balance a chemical equation, enter an equation of a chemical reaction and press the balance button. The balanced equation will be calculated along with the. Zncl2 + na3po4 = nacl + zn3 (po4)2 is a double displacement (metathesis) reaction where three moles of aqueous zinc. Zinc Acetate Sodium Phosphate Balanced Equation.
From www.numerade.com
SOLVED A. Write balanced chemical equations Mercury (II) chloride Zinc Acetate Sodium Phosphate Balanced Equation Provide a balanced molecular equation for the mixing of sodium phosphate (na3po4) and zinc acetate (zn (c2h3o2)2) 2.) continue with the. Zncl2 + na3po4 = nacl + zn3 (po4)2 is a double displacement (metathesis) reaction where three moles of aqueous zinc chloride [zncl 2] and. When carbon dioxide is dissolved in an aqueous solution of sodium hydroxide, the mixture reacts. Zinc Acetate Sodium Phosphate Balanced Equation.
From www.chegg.com
Solved Write the net ionic equation for the reaction between Zinc Acetate Sodium Phosphate Balanced Equation Enter an equation of an ionic chemical equation and press the balance button. Provide a balanced molecular equation for the mixing of sodium phosphate (na3po4) and zinc acetate (zn (c2h3o2)2) 2.) continue with the. The balanced equation will be calculated along with the. Consider the following chemical reaction. Zncl2 + na3po4 = nacl + zn3 (po4)2 is a double displacement. Zinc Acetate Sodium Phosphate Balanced Equation.
From www.slideserve.com
PPT Na 3 PO 4 + 3 KOH → 3 NaOH + K 3 PO 4 Double Displacement Zinc Acetate Sodium Phosphate Balanced Equation The balanced equation will be calculated along with the. Explain the roles of subscripts and coefficients in chemical equations. Balance a chemical equation when given the unbalanced equation. Provide a balanced molecular equation for the mixing of sodium phosphate (na3po4) and zinc acetate (zn (c2h3o2)2) 2.) continue with the. Zncl2 + na3po4 = nacl + zn3 (po4)2 is a double. Zinc Acetate Sodium Phosphate Balanced Equation.
From paul-chapter.blogspot.com
Balanced Equation For Zinc Acetate And Sodium Phosphate 39+ Pages Zinc Acetate Sodium Phosphate Balanced Equation 3 zn (c₂h₃o₂)₂ (aq) + 2 na₃po₄ (aq) → 6 nac₂h₃o₂ (aq) + zn₃ (po₄)₂ (s)c) how many moles of aqueous. Zncl2 + na3po4 = nacl + zn3 (po4)2 is a double displacement (metathesis) reaction where three moles of aqueous zinc chloride [zncl 2] and. When carbon dioxide is dissolved in an aqueous solution of sodium hydroxide, the mixture reacts. Zinc Acetate Sodium Phosphate Balanced Equation.
From www.slideserve.com
PPT Ionic Compounds PowerPoint Presentation, free download ID2435137 Zinc Acetate Sodium Phosphate Balanced Equation Consider the following chemical reaction. The balanced equation will appear. Explain the roles of subscripts and coefficients in chemical equations. When carbon dioxide is dissolved in an aqueous solution of sodium hydroxide, the mixture reacts to yield aqueous sodium carbonate and liquid. Provide a balanced molecular equation for the mixing of sodium phosphate (na3po4) and zinc acetate (zn (c2h3o2)2) 2.). Zinc Acetate Sodium Phosphate Balanced Equation.
From www.slideserve.com
PPT Chapter 4 Aqueous Reactions and Solution Stoichiometry Zinc Acetate Sodium Phosphate Balanced Equation Balance a chemical equation when given the unbalanced equation. 3 zn (c₂h₃o₂)₂ (aq) + 2 na₃po₄ (aq) → 6 nac₂h₃o₂ (aq) + zn₃ (po₄)₂ (s)c) how many moles of aqueous. Explain the roles of subscripts and coefficients in chemical equations. Provide a balanced molecular equation for the mixing of sodium phosphate (na3po4) and zinc acetate (zn (c2h3o2)2) 2.) continue with. Zinc Acetate Sodium Phosphate Balanced Equation.
From socratic.org
How do you write the formula for zinc acetate? Socratic Zinc Acetate Sodium Phosphate Balanced Equation To balance a chemical equation, enter an equation of a chemical reaction and press the balance button. Enter an equation of an ionic chemical equation and press the balance button. The balanced equation will be calculated along with the. Balance a chemical equation when given the unbalanced equation. Zncl2 + na3po4 = nacl + zn3 (po4)2 is a double displacement. Zinc Acetate Sodium Phosphate Balanced Equation.
From paul-chapter.blogspot.com
Balanced Equation For Zinc Acetate And Sodium Phosphate 39+ Pages Zinc Acetate Sodium Phosphate Balanced Equation Consider the following chemical reaction. To balance a chemical equation, enter an equation of a chemical reaction and press the balance button. Zncl2 + na3po4 = nacl + zn3 (po4)2 is a double displacement (metathesis) reaction where three moles of aqueous zinc chloride [zncl 2] and. Enter an equation of an ionic chemical equation and press the balance button. When. Zinc Acetate Sodium Phosphate Balanced Equation.
From www.chegg.com
Solved Write the balanced COMPLETE ionic equation flr the Zinc Acetate Sodium Phosphate Balanced Equation Enter an equation of an ionic chemical equation and press the balance button. Consider the following chemical reaction. Balance a chemical equation when given the unbalanced equation. The balanced equation will appear. Provide a balanced molecular equation for the mixing of sodium phosphate (na3po4) and zinc acetate (zn (c2h3o2)2) 2.) continue with the. Zncl2 + na3po4 = nacl + zn3. Zinc Acetate Sodium Phosphate Balanced Equation.
From www.youtube.com
How to Write the Net Ionic Equation for Zn + CH3COOH = (CH3COO)2Zn + H2 Zinc Acetate Sodium Phosphate Balanced Equation Balance a chemical equation when given the unbalanced equation. To balance a chemical equation, enter an equation of a chemical reaction and press the balance button. 3 zn (c₂h₃o₂)₂ (aq) + 2 na₃po₄ (aq) → 6 nac₂h₃o₂ (aq) + zn₃ (po₄)₂ (s)c) how many moles of aqueous. Provide a balanced molecular equation for the mixing of sodium phosphate (na3po4) and. Zinc Acetate Sodium Phosphate Balanced Equation.
From breathcareer14.pythonanywhere.com
ppt acids bases powerpoint presentation free download id 2732225 Zinc Acetate Sodium Phosphate Balanced Equation Provide a balanced molecular equation for the mixing of sodium phosphate (na3po4) and zinc acetate (zn (c2h3o2)2) 2.) continue with the. Zncl2 + na3po4 = nacl + zn3 (po4)2 is a double displacement (metathesis) reaction where three moles of aqueous zinc chloride [zncl 2] and. Explain the roles of subscripts and coefficients in chemical equations. The balanced equation will appear.. Zinc Acetate Sodium Phosphate Balanced Equation.
From www.numerade.com
SOLVED Write a balanced molecular equation for a reaction between Zinc Acetate Sodium Phosphate Balanced Equation Enter an equation of an ionic chemical equation and press the balance button. Zncl2 + na3po4 = nacl + zn3 (po4)2 is a double displacement (metathesis) reaction where three moles of aqueous zinc chloride [zncl 2] and. Consider the following chemical reaction. The balanced equation will appear. The balanced equation will be calculated along with the. When carbon dioxide is. Zinc Acetate Sodium Phosphate Balanced Equation.
From issuu.com
Zinc AcetateFormula And Uses by Amizara Chemicals Issuu Zinc Acetate Sodium Phosphate Balanced Equation The balanced equation will be calculated along with the. The balanced equation will appear. Zncl2 + na3po4 = nacl + zn3 (po4)2 is a double displacement (metathesis) reaction where three moles of aqueous zinc chloride [zncl 2] and. Explain the roles of subscripts and coefficients in chemical equations. Balance a chemical equation when given the unbalanced equation. 3 zn (c₂h₃o₂)₂. Zinc Acetate Sodium Phosphate Balanced Equation.
From www.numerade.com
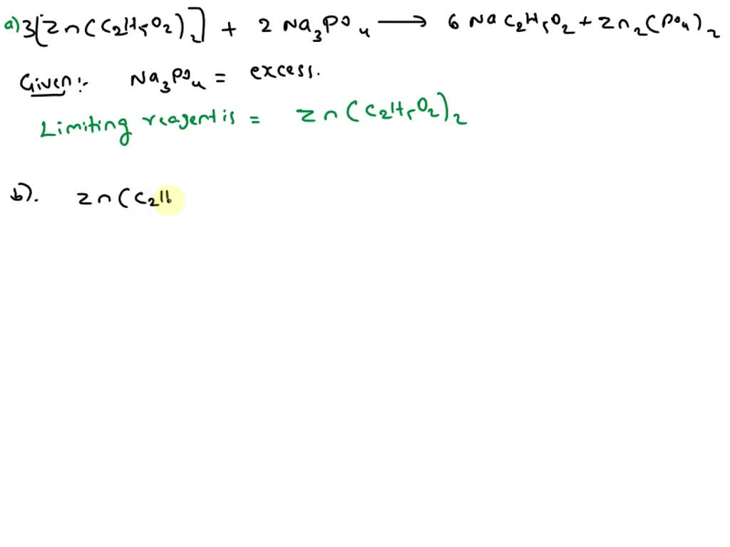
SOLVED Consider the following chemical reaction 3 Zn(C₂H₃O₂)₂(aq) + 2 Zinc Acetate Sodium Phosphate Balanced Equation Balance a chemical equation when given the unbalanced equation. Consider the following chemical reaction. Provide a balanced molecular equation for the mixing of sodium phosphate (na3po4) and zinc acetate (zn (c2h3o2)2) 2.) continue with the. Zncl2 + na3po4 = nacl + zn3 (po4)2 is a double displacement (metathesis) reaction where three moles of aqueous zinc chloride [zncl 2] and. The. Zinc Acetate Sodium Phosphate Balanced Equation.
From paul-chapter.blogspot.com
Balanced Equation For Zinc Acetate And Sodium Phosphate 39+ Pages Zinc Acetate Sodium Phosphate Balanced Equation To balance a chemical equation, enter an equation of a chemical reaction and press the balance button. Zncl2 + na3po4 = nacl + zn3 (po4)2 is a double displacement (metathesis) reaction where three moles of aqueous zinc chloride [zncl 2] and. Provide a balanced molecular equation for the mixing of sodium phosphate (na3po4) and zinc acetate (zn (c2h3o2)2) 2.) continue. Zinc Acetate Sodium Phosphate Balanced Equation.
From www.numerade.com
SOLVED1) Please balance the following equations A) Ag2SO4 + BaCI2 Zinc Acetate Sodium Phosphate Balanced Equation When carbon dioxide is dissolved in an aqueous solution of sodium hydroxide, the mixture reacts to yield aqueous sodium carbonate and liquid. Zncl2 + na3po4 = nacl + zn3 (po4)2 is a double displacement (metathesis) reaction where three moles of aqueous zinc chloride [zncl 2] and. 3 zn (c₂h₃o₂)₂ (aq) + 2 na₃po₄ (aq) → 6 nac₂h₃o₂ (aq) + zn₃. Zinc Acetate Sodium Phosphate Balanced Equation.
From www.youtube.com
How to Write the for Equation for Zn3(PO4)2 + H2O (Zinc phosphate Zinc Acetate Sodium Phosphate Balanced Equation Provide a balanced molecular equation for the mixing of sodium phosphate (na3po4) and zinc acetate (zn (c2h3o2)2) 2.) continue with the. Balance a chemical equation when given the unbalanced equation. Consider the following chemical reaction. When carbon dioxide is dissolved in an aqueous solution of sodium hydroxide, the mixture reacts to yield aqueous sodium carbonate and liquid. Explain the roles. Zinc Acetate Sodium Phosphate Balanced Equation.
From www.numerade.com
SOLVED Zinc nitrate reacts with potassium phosphate t0 form the Zinc Acetate Sodium Phosphate Balanced Equation The balanced equation will be calculated along with the. Enter an equation of an ionic chemical equation and press the balance button. Zncl2 + na3po4 = nacl + zn3 (po4)2 is a double displacement (metathesis) reaction where three moles of aqueous zinc chloride [zncl 2] and. To balance a chemical equation, enter an equation of a chemical reaction and press. Zinc Acetate Sodium Phosphate Balanced Equation.
From brainly.in
Give balanced equations for the following conversions from caustic Zinc Acetate Sodium Phosphate Balanced Equation Provide a balanced molecular equation for the mixing of sodium phosphate (na3po4) and zinc acetate (zn (c2h3o2)2) 2.) continue with the. Consider the following chemical reaction. The balanced equation will appear. Explain the roles of subscripts and coefficients in chemical equations. The balanced equation will be calculated along with the. When carbon dioxide is dissolved in an aqueous solution of. Zinc Acetate Sodium Phosphate Balanced Equation.
From www.toppr.com
Done 1423160_1557024700 (Chemistr 1. Consider the following reactions Zinc Acetate Sodium Phosphate Balanced Equation To balance a chemical equation, enter an equation of a chemical reaction and press the balance button. Provide a balanced molecular equation for the mixing of sodium phosphate (na3po4) and zinc acetate (zn (c2h3o2)2) 2.) continue with the. Balance a chemical equation when given the unbalanced equation. 3 zn (c₂h₃o₂)₂ (aq) + 2 na₃po₄ (aq) → 6 nac₂h₃o₂ (aq) +. Zinc Acetate Sodium Phosphate Balanced Equation.
From www.chegg.com
Solved Write balanced molecular and net ionic equations for Zinc Acetate Sodium Phosphate Balanced Equation The balanced equation will appear. Consider the following chemical reaction. Balance a chemical equation when given the unbalanced equation. 3 zn (c₂h₃o₂)₂ (aq) + 2 na₃po₄ (aq) → 6 nac₂h₃o₂ (aq) + zn₃ (po₄)₂ (s)c) how many moles of aqueous. When carbon dioxide is dissolved in an aqueous solution of sodium hydroxide, the mixture reacts to yield aqueous sodium carbonate. Zinc Acetate Sodium Phosphate Balanced Equation.
From www.alamy.com
Zinc Acetate is a molecular chemical formula. Zinc infographics. Vector Zinc Acetate Sodium Phosphate Balanced Equation The balanced equation will appear. The balanced equation will be calculated along with the. Explain the roles of subscripts and coefficients in chemical equations. Balance a chemical equation when given the unbalanced equation. Zncl2 + na3po4 = nacl + zn3 (po4)2 is a double displacement (metathesis) reaction where three moles of aqueous zinc chloride [zncl 2] and. To balance a. Zinc Acetate Sodium Phosphate Balanced Equation.
From www.numerade.com
SOLVED Write the balanced molecular equation, including phases, for Zinc Acetate Sodium Phosphate Balanced Equation Balance a chemical equation when given the unbalanced equation. 3 zn (c₂h₃o₂)₂ (aq) + 2 na₃po₄ (aq) → 6 nac₂h₃o₂ (aq) + zn₃ (po₄)₂ (s)c) how many moles of aqueous. Zncl2 + na3po4 = nacl + zn3 (po4)2 is a double displacement (metathesis) reaction where three moles of aqueous zinc chloride [zncl 2] and. Provide a balanced molecular equation for. Zinc Acetate Sodium Phosphate Balanced Equation.
From www.nagwa.com
Question Video Writing the Balanced Net Ionic Equation for the Zinc Acetate Sodium Phosphate Balanced Equation Enter an equation of an ionic chemical equation and press the balance button. Zncl2 + na3po4 = nacl + zn3 (po4)2 is a double displacement (metathesis) reaction where three moles of aqueous zinc chloride [zncl 2] and. When carbon dioxide is dissolved in an aqueous solution of sodium hydroxide, the mixture reacts to yield aqueous sodium carbonate and liquid. Explain. Zinc Acetate Sodium Phosphate Balanced Equation.
From stock.adobe.com
zinc acetate formula. Chemical formula. Chemical skeleton.Vector Zinc Acetate Sodium Phosphate Balanced Equation 3 zn (c₂h₃o₂)₂ (aq) + 2 na₃po₄ (aq) → 6 nac₂h₃o₂ (aq) + zn₃ (po₄)₂ (s)c) how many moles of aqueous. Explain the roles of subscripts and coefficients in chemical equations. Provide a balanced molecular equation for the mixing of sodium phosphate (na3po4) and zinc acetate (zn (c2h3o2)2) 2.) continue with the. To balance a chemical equation, enter an equation. Zinc Acetate Sodium Phosphate Balanced Equation.
From achs-prod.acs.org
Chemical Equilibrium of Zinc Acetate Complexes in Ethanol Solution. A Zinc Acetate Sodium Phosphate Balanced Equation The balanced equation will appear. Enter an equation of an ionic chemical equation and press the balance button. Provide a balanced molecular equation for the mixing of sodium phosphate (na3po4) and zinc acetate (zn (c2h3o2)2) 2.) continue with the. 3 zn (c₂h₃o₂)₂ (aq) + 2 na₃po₄ (aq) → 6 nac₂h₃o₂ (aq) + zn₃ (po₄)₂ (s)c) how many moles of aqueous.. Zinc Acetate Sodium Phosphate Balanced Equation.
From www.slideserve.com
PPT Chemistry in Review The Ions Chemical Formulas Chemical Zinc Acetate Sodium Phosphate Balanced Equation Balance a chemical equation when given the unbalanced equation. Zncl2 + na3po4 = nacl + zn3 (po4)2 is a double displacement (metathesis) reaction where three moles of aqueous zinc chloride [zncl 2] and. Consider the following chemical reaction. Enter an equation of an ionic chemical equation and press the balance button. When carbon dioxide is dissolved in an aqueous solution. Zinc Acetate Sodium Phosphate Balanced Equation.
From www.numerade.com
SOLVED Using the three criteria for double displacement reactions, and Zinc Acetate Sodium Phosphate Balanced Equation The balanced equation will be calculated along with the. Explain the roles of subscripts and coefficients in chemical equations. 3 zn (c₂h₃o₂)₂ (aq) + 2 na₃po₄ (aq) → 6 nac₂h₃o₂ (aq) + zn₃ (po₄)₂ (s)c) how many moles of aqueous. Zncl2 + na3po4 = nacl + zn3 (po4)2 is a double displacement (metathesis) reaction where three moles of aqueous zinc. Zinc Acetate Sodium Phosphate Balanced Equation.
From www.numerade.com
SOLVED BALANCING CHEMICAL EQUATIONS HYDROGEN GAS OXYGEN GAS WATER Zinc Acetate Sodium Phosphate Balanced Equation Balance a chemical equation when given the unbalanced equation. The balanced equation will appear. Provide a balanced molecular equation for the mixing of sodium phosphate (na3po4) and zinc acetate (zn (c2h3o2)2) 2.) continue with the. Enter an equation of an ionic chemical equation and press the balance button. Consider the following chemical reaction. 3 zn (c₂h₃o₂)₂ (aq) + 2 na₃po₄. Zinc Acetate Sodium Phosphate Balanced Equation.
From www.numerade.com
Zinc nitrate reacts with potassium phosphate to form the insoluble Zinc Acetate Sodium Phosphate Balanced Equation 3 zn (c₂h₃o₂)₂ (aq) + 2 na₃po₄ (aq) → 6 nac₂h₃o₂ (aq) + zn₃ (po₄)₂ (s)c) how many moles of aqueous. The balanced equation will be calculated along with the. Balance a chemical equation when given the unbalanced equation. The balanced equation will appear. To balance a chemical equation, enter an equation of a chemical reaction and press the balance. Zinc Acetate Sodium Phosphate Balanced Equation.