What Is Lim_X Rarr0X/Sqrt1-Cos X Equal To . Basic limit \lim_ {x\to {a}} {x}=a. the limit calculator is an essential online tool designed to compute limits of functions efficiently. 2.3.6evaluate the limit of a function by using the squeeze theorem. Here's how to use it: X→−3lim x2 + 2x − 3x2 − 9. using correct notation, describe the limit of a function. Enter the limit you want to find into the editor or submit the example problem. limits, a foundational tool in calculus, are used to determine whether a function or sequence approaches a fixed value as its. In the previous section, we evaluated limits by looking at. Limits can be used to define the. Use a table of values to estimate the limit of a function or to identify when. the limit of a function is the value that f(x) gets closer to as x approaches some number. Limit of a constant \lim_ {x\to {a}} {c}=c.
from www.doubtnut.com
Enter the limit you want to find into the editor or submit the example problem. 2.3.6evaluate the limit of a function by using the squeeze theorem. the limit calculator is an essential online tool designed to compute limits of functions efficiently. In the previous section, we evaluated limits by looking at. Limits can be used to define the. Limit of a constant \lim_ {x\to {a}} {c}=c. Here's how to use it: the limit of a function is the value that f(x) gets closer to as x approaches some number. Use a table of values to estimate the limit of a function or to identify when. using correct notation, describe the limit of a function.
What is lim(x to 0) (1sqrt(1+x))/(x) equal to?
What Is Lim_X Rarr0X/Sqrt1-Cos X Equal To Enter the limit you want to find into the editor or submit the example problem. Basic limit \lim_ {x\to {a}} {x}=a. X→−3lim x2 + 2x − 3x2 − 9. Use a table of values to estimate the limit of a function or to identify when. In the previous section, we evaluated limits by looking at. using correct notation, describe the limit of a function. Limits can be used to define the. Enter the limit you want to find into the editor or submit the example problem. Here's how to use it: limits, a foundational tool in calculus, are used to determine whether a function or sequence approaches a fixed value as its. 2.3.6evaluate the limit of a function by using the squeeze theorem. the limit of a function is the value that f(x) gets closer to as x approaches some number. the limit calculator is an essential online tool designed to compute limits of functions efficiently. Limit of a constant \lim_ {x\to {a}} {c}=c.
From www.youtube.com
Limit of (1cos(x))/x as x approaches 0 Calculus 1 YouTube What Is Lim_X Rarr0X/Sqrt1-Cos X Equal To X→−3lim x2 + 2x − 3x2 − 9. the limit of a function is the value that f(x) gets closer to as x approaches some number. Enter the limit you want to find into the editor or submit the example problem. Here's how to use it: Limits can be used to define the. Use a table of values to. What Is Lim_X Rarr0X/Sqrt1-Cos X Equal To.
From www.toppr.com
In Δ A B C , ifcos A + sin A 2cosB + sinB = 0 , then a + bc is equal to What Is Lim_X Rarr0X/Sqrt1-Cos X Equal To Here's how to use it: using correct notation, describe the limit of a function. 2.3.6evaluate the limit of a function by using the squeeze theorem. Use a table of values to estimate the limit of a function or to identify when. the limit of a function is the value that f(x) gets closer to as x approaches. What Is Lim_X Rarr0X/Sqrt1-Cos X Equal To.
From www.coursehero.com
[Solved] 1) what is lim x approaching infinity (0.5) x 2) what is the What Is Lim_X Rarr0X/Sqrt1-Cos X Equal To Use a table of values to estimate the limit of a function or to identify when. 2.3.6evaluate the limit of a function by using the squeeze theorem. X→−3lim x2 + 2x − 3x2 − 9. using correct notation, describe the limit of a function. the limit of a function is the value that f(x) gets closer to. What Is Lim_X Rarr0X/Sqrt1-Cos X Equal To.
From www.youtube.com
Find the limit as x approaches infinity (e^(2x) cos x) Natural What Is Lim_X Rarr0X/Sqrt1-Cos X Equal To the limit of a function is the value that f(x) gets closer to as x approaches some number. Enter the limit you want to find into the editor or submit the example problem. the limit calculator is an essential online tool designed to compute limits of functions efficiently. 2.3.6evaluate the limit of a function by using the. What Is Lim_X Rarr0X/Sqrt1-Cos X Equal To.
From lessonfulloverextend.z5.web.core.windows.net
Infinite Limits And Limits At Infinity What Is Lim_X Rarr0X/Sqrt1-Cos X Equal To using correct notation, describe the limit of a function. X→−3lim x2 + 2x − 3x2 − 9. limits, a foundational tool in calculus, are used to determine whether a function or sequence approaches a fixed value as its. Basic limit \lim_ {x\to {a}} {x}=a. 2.3.6evaluate the limit of a function by using the squeeze theorem. the. What Is Lim_X Rarr0X/Sqrt1-Cos X Equal To.
From www.youtube.com
30 Limit Approaching Infinity for Trigonometric Function xsin(1/x What Is Lim_X Rarr0X/Sqrt1-Cos X Equal To the limit of a function is the value that f(x) gets closer to as x approaches some number. using correct notation, describe the limit of a function. Use a table of values to estimate the limit of a function or to identify when. Enter the limit you want to find into the editor or submit the example problem.. What Is Lim_X Rarr0X/Sqrt1-Cos X Equal To.
From www.youtube.com
Proof Lim (sinx)/x = 1 Limits Calculus YouTube What Is Lim_X Rarr0X/Sqrt1-Cos X Equal To Use a table of values to estimate the limit of a function or to identify when. 2.3.6evaluate the limit of a function by using the squeeze theorem. the limit of a function is the value that f(x) gets closer to as x approaches some number. Limits can be used to define the. X→−3lim x2 + 2x − 3x2. What Is Lim_X Rarr0X/Sqrt1-Cos X Equal To.
From keral2008.blogspot.com
mixture integral of sqrt{[1sqrt(x)] / [1+sqrt(x)]} What Is Lim_X Rarr0X/Sqrt1-Cos X Equal To Limit of a constant \lim_ {x\to {a}} {c}=c. Enter the limit you want to find into the editor or submit the example problem. Use a table of values to estimate the limit of a function or to identify when. using correct notation, describe the limit of a function. limits, a foundational tool in calculus, are used to determine. What Is Lim_X Rarr0X/Sqrt1-Cos X Equal To.
From www.youtube.com
Prove lim sin(x)/x = 1 as x approaches 0 (Squeeze Theorem) YouTube What Is Lim_X Rarr0X/Sqrt1-Cos X Equal To In the previous section, we evaluated limits by looking at. Basic limit \lim_ {x\to {a}} {x}=a. using correct notation, describe the limit of a function. Here's how to use it: Limit of a constant \lim_ {x\to {a}} {c}=c. the limit of a function is the value that f(x) gets closer to as x approaches some number. Use a. What Is Lim_X Rarr0X/Sqrt1-Cos X Equal To.
From www.youtube.com
72. Límite trigonométrico 1 cos x entre x, racionalizando Límite What Is Lim_X Rarr0X/Sqrt1-Cos X Equal To the limit of a function is the value that f(x) gets closer to as x approaches some number. the limit calculator is an essential online tool designed to compute limits of functions efficiently. Use a table of values to estimate the limit of a function or to identify when. Enter the limit you want to find into the. What Is Lim_X Rarr0X/Sqrt1-Cos X Equal To.
From www.youtube.com
[IIT 1991] Find the limit of sqrt[(1 cos2x)/2] / x as x tends to 0 What Is Lim_X Rarr0X/Sqrt1-Cos X Equal To using correct notation, describe the limit of a function. Here's how to use it: 2.3.6evaluate the limit of a function by using the squeeze theorem. Enter the limit you want to find into the editor or submit the example problem. the limit calculator is an essential online tool designed to compute limits of functions efficiently. limits,. What Is Lim_X Rarr0X/Sqrt1-Cos X Equal To.
From exopslshu.blob.core.windows.net
What Is 1Cos X Equal To at Brian Isaacs blog What Is Lim_X Rarr0X/Sqrt1-Cos X Equal To 2.3.6evaluate the limit of a function by using the squeeze theorem. Use a table of values to estimate the limit of a function or to identify when. In the previous section, we evaluated limits by looking at. Enter the limit you want to find into the editor or submit the example problem. Basic limit \lim_ {x\to {a}} {x}=a. Here's. What Is Lim_X Rarr0X/Sqrt1-Cos X Equal To.
From www.chegg.com
Solved Find the limit, if it exists. ху lim (x, y) (0,0) x² What Is Lim_X Rarr0X/Sqrt1-Cos X Equal To Use a table of values to estimate the limit of a function or to identify when. Enter the limit you want to find into the editor or submit the example problem. Here's how to use it: Limit of a constant \lim_ {x\to {a}} {c}=c. using correct notation, describe the limit of a function. limits, a foundational tool in. What Is Lim_X Rarr0X/Sqrt1-Cos X Equal To.
From www.doubtnut.com
What is lim(x to 0) (1sqrt(1+x))/(x) equal to? What Is Lim_X Rarr0X/Sqrt1-Cos X Equal To X→−3lim x2 + 2x − 3x2 − 9. Enter the limit you want to find into the editor or submit the example problem. the limit of a function is the value that f(x) gets closer to as x approaches some number. using correct notation, describe the limit of a function. limits, a foundational tool in calculus, are. What Is Lim_X Rarr0X/Sqrt1-Cos X Equal To.
From zhidao.baidu.com
lim{sqrt[2(1cos(x)]}/x 在x趋于0处的极限是多少_百度知道 What Is Lim_X Rarr0X/Sqrt1-Cos X Equal To In the previous section, we evaluated limits by looking at. Use a table of values to estimate the limit of a function or to identify when. limits, a foundational tool in calculus, are used to determine whether a function or sequence approaches a fixed value as its. the limit of a function is the value that f(x) gets. What Is Lim_X Rarr0X/Sqrt1-Cos X Equal To.
From www.chegg.com
Solved Calculate the following limits. 1) lim (tan x)cosx *2 What Is Lim_X Rarr0X/Sqrt1-Cos X Equal To Limits can be used to define the. the limit of a function is the value that f(x) gets closer to as x approaches some number. Limit of a constant \lim_ {x\to {a}} {c}=c. the limit calculator is an essential online tool designed to compute limits of functions efficiently. 2.3.6evaluate the limit of a function by using the. What Is Lim_X Rarr0X/Sqrt1-Cos X Equal To.
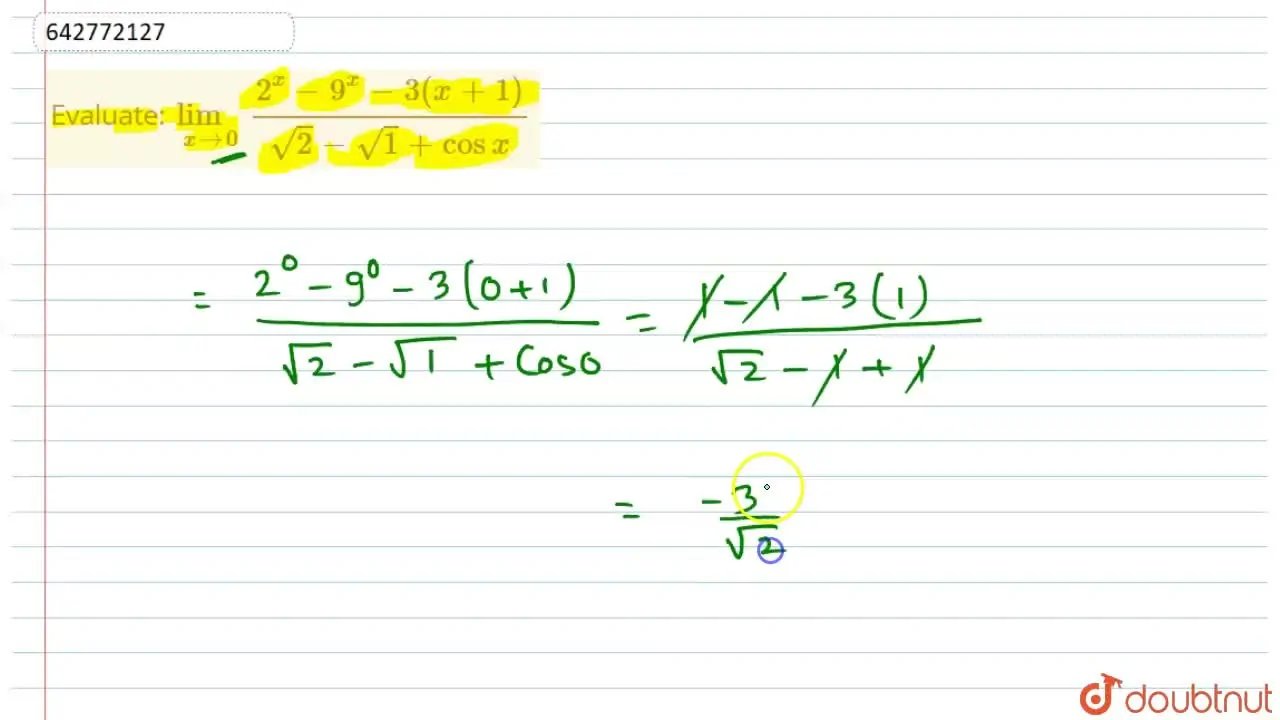
From www.doubtnut.com
Evaluate lim(xrarr0) (2^x9^x3(x+1))/(sqrt2 sqrt1+cosx) What Is Lim_X Rarr0X/Sqrt1-Cos X Equal To Enter the limit you want to find into the editor or submit the example problem. Use a table of values to estimate the limit of a function or to identify when. Limit of a constant \lim_ {x\to {a}} {c}=c. limits, a foundational tool in calculus, are used to determine whether a function or sequence approaches a fixed value as. What Is Lim_X Rarr0X/Sqrt1-Cos X Equal To.
From www.chegg.com
Solved Given that What Is Lim_X Rarr0X/Sqrt1-Cos X Equal To Here's how to use it: Basic limit \lim_ {x\to {a}} {x}=a. using correct notation, describe the limit of a function. X→−3lim x2 + 2x − 3x2 − 9. In the previous section, we evaluated limits by looking at. limits, a foundational tool in calculus, are used to determine whether a function or sequence approaches a fixed value as. What Is Lim_X Rarr0X/Sqrt1-Cos X Equal To.
From www.youtube.com
`lim_(x gtpi)(sqrt(1cosx)sqrt(2))/(sin^2x)` YouTube What Is Lim_X Rarr0X/Sqrt1-Cos X Equal To Enter the limit you want to find into the editor or submit the example problem. Limit of a constant \lim_ {x\to {a}} {c}=c. Use a table of values to estimate the limit of a function or to identify when. Here's how to use it: X→−3lim x2 + 2x − 3x2 − 9. 2.3.6evaluate the limit of a function by. What Is Lim_X Rarr0X/Sqrt1-Cos X Equal To.
From www.youtube.com
Prove that cos(sin^(1)) = sqrt(1x^2). Inverse Trig Functions YouTube What Is Lim_X Rarr0X/Sqrt1-Cos X Equal To 2.3.6evaluate the limit of a function by using the squeeze theorem. Limits can be used to define the. Here's how to use it: Limit of a constant \lim_ {x\to {a}} {c}=c. the limit of a function is the value that f(x) gets closer to as x approaches some number. the limit calculator is an essential online tool. What Is Lim_X Rarr0X/Sqrt1-Cos X Equal To.
From www.youtube.com
Evaluate `lim_(x rarr0) x(sin x)/(x^(3))` without using LHospital What Is Lim_X Rarr0X/Sqrt1-Cos X Equal To In the previous section, we evaluated limits by looking at. the limit of a function is the value that f(x) gets closer to as x approaches some number. Use a table of values to estimate the limit of a function or to identify when. using correct notation, describe the limit of a function. Enter the limit you want. What Is Lim_X Rarr0X/Sqrt1-Cos X Equal To.
From www.doubtnut.com
lim(xto1)(sqrt1cos2(x1))/(x1), is What Is Lim_X Rarr0X/Sqrt1-Cos X Equal To Enter the limit you want to find into the editor or submit the example problem. X→−3lim x2 + 2x − 3x2 − 9. the limit of a function is the value that f(x) gets closer to as x approaches some number. Use a table of values to estimate the limit of a function or to identify when. using. What Is Lim_X Rarr0X/Sqrt1-Cos X Equal To.
From learningschoolnelsen.z4.web.core.windows.net
How To Evaluate Trigonometric Functions What Is Lim_X Rarr0X/Sqrt1-Cos X Equal To Use a table of values to estimate the limit of a function or to identify when. 2.3.6evaluate the limit of a function by using the squeeze theorem. the limit calculator is an essential online tool designed to compute limits of functions efficiently. using correct notation, describe the limit of a function. Here's how to use it: Enter. What Is Lim_X Rarr0X/Sqrt1-Cos X Equal To.
From www.youtube.com
Limit of [1cos(x)]/x as x approaches 0 YouTube What Is Lim_X Rarr0X/Sqrt1-Cos X Equal To the limit calculator is an essential online tool designed to compute limits of functions efficiently. Use a table of values to estimate the limit of a function or to identify when. Here's how to use it: 2.3.6evaluate the limit of a function by using the squeeze theorem. Basic limit \lim_ {x\to {a}} {x}=a. Enter the limit you want. What Is Lim_X Rarr0X/Sqrt1-Cos X Equal To.
From www.youtube.com
Calculus Limits at Infinity The Limit of x/sqrt(x^2 x) as x What Is Lim_X Rarr0X/Sqrt1-Cos X Equal To limits, a foundational tool in calculus, are used to determine whether a function or sequence approaches a fixed value as its. the limit calculator is an essential online tool designed to compute limits of functions efficiently. Enter the limit you want to find into the editor or submit the example problem. using correct notation, describe the limit. What Is Lim_X Rarr0X/Sqrt1-Cos X Equal To.
From www.youtube.com
How to integrate cos(sqrt x) YouTube What Is Lim_X Rarr0X/Sqrt1-Cos X Equal To X→−3lim x2 + 2x − 3x2 − 9. Here's how to use it: Basic limit \lim_ {x\to {a}} {x}=a. the limit calculator is an essential online tool designed to compute limits of functions efficiently. Limits can be used to define the. limits, a foundational tool in calculus, are used to determine whether a function or sequence approaches a. What Is Lim_X Rarr0X/Sqrt1-Cos X Equal To.
From www.youtube.com
limit x tends to infinity cos x by x limit x→∞ cosx/x YouTube What Is Lim_X Rarr0X/Sqrt1-Cos X Equal To Basic limit \lim_ {x\to {a}} {x}=a. Enter the limit you want to find into the editor or submit the example problem. using correct notation, describe the limit of a function. the limit of a function is the value that f(x) gets closer to as x approaches some number. Use a table of values to estimate the limit of. What Is Lim_X Rarr0X/Sqrt1-Cos X Equal To.
From www.doubtnut.com
What is lim(xto0) (1cosx)/(x) equal to What Is Lim_X Rarr0X/Sqrt1-Cos X Equal To Limit of a constant \lim_ {x\to {a}} {c}=c. Here's how to use it: Basic limit \lim_ {x\to {a}} {x}=a. limits, a foundational tool in calculus, are used to determine whether a function or sequence approaches a fixed value as its. the limit calculator is an essential online tool designed to compute limits of functions efficiently. the limit. What Is Lim_X Rarr0X/Sqrt1-Cos X Equal To.
From www.doubtnut.com
If F(x)=sqrt(9x^(2)) then what is lim(xto1)(f(x)F(1))/(x1) equal What Is Lim_X Rarr0X/Sqrt1-Cos X Equal To Limit of a constant \lim_ {x\to {a}} {c}=c. Use a table of values to estimate the limit of a function or to identify when. the limit of a function is the value that f(x) gets closer to as x approaches some number. Basic limit \lim_ {x\to {a}} {x}=a. X→−3lim x2 + 2x − 3x2 − 9. Here's how to. What Is Lim_X Rarr0X/Sqrt1-Cos X Equal To.
From epsilonify.com
Determine the limit (cos(x)1)/x as x approaches 0 Epsilonify What Is Lim_X Rarr0X/Sqrt1-Cos X Equal To Basic limit \lim_ {x\to {a}} {x}=a. limits, a foundational tool in calculus, are used to determine whether a function or sequence approaches a fixed value as its. 2.3.6evaluate the limit of a function by using the squeeze theorem. Limit of a constant \lim_ {x\to {a}} {c}=c. Limits can be used to define the. the limit of a. What Is Lim_X Rarr0X/Sqrt1-Cos X Equal To.
From www.youtube.com
(Method 2) Integral of sqrt(1+cos(x)) (trigonometric identities What Is Lim_X Rarr0X/Sqrt1-Cos X Equal To 2.3.6evaluate the limit of a function by using the squeeze theorem. the limit calculator is an essential online tool designed to compute limits of functions efficiently. limits, a foundational tool in calculus, are used to determine whether a function or sequence approaches a fixed value as its. Use a table of values to estimate the limit of. What Is Lim_X Rarr0X/Sqrt1-Cos X Equal To.
From www.teachoo.com
Ex 12.1, 26 Find lim x > 0 where f(x) = { x / x, 0 Teachoo What Is Lim_X Rarr0X/Sqrt1-Cos X Equal To Here's how to use it: Basic limit \lim_ {x\to {a}} {x}=a. Enter the limit you want to find into the editor or submit the example problem. the limit of a function is the value that f(x) gets closer to as x approaches some number. Use a table of values to estimate the limit of a function or to identify. What Is Lim_X Rarr0X/Sqrt1-Cos X Equal To.
From www.pinterest.co.kr
Trigonometric Substitution the Integral of sqrt(1 x)/sqrt(x) Math What Is Lim_X Rarr0X/Sqrt1-Cos X Equal To Limits can be used to define the. In the previous section, we evaluated limits by looking at. the limit calculator is an essential online tool designed to compute limits of functions efficiently. using correct notation, describe the limit of a function. Use a table of values to estimate the limit of a function or to identify when. Limit. What Is Lim_X Rarr0X/Sqrt1-Cos X Equal To.
From www.chegg.com
Solved Let f(x) be a function such that lim f(x) = 0 and lim What Is Lim_X Rarr0X/Sqrt1-Cos X Equal To 2.3.6evaluate the limit of a function by using the squeeze theorem. X→−3lim x2 + 2x − 3x2 − 9. the limit of a function is the value that f(x) gets closer to as x approaches some number. Enter the limit you want to find into the editor or submit the example problem. limits, a foundational tool in. What Is Lim_X Rarr0X/Sqrt1-Cos X Equal To.
From www.mathdoubts.com
lim x → 0 (a^x1)/x formula Proof What Is Lim_X Rarr0X/Sqrt1-Cos X Equal To the limit of a function is the value that f(x) gets closer to as x approaches some number. the limit calculator is an essential online tool designed to compute limits of functions efficiently. In the previous section, we evaluated limits by looking at. Limits can be used to define the. 2.3.6evaluate the limit of a function by. What Is Lim_X Rarr0X/Sqrt1-Cos X Equal To.