What Happens When Potassium Reacts With Sulfur . when sulfur reacts with potassium, they form potassium sulfide. each potassium atom donates its outermost electron to the sulfur atom, forming ions with a 1+ charge, due to the loss of an electron. any sulphur present would be rapidly oxidised to sulphur dioxide and possibly some sulphur trioxide. magnesium and nitrogen react to form an ionic compound. sulfur reacts with hot aqueous potassium hydroxide, koh, forming potassium sulfide and thiosulfate: So, it reacts with fluorine, f 2, chlorine, cl 2,. S 8 (s) + 12 koh (aq) 4 k 2. study with quizlet and memorise flashcards containing terms like (a) potassium forms an ionic compound with sulfur. as sulphur has only 6 electrons on its outer shell, and 8 is the number required for stability, it must bond with 2 potassium. potassium metal reacts vigorously with all the halogens to form potassium halides. This reaction involves the transfer of electrons. Predict which forms an anion, which forms a cation, and.
from brainly.in
Predict which forms an anion, which forms a cation, and. So, it reacts with fluorine, f 2, chlorine, cl 2,. magnesium and nitrogen react to form an ionic compound. any sulphur present would be rapidly oxidised to sulphur dioxide and possibly some sulphur trioxide. sulfur reacts with hot aqueous potassium hydroxide, koh, forming potassium sulfide and thiosulfate: when sulfur reacts with potassium, they form potassium sulfide. potassium metal reacts vigorously with all the halogens to form potassium halides. This reaction involves the transfer of electrons. study with quizlet and memorise flashcards containing terms like (a) potassium forms an ionic compound with sulfur. as sulphur has only 6 electrons on its outer shell, and 8 is the number required for stability, it must bond with 2 potassium.
what happen when sulphur dioxide gas is passed into an aqueous solution
What Happens When Potassium Reacts With Sulfur This reaction involves the transfer of electrons. any sulphur present would be rapidly oxidised to sulphur dioxide and possibly some sulphur trioxide. as sulphur has only 6 electrons on its outer shell, and 8 is the number required for stability, it must bond with 2 potassium. study with quizlet and memorise flashcards containing terms like (a) potassium forms an ionic compound with sulfur. each potassium atom donates its outermost electron to the sulfur atom, forming ions with a 1+ charge, due to the loss of an electron. This reaction involves the transfer of electrons. So, it reacts with fluorine, f 2, chlorine, cl 2,. sulfur reacts with hot aqueous potassium hydroxide, koh, forming potassium sulfide and thiosulfate: potassium metal reacts vigorously with all the halogens to form potassium halides. Predict which forms an anion, which forms a cation, and. when sulfur reacts with potassium, they form potassium sulfide. S 8 (s) + 12 koh (aq) 4 k 2. magnesium and nitrogen react to form an ionic compound.
From brainly.in
chemical equation when potassium metal reacts with water Brainly.in What Happens When Potassium Reacts With Sulfur any sulphur present would be rapidly oxidised to sulphur dioxide and possibly some sulphur trioxide. magnesium and nitrogen react to form an ionic compound. study with quizlet and memorise flashcards containing terms like (a) potassium forms an ionic compound with sulfur. each potassium atom donates its outermost electron to the sulfur atom, forming ions with a. What Happens When Potassium Reacts With Sulfur.
From www.chegg.com
Solved What mass of potassium must react with water to What Happens When Potassium Reacts With Sulfur S 8 (s) + 12 koh (aq) 4 k 2. each potassium atom donates its outermost electron to the sulfur atom, forming ions with a 1+ charge, due to the loss of an electron. Predict which forms an anion, which forms a cation, and. This reaction involves the transfer of electrons. when sulfur reacts with potassium, they form. What Happens When Potassium Reacts With Sulfur.
From www.youtube.com
Potassium metal reacts with concentrated sulfuric acid YouTube What Happens When Potassium Reacts With Sulfur as sulphur has only 6 electrons on its outer shell, and 8 is the number required for stability, it must bond with 2 potassium. This reaction involves the transfer of electrons. magnesium and nitrogen react to form an ionic compound. each potassium atom donates its outermost electron to the sulfur atom, forming ions with a 1+ charge,. What Happens When Potassium Reacts With Sulfur.
From www.toppr.com
What happen when?Copper sulphate reacts with potassium iodide. What Happens When Potassium Reacts With Sulfur study with quizlet and memorise flashcards containing terms like (a) potassium forms an ionic compound with sulfur. magnesium and nitrogen react to form an ionic compound. potassium metal reacts vigorously with all the halogens to form potassium halides. S 8 (s) + 12 koh (aq) 4 k 2. This reaction involves the transfer of electrons. when. What Happens When Potassium Reacts With Sulfur.
From brainly.in
what happens when sulphur dioxide reacts with potassium dichromate What Happens When Potassium Reacts With Sulfur each potassium atom donates its outermost electron to the sulfur atom, forming ions with a 1+ charge, due to the loss of an electron. Predict which forms an anion, which forms a cation, and. magnesium and nitrogen react to form an ionic compound. This reaction involves the transfer of electrons. sulfur reacts with hot aqueous potassium hydroxide,. What Happens When Potassium Reacts With Sulfur.
From www.doubtnut.com
What happens when (a). FeSO(4) reacts with potassium ferricyanide What Happens When Potassium Reacts With Sulfur study with quizlet and memorise flashcards containing terms like (a) potassium forms an ionic compound with sulfur. sulfur reacts with hot aqueous potassium hydroxide, koh, forming potassium sulfide and thiosulfate: as sulphur has only 6 electrons on its outer shell, and 8 is the number required for stability, it must bond with 2 potassium. each potassium. What Happens When Potassium Reacts With Sulfur.
From www.youtube.com
Reaction of Potassium (K) and Oxygen (O2) YouTube What Happens When Potassium Reacts With Sulfur each potassium atom donates its outermost electron to the sulfur atom, forming ions with a 1+ charge, due to the loss of an electron. So, it reacts with fluorine, f 2, chlorine, cl 2,. sulfur reacts with hot aqueous potassium hydroxide, koh, forming potassium sulfide and thiosulfate: S 8 (s) + 12 koh (aq) 4 k 2. . What Happens When Potassium Reacts With Sulfur.
From www.gauthmath.com
Solved Potassium and sulfur react to form an ionic compound. What is What Happens When Potassium Reacts With Sulfur study with quizlet and memorise flashcards containing terms like (a) potassium forms an ionic compound with sulfur. each potassium atom donates its outermost electron to the sulfur atom, forming ions with a 1+ charge, due to the loss of an electron. This reaction involves the transfer of electrons. any sulphur present would be rapidly oxidised to sulphur. What Happens When Potassium Reacts With Sulfur.
From www.coursehero.com
[Solved] Please label fully. Write a balanced chemical equation based What Happens When Potassium Reacts With Sulfur each potassium atom donates its outermost electron to the sulfur atom, forming ions with a 1+ charge, due to the loss of an electron. potassium metal reacts vigorously with all the halogens to form potassium halides. Predict which forms an anion, which forms a cation, and. any sulphur present would be rapidly oxidised to sulphur dioxide and. What Happens When Potassium Reacts With Sulfur.
From brainly.in
what happen when sulphur dioxide gas is passed into an aqueous solution What Happens When Potassium Reacts With Sulfur as sulphur has only 6 electrons on its outer shell, and 8 is the number required for stability, it must bond with 2 potassium. magnesium and nitrogen react to form an ionic compound. when sulfur reacts with potassium, they form potassium sulfide. So, it reacts with fluorine, f 2, chlorine, cl 2,. potassium metal reacts vigorously. What Happens When Potassium Reacts With Sulfur.
From www.numerade.com
SOLVEDUse the halfreaction method to determine the net ionic redox What Happens When Potassium Reacts With Sulfur when sulfur reacts with potassium, they form potassium sulfide. study with quizlet and memorise flashcards containing terms like (a) potassium forms an ionic compound with sulfur. potassium metal reacts vigorously with all the halogens to form potassium halides. S 8 (s) + 12 koh (aq) 4 k 2. Predict which forms an anion, which forms a cation,. What Happens When Potassium Reacts With Sulfur.
From www.youtube.com
Reaction of Sodium Hydroxide and Copper Sulfate YouTube What Happens When Potassium Reacts With Sulfur any sulphur present would be rapidly oxidised to sulphur dioxide and possibly some sulphur trioxide. So, it reacts with fluorine, f 2, chlorine, cl 2,. Predict which forms an anion, which forms a cation, and. sulfur reacts with hot aqueous potassium hydroxide, koh, forming potassium sulfide and thiosulfate: study with quizlet and memorise flashcards containing terms like. What Happens When Potassium Reacts With Sulfur.
From www.slideserve.com
PPT Ch 17. J.C. Rowe PowerPoint Presentation ID3099881 What Happens When Potassium Reacts With Sulfur S 8 (s) + 12 koh (aq) 4 k 2. each potassium atom donates its outermost electron to the sulfur atom, forming ions with a 1+ charge, due to the loss of an electron. as sulphur has only 6 electrons on its outer shell, and 8 is the number required for stability, it must bond with 2 potassium.. What Happens When Potassium Reacts With Sulfur.
From loemppvyk.blob.core.windows.net
What Reacts With Sulfur at Giovanni Sadler blog What Happens When Potassium Reacts With Sulfur any sulphur present would be rapidly oxidised to sulphur dioxide and possibly some sulphur trioxide. So, it reacts with fluorine, f 2, chlorine, cl 2,. magnesium and nitrogen react to form an ionic compound. potassium metal reacts vigorously with all the halogens to form potassium halides. This reaction involves the transfer of electrons. each potassium atom. What Happens When Potassium Reacts With Sulfur.
From www.youtube.com
Blood experiment This is what happens when potassium thiocyanate What Happens When Potassium Reacts With Sulfur any sulphur present would be rapidly oxidised to sulphur dioxide and possibly some sulphur trioxide. each potassium atom donates its outermost electron to the sulfur atom, forming ions with a 1+ charge, due to the loss of an electron. potassium metal reacts vigorously with all the halogens to form potassium halides. when sulfur reacts with potassium,. What Happens When Potassium Reacts With Sulfur.
From www.youtube.com
Potassium Chlorate & Sulfur Reaction (2) YouTube What Happens When Potassium Reacts With Sulfur as sulphur has only 6 electrons on its outer shell, and 8 is the number required for stability, it must bond with 2 potassium. This reaction involves the transfer of electrons. sulfur reacts with hot aqueous potassium hydroxide, koh, forming potassium sulfide and thiosulfate: magnesium and nitrogen react to form an ionic compound. when sulfur reacts. What Happens When Potassium Reacts With Sulfur.
From www.slideserve.com
PPT Where are the alkali metals? PowerPoint Presentation, free What Happens When Potassium Reacts With Sulfur This reaction involves the transfer of electrons. as sulphur has only 6 electrons on its outer shell, and 8 is the number required for stability, it must bond with 2 potassium. magnesium and nitrogen react to form an ionic compound. when sulfur reacts with potassium, they form potassium sulfide. potassium metal reacts vigorously with all the. What Happens When Potassium Reacts With Sulfur.
From www.slideshare.net
Chemical Reactions What Happens When Potassium Reacts With Sulfur magnesium and nitrogen react to form an ionic compound. S 8 (s) + 12 koh (aq) 4 k 2. potassium metal reacts vigorously with all the halogens to form potassium halides. Predict which forms an anion, which forms a cation, and. when sulfur reacts with potassium, they form potassium sulfide. any sulphur present would be rapidly. What Happens When Potassium Reacts With Sulfur.
From www.numerade.com
SOLVED Suppose hydrochloric acid reacts with potassium sulfite What Happens When Potassium Reacts With Sulfur S 8 (s) + 12 koh (aq) 4 k 2. magnesium and nitrogen react to form an ionic compound. sulfur reacts with hot aqueous potassium hydroxide, koh, forming potassium sulfide and thiosulfate: This reaction involves the transfer of electrons. when sulfur reacts with potassium, they form potassium sulfide. potassium metal reacts vigorously with all the halogens. What Happens When Potassium Reacts With Sulfur.
From mammothmemory.net
Potassium is very reactive when introduced to water What Happens When Potassium Reacts With Sulfur sulfur reacts with hot aqueous potassium hydroxide, koh, forming potassium sulfide and thiosulfate: any sulphur present would be rapidly oxidised to sulphur dioxide and possibly some sulphur trioxide. potassium metal reacts vigorously with all the halogens to form potassium halides. as sulphur has only 6 electrons on its outer shell, and 8 is the number required. What Happens When Potassium Reacts With Sulfur.
From brainly.in
what happens when potassium metal react with nitric acid Brainly.in What Happens When Potassium Reacts With Sulfur any sulphur present would be rapidly oxidised to sulphur dioxide and possibly some sulphur trioxide. potassium metal reacts vigorously with all the halogens to form potassium halides. sulfur reacts with hot aqueous potassium hydroxide, koh, forming potassium sulfide and thiosulfate: as sulphur has only 6 electrons on its outer shell, and 8 is the number required. What Happens When Potassium Reacts With Sulfur.
From www.youtube.com
What happens when potassium reacts with heat? YouTube What Happens When Potassium Reacts With Sulfur when sulfur reacts with potassium, they form potassium sulfide. So, it reacts with fluorine, f 2, chlorine, cl 2,. Predict which forms an anion, which forms a cation, and. sulfur reacts with hot aqueous potassium hydroxide, koh, forming potassium sulfide and thiosulfate: potassium metal reacts vigorously with all the halogens to form potassium halides. S 8 (s). What Happens When Potassium Reacts With Sulfur.
From www.numerade.com
SOLVED What happens when sulfur dioxide gas is passed into an aqueous What Happens When Potassium Reacts With Sulfur study with quizlet and memorise flashcards containing terms like (a) potassium forms an ionic compound with sulfur. as sulphur has only 6 electrons on its outer shell, and 8 is the number required for stability, it must bond with 2 potassium. each potassium atom donates its outermost electron to the sulfur atom, forming ions with a 1+. What Happens When Potassium Reacts With Sulfur.
From www.youtube.com
Potassium Dichromate + Sulfur Dioxide YouTube What Happens When Potassium Reacts With Sulfur magnesium and nitrogen react to form an ionic compound. when sulfur reacts with potassium, they form potassium sulfide. as sulphur has only 6 electrons on its outer shell, and 8 is the number required for stability, it must bond with 2 potassium. Predict which forms an anion, which forms a cation, and. study with quizlet and. What Happens When Potassium Reacts With Sulfur.
From www.toppr.com
quuuuh? What is the need to balance a chemical equation? 7 What happens What Happens When Potassium Reacts With Sulfur Predict which forms an anion, which forms a cation, and. as sulphur has only 6 electrons on its outer shell, and 8 is the number required for stability, it must bond with 2 potassium. This reaction involves the transfer of electrons. when sulfur reacts with potassium, they form potassium sulfide. each potassium atom donates its outermost electron. What Happens When Potassium Reacts With Sulfur.
From askfilo.com
53. What happens when potassium iodide reacts with acidic solution of pot.. What Happens When Potassium Reacts With Sulfur when sulfur reacts with potassium, they form potassium sulfide. each potassium atom donates its outermost electron to the sulfur atom, forming ions with a 1+ charge, due to the loss of an electron. study with quizlet and memorise flashcards containing terms like (a) potassium forms an ionic compound with sulfur. S 8 (s) + 12 koh (aq). What Happens When Potassium Reacts With Sulfur.
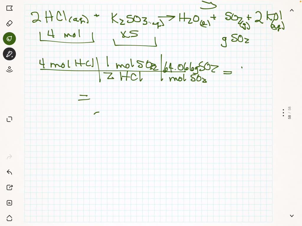
From www.numerade.com
SOLVED What will occur when potassium reacts with sulfur? Ionic bonds What Happens When Potassium Reacts With Sulfur as sulphur has only 6 electrons on its outer shell, and 8 is the number required for stability, it must bond with 2 potassium. magnesium and nitrogen react to form an ionic compound. Predict which forms an anion, which forms a cation, and. So, it reacts with fluorine, f 2, chlorine, cl 2,. sulfur reacts with hot. What Happens When Potassium Reacts With Sulfur.
From www.numerade.com
SOLVED What will occur when potassium reacts with sulfur? Ionic bonds What Happens When Potassium Reacts With Sulfur This reaction involves the transfer of electrons. as sulphur has only 6 electrons on its outer shell, and 8 is the number required for stability, it must bond with 2 potassium. sulfur reacts with hot aqueous potassium hydroxide, koh, forming potassium sulfide and thiosulfate: when sulfur reacts with potassium, they form potassium sulfide. magnesium and nitrogen. What Happens When Potassium Reacts With Sulfur.
From brainly.in
Predict what happens when a potassium phosphate solution is mixed with What Happens When Potassium Reacts With Sulfur each potassium atom donates its outermost electron to the sulfur atom, forming ions with a 1+ charge, due to the loss of an electron. This reaction involves the transfer of electrons. as sulphur has only 6 electrons on its outer shell, and 8 is the number required for stability, it must bond with 2 potassium. Predict which forms. What Happens When Potassium Reacts With Sulfur.
From www.numerade.com
SOLVED When black gunpowder explodes, potassium nitrate (KNO3), carbon What Happens When Potassium Reacts With Sulfur sulfur reacts with hot aqueous potassium hydroxide, koh, forming potassium sulfide and thiosulfate: each potassium atom donates its outermost electron to the sulfur atom, forming ions with a 1+ charge, due to the loss of an electron. This reaction involves the transfer of electrons. S 8 (s) + 12 koh (aq) 4 k 2. when sulfur reacts. What Happens When Potassium Reacts With Sulfur.
From ellaaressims.blogspot.com
Potassium Reaction With Oxygen EllaaresSims What Happens When Potassium Reacts With Sulfur study with quizlet and memorise flashcards containing terms like (a) potassium forms an ionic compound with sulfur. So, it reacts with fluorine, f 2, chlorine, cl 2,. each potassium atom donates its outermost electron to the sulfur atom, forming ions with a 1+ charge, due to the loss of an electron. as sulphur has only 6 electrons. What Happens When Potassium Reacts With Sulfur.
From www.numerade.com
SOLVED Potassium chlorate reacts with sulfur dioxide in acidic What Happens When Potassium Reacts With Sulfur Predict which forms an anion, which forms a cation, and. S 8 (s) + 12 koh (aq) 4 k 2. each potassium atom donates its outermost electron to the sulfur atom, forming ions with a 1+ charge, due to the loss of an electron. So, it reacts with fluorine, f 2, chlorine, cl 2,. when sulfur reacts with. What Happens When Potassium Reacts With Sulfur.
From tipseri.com
What happens when sulfur dioxide reacts with rainwater? Tipseri What Happens When Potassium Reacts With Sulfur magnesium and nitrogen react to form an ionic compound. potassium metal reacts vigorously with all the halogens to form potassium halides. study with quizlet and memorise flashcards containing terms like (a) potassium forms an ionic compound with sulfur. S 8 (s) + 12 koh (aq) 4 k 2. each potassium atom donates its outermost electron to. What Happens When Potassium Reacts With Sulfur.
From www.toppr.com
What happens whenPotassium nitrite reacts with cobalt chloride in the What Happens When Potassium Reacts With Sulfur potassium metal reacts vigorously with all the halogens to form potassium halides. This reaction involves the transfer of electrons. Predict which forms an anion, which forms a cation, and. when sulfur reacts with potassium, they form potassium sulfide. S 8 (s) + 12 koh (aq) 4 k 2. any sulphur present would be rapidly oxidised to sulphur. What Happens When Potassium Reacts With Sulfur.
From www.youtube.com
Reaction of potassium metal and sulfur YouTube What Happens When Potassium Reacts With Sulfur each potassium atom donates its outermost electron to the sulfur atom, forming ions with a 1+ charge, due to the loss of an electron. as sulphur has only 6 electrons on its outer shell, and 8 is the number required for stability, it must bond with 2 potassium. potassium metal reacts vigorously with all the halogens to. What Happens When Potassium Reacts With Sulfur.