A Rocket Is Fired From Earth Surface With A Speed . 21m(3 gr)2 +(− rgm m) = 21mv∈f ty2 + 0. That is comparable to but less than the. R = 6380 km, m = 5.97 x 10 ^2^4 kg. A speed of over 40,250 km per hour, called escape velocity, enables a rocket to leave earth and travel out into deep space. From conservation of mechanical energy. He turns on the thrusters, and burned. A rocket was fired from earth surface straight up to a height above earth at a distance of earth. If a rocket is fired with a speed v = 2 √ g r near the earth's surface and coasts upwards, its speed in the intersteller space is. The faster the rocket burns its. Attaining space flight speeds requires the rocket. A rocket is fired vertically upward from the surface of the earth (of radius re) with an initial speed v; The greater the exhaust velocity v e v e of the gases relative to the rocket, the greater the acceleration.
from www.topperlearning.com
A rocket is fired vertically upward from the surface of the earth (of radius re) with an initial speed v; Attaining space flight speeds requires the rocket. The greater the exhaust velocity v e v e of the gases relative to the rocket, the greater the acceleration. If a rocket is fired with a speed v = 2 √ g r near the earth's surface and coasts upwards, its speed in the intersteller space is. That is comparable to but less than the. He turns on the thrusters, and burned. R = 6380 km, m = 5.97 x 10 ^2^4 kg. The faster the rocket burns its. A speed of over 40,250 km per hour, called escape velocity, enables a rocket to leave earth and travel out into deep space. 21m(3 gr)2 +(− rgm m) = 21mv∈f ty2 + 0.
A rocket is fired upwards from earth's surface such that it creates an acceleration of 20 m/sec
A Rocket Is Fired From Earth Surface With A Speed A rocket was fired from earth surface straight up to a height above earth at a distance of earth. 21m(3 gr)2 +(− rgm m) = 21mv∈f ty2 + 0. A speed of over 40,250 km per hour, called escape velocity, enables a rocket to leave earth and travel out into deep space. The faster the rocket burns its. A rocket is fired vertically upward from the surface of the earth (of radius re) with an initial speed v; Attaining space flight speeds requires the rocket. The greater the exhaust velocity v e v e of the gases relative to the rocket, the greater the acceleration. If a rocket is fired with a speed v = 2 √ g r near the earth's surface and coasts upwards, its speed in the intersteller space is. A rocket was fired from earth surface straight up to a height above earth at a distance of earth. He turns on the thrusters, and burned. From conservation of mechanical energy. That is comparable to but less than the. R = 6380 km, m = 5.97 x 10 ^2^4 kg.
From www.numerade.com
SOLVED A rocket is launched vertically upward from Earth's surface at a speed of 4.7 km/s A Rocket Is Fired From Earth Surface With A Speed A rocket is fired vertically upward from the surface of the earth (of radius re) with an initial speed v; He turns on the thrusters, and burned. If a rocket is fired with a speed v = 2 √ g r near the earth's surface and coasts upwards, its speed in the intersteller space is. The faster the rocket burns. A Rocket Is Fired From Earth Surface With A Speed.
From www.grc.nasa.gov
Ideal Rocket Equation A Rocket Is Fired From Earth Surface With A Speed A rocket was fired from earth surface straight up to a height above earth at a distance of earth. If a rocket is fired with a speed v = 2 √ g r near the earth's surface and coasts upwards, its speed in the intersteller space is. Attaining space flight speeds requires the rocket. 21m(3 gr)2 +(− rgm m) =. A Rocket Is Fired From Earth Surface With A Speed.
From www.youtube.com
A rocket is fired vertically from the surface of the Earth with a speed v. How far from the A Rocket Is Fired From Earth Surface With A Speed Attaining space flight speeds requires the rocket. The faster the rocket burns its. A rocket is fired vertically upward from the surface of the earth (of radius re) with an initial speed v; A speed of over 40,250 km per hour, called escape velocity, enables a rocket to leave earth and travel out into deep space. From conservation of mechanical. A Rocket Is Fired From Earth Surface With A Speed.
From www.toppr.com
Maximum height reached by a rocket fired with a speed equal to 50 of the escape velocity from A Rocket Is Fired From Earth Surface With A Speed If a rocket is fired with a speed v = 2 √ g r near the earth's surface and coasts upwards, its speed in the intersteller space is. R = 6380 km, m = 5.97 x 10 ^2^4 kg. From conservation of mechanical energy. A rocket is fired vertically upward from the surface of the earth (of radius re) with. A Rocket Is Fired From Earth Surface With A Speed.
From www.numerade.com
A rocket is fired vertically with a speed of 5 km s^1 from the earth's surface. How far from A Rocket Is Fired From Earth Surface With A Speed Attaining space flight speeds requires the rocket. A rocket is fired vertically upward from the surface of the earth (of radius re) with an initial speed v; The greater the exhaust velocity v e v e of the gases relative to the rocket, the greater the acceleration. The faster the rocket burns its. If a rocket is fired with a. A Rocket Is Fired From Earth Surface With A Speed.
From www.toppr.com
A rocket is fired vertically from the earth with an acceleration of 2g where g is the A Rocket Is Fired From Earth Surface With A Speed A rocket was fired from earth surface straight up to a height above earth at a distance of earth. He turns on the thrusters, and burned. The faster the rocket burns its. The greater the exhaust velocity v e v e of the gases relative to the rocket, the greater the acceleration. Attaining space flight speeds requires the rocket. From. A Rocket Is Fired From Earth Surface With A Speed.
From www.space.com
How rockets work A complete guide Space A Rocket Is Fired From Earth Surface With A Speed R = 6380 km, m = 5.97 x 10 ^2^4 kg. That is comparable to but less than the. A speed of over 40,250 km per hour, called escape velocity, enables a rocket to leave earth and travel out into deep space. From conservation of mechanical energy. A rocket was fired from earth surface straight up to a height above. A Rocket Is Fired From Earth Surface With A Speed.
From www.youtube.com
A rocket is fired vertically with a speed of 5km/s from the Earths. Gravitation Ncert Sol A Rocket Is Fired From Earth Surface With A Speed A rocket is fired vertically upward from the surface of the earth (of radius re) with an initial speed v; The greater the exhaust velocity v e v e of the gases relative to the rocket, the greater the acceleration. If a rocket is fired with a speed v = 2 √ g r near the earth's surface and coasts. A Rocket Is Fired From Earth Surface With A Speed.
From www.youtube.com
A rocket is to be shot radially outward from Earth's surface. Neglecting Earth's rotation, find A Rocket Is Fired From Earth Surface With A Speed R = 6380 km, m = 5.97 x 10 ^2^4 kg. The greater the exhaust velocity v e v e of the gases relative to the rocket, the greater the acceleration. The faster the rocket burns its. Attaining space flight speeds requires the rocket. A rocket is fired vertically upward from the surface of the earth (of radius re) with. A Rocket Is Fired From Earth Surface With A Speed.
From kunduz.com
[ANSWERED] A 1000 kg rocket is fired from the surface of earth so that Kunduz A Rocket Is Fired From Earth Surface With A Speed That is comparable to but less than the. A speed of over 40,250 km per hour, called escape velocity, enables a rocket to leave earth and travel out into deep space. A rocket was fired from earth surface straight up to a height above earth at a distance of earth. The faster the rocket burns its. He turns on the. A Rocket Is Fired From Earth Surface With A Speed.
From letstalkscience.ca
Escape Velocity Let's Talk Science A Rocket Is Fired From Earth Surface With A Speed 21m(3 gr)2 +(− rgm m) = 21mv∈f ty2 + 0. The faster the rocket burns its. From conservation of mechanical energy. R = 6380 km, m = 5.97 x 10 ^2^4 kg. He turns on the thrusters, and burned. A rocket is fired vertically upward from the surface of the earth (of radius re) with an initial speed v; Attaining. A Rocket Is Fired From Earth Surface With A Speed.
From www.tutorix.com
The Escape Velocity of Earth A Rocket Is Fired From Earth Surface With A Speed From conservation of mechanical energy. That is comparable to but less than the. Attaining space flight speeds requires the rocket. The greater the exhaust velocity v e v e of the gases relative to the rocket, the greater the acceleration. R = 6380 km, m = 5.97 x 10 ^2^4 kg. If a rocket is fired with a speed v. A Rocket Is Fired From Earth Surface With A Speed.
From www.britannica.com
Spaceflight Types of Spacecraft, Trajectories, & Navigation Britannica A Rocket Is Fired From Earth Surface With A Speed A speed of over 40,250 km per hour, called escape velocity, enables a rocket to leave earth and travel out into deep space. A rocket was fired from earth surface straight up to a height above earth at a distance of earth. He turns on the thrusters, and burned. The faster the rocket burns its. 21m(3 gr)2 +(− rgm m). A Rocket Is Fired From Earth Surface With A Speed.
From www.chegg.com
Solved P3. A rocket of mass 1.20x10'kg is launched A Rocket Is Fired From Earth Surface With A Speed A speed of over 40,250 km per hour, called escape velocity, enables a rocket to leave earth and travel out into deep space. That is comparable to but less than the. R = 6380 km, m = 5.97 x 10 ^2^4 kg. A rocket is fired vertically upward from the surface of the earth (of radius re) with an initial. A Rocket Is Fired From Earth Surface With A Speed.
From www.youtube.com
A rocket is fired with a speed, `v=2sqrt(gR)`, near the earth\'s surface and directed upwards A Rocket Is Fired From Earth Surface With A Speed From conservation of mechanical energy. He turns on the thrusters, and burned. A rocket was fired from earth surface straight up to a height above earth at a distance of earth. If a rocket is fired with a speed v = 2 √ g r near the earth's surface and coasts upwards, its speed in the intersteller space is. The. A Rocket Is Fired From Earth Surface With A Speed.
From www.toppr.com
18. A rocket is fired vertically upwards with initial velocity 40 m/s the ground level. Its A Rocket Is Fired From Earth Surface With A Speed The faster the rocket burns its. From conservation of mechanical energy. The greater the exhaust velocity v e v e of the gases relative to the rocket, the greater the acceleration. A rocket was fired from earth surface straight up to a height above earth at a distance of earth. A speed of over 40,250 km per hour, called escape. A Rocket Is Fired From Earth Surface With A Speed.
From www.youtube.com
A rocket is fired vertically from the ground. it moves upward with a constant acceleration of 10 A Rocket Is Fired From Earth Surface With A Speed Attaining space flight speeds requires the rocket. That is comparable to but less than the. He turns on the thrusters, and burned. If a rocket is fired with a speed v = 2 √ g r near the earth's surface and coasts upwards, its speed in the intersteller space is. R = 6380 km, m = 5.97 x 10 ^2^4. A Rocket Is Fired From Earth Surface With A Speed.
From www.youtube.com
Dynamics 12.58 A twostage rocket is fired vertically from rest with the acceleration shown A Rocket Is Fired From Earth Surface With A Speed A speed of over 40,250 km per hour, called escape velocity, enables a rocket to leave earth and travel out into deep space. A rocket is fired vertically upward from the surface of the earth (of radius re) with an initial speed v; From conservation of mechanical energy. If a rocket is fired with a speed v = 2 √. A Rocket Is Fired From Earth Surface With A Speed.
From www.topperlearning.com
A rocket is fired upwards from earth's surface such that it creates an acceleration of 20 m/sec A Rocket Is Fired From Earth Surface With A Speed From conservation of mechanical energy. A rocket was fired from earth surface straight up to a height above earth at a distance of earth. The faster the rocket burns its. He turns on the thrusters, and burned. 21m(3 gr)2 +(− rgm m) = 21mv∈f ty2 + 0. R = 6380 km, m = 5.97 x 10 ^2^4 kg. A speed. A Rocket Is Fired From Earth Surface With A Speed.
From www.toppr.com
If a rocket is fired with a velocity, V = 2√(gR) near the earths's surface and goes upwards, its A Rocket Is Fired From Earth Surface With A Speed That is comparable to but less than the. A speed of over 40,250 km per hour, called escape velocity, enables a rocket to leave earth and travel out into deep space. Attaining space flight speeds requires the rocket. R = 6380 km, m = 5.97 x 10 ^2^4 kg. The faster the rocket burns its. If a rocket is fired. A Rocket Is Fired From Earth Surface With A Speed.
From www.topperlearning.com
A rocket is fired upwards from earth's surface such that it creates an acceleration of 20 m/sec A Rocket Is Fired From Earth Surface With A Speed From conservation of mechanical energy. A rocket was fired from earth surface straight up to a height above earth at a distance of earth. The faster the rocket burns its. The greater the exhaust velocity v e v e of the gases relative to the rocket, the greater the acceleration. 21m(3 gr)2 +(− rgm m) = 21mv∈f ty2 + 0.. A Rocket Is Fired From Earth Surface With A Speed.
From www.pressreader.com
When does a rocket escape Earth's gravitational field? PressReader A Rocket Is Fired From Earth Surface With A Speed A rocket was fired from earth surface straight up to a height above earth at a distance of earth. 21m(3 gr)2 +(− rgm m) = 21mv∈f ty2 + 0. The faster the rocket burns its. If a rocket is fired with a speed v = 2 √ g r near the earth's surface and coasts upwards, its speed in the. A Rocket Is Fired From Earth Surface With A Speed.
From www.toppr.com
Maximum height reached by a rocket fired with a speed equal to 50 of the escape velocity from A Rocket Is Fired From Earth Surface With A Speed That is comparable to but less than the. Attaining space flight speeds requires the rocket. A speed of over 40,250 km per hour, called escape velocity, enables a rocket to leave earth and travel out into deep space. He turns on the thrusters, and burned. If a rocket is fired with a speed v = 2 √ g r near. A Rocket Is Fired From Earth Surface With A Speed.
From www.earth.com
U.S. rocket launch ripped a hole in Earth's ionosphere A Rocket Is Fired From Earth Surface With A Speed A rocket was fired from earth surface straight up to a height above earth at a distance of earth. From conservation of mechanical energy. A rocket is fired vertically upward from the surface of the earth (of radius re) with an initial speed v; The greater the exhaust velocity v e v e of the gases relative to the rocket,. A Rocket Is Fired From Earth Surface With A Speed.
From phys.libretexts.org
8.7 Introduction to Rocket Propulsion Physics LibreTexts A Rocket Is Fired From Earth Surface With A Speed A speed of over 40,250 km per hour, called escape velocity, enables a rocket to leave earth and travel out into deep space. 21m(3 gr)2 +(− rgm m) = 21mv∈f ty2 + 0. From conservation of mechanical energy. That is comparable to but less than the. R = 6380 km, m = 5.97 x 10 ^2^4 kg. Attaining space flight. A Rocket Is Fired From Earth Surface With A Speed.
From www.youtube.com
Speed Comparison Rockets Past and Present Day YouTube A Rocket Is Fired From Earth Surface With A Speed The faster the rocket burns its. If a rocket is fired with a speed v = 2 √ g r near the earth's surface and coasts upwards, its speed in the intersteller space is. From conservation of mechanical energy. R = 6380 km, m = 5.97 x 10 ^2^4 kg. The greater the exhaust velocity v e v e of. A Rocket Is Fired From Earth Surface With A Speed.
From byjus.com
if ve is escape velocity for earth when projectile is fired from surface of earth ,then escape A Rocket Is Fired From Earth Surface With A Speed R = 6380 km, m = 5.97 x 10 ^2^4 kg. A speed of over 40,250 km per hour, called escape velocity, enables a rocket to leave earth and travel out into deep space. A rocket is fired vertically upward from the surface of the earth (of radius re) with an initial speed v; That is comparable to but less. A Rocket Is Fired From Earth Surface With A Speed.
From www.numerade.com
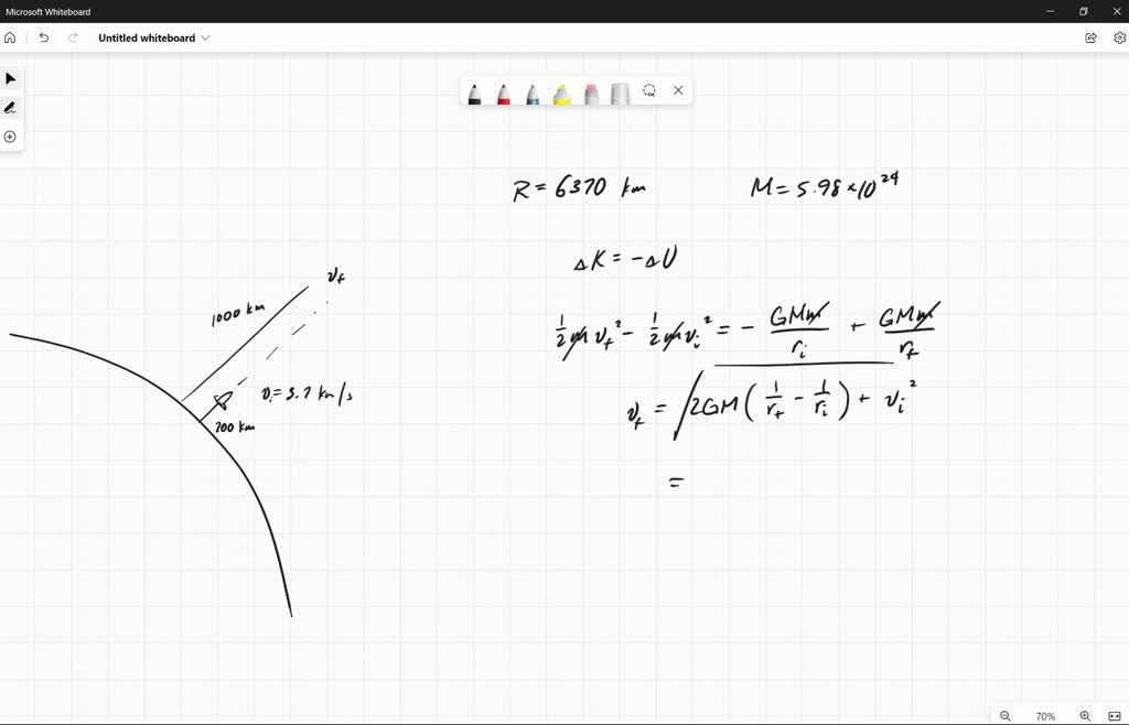
SOLVED A 150.0 kg rocket moving radially outward from Earth has a speed of 3.70 km/s when its A Rocket Is Fired From Earth Surface With A Speed A rocket was fired from earth surface straight up to a height above earth at a distance of earth. He turns on the thrusters, and burned. The greater the exhaust velocity v e v e of the gases relative to the rocket, the greater the acceleration. R = 6380 km, m = 5.97 x 10 ^2^4 kg. That is comparable. A Rocket Is Fired From Earth Surface With A Speed.
From askfilo.com
ALL 31. A rocket is fired from carh's surface with a speed v=2 Rgg in th.. A Rocket Is Fired From Earth Surface With A Speed A speed of over 40,250 km per hour, called escape velocity, enables a rocket to leave earth and travel out into deep space. That is comparable to but less than the. R = 6380 km, m = 5.97 x 10 ^2^4 kg. He turns on the thrusters, and burned. A rocket is fired vertically upward from the surface of the. A Rocket Is Fired From Earth Surface With A Speed.
From www.animalia-life.club
Trajectory Of A Space Rocket A Rocket Is Fired From Earth Surface With A Speed R = 6380 km, m = 5.97 x 10 ^2^4 kg. If a rocket is fired with a speed v = 2 √ g r near the earth's surface and coasts upwards, its speed in the intersteller space is. That is comparable to but less than the. He turns on the thrusters, and burned. The greater the exhaust velocity v. A Rocket Is Fired From Earth Surface With A Speed.
From www.chegg.com
Solved (Question Total = 20 marks) A rocket is launched A Rocket Is Fired From Earth Surface With A Speed A rocket is fired vertically upward from the surface of the earth (of radius re) with an initial speed v; From conservation of mechanical energy. That is comparable to but less than the. A rocket was fired from earth surface straight up to a height above earth at a distance of earth. The faster the rocket burns its. 21m(3 gr)2. A Rocket Is Fired From Earth Surface With A Speed.
From www.numerade.com
SOLVEDA rocket is launched vertically upward from Earth's surface at 5.1 km / s . What's its A Rocket Is Fired From Earth Surface With A Speed A speed of over 40,250 km per hour, called escape velocity, enables a rocket to leave earth and travel out into deep space. 21m(3 gr)2 +(− rgm m) = 21mv∈f ty2 + 0. He turns on the thrusters, and burned. That is comparable to but less than the. Attaining space flight speeds requires the rocket. A rocket was fired from. A Rocket Is Fired From Earth Surface With A Speed.
From www.numerade.com
SOLVED A space probe is fired as a projectile from the Earth’s surface with an initial speed of A Rocket Is Fired From Earth Surface With A Speed R = 6380 km, m = 5.97 x 10 ^2^4 kg. The faster the rocket burns its. A rocket was fired from earth surface straight up to a height above earth at a distance of earth. From conservation of mechanical energy. That is comparable to but less than the. The greater the exhaust velocity v e v e of the. A Rocket Is Fired From Earth Surface With A Speed.
From www.pinterest.com
Air Rocket Launch Physics Lessons, Physics Experiments, Physics Formulas, Physics Notes A Rocket Is Fired From Earth Surface With A Speed The faster the rocket burns its. 21m(3 gr)2 +(− rgm m) = 21mv∈f ty2 + 0. A rocket was fired from earth surface straight up to a height above earth at a distance of earth. That is comparable to but less than the. From conservation of mechanical energy. A rocket is fired vertically upward from the surface of the earth. A Rocket Is Fired From Earth Surface With A Speed.
From www.topperlearning.com
A rocket is fired upwards from earth's surface such that it creates an acceleration of 20 m/sec A Rocket Is Fired From Earth Surface With A Speed The greater the exhaust velocity v e v e of the gases relative to the rocket, the greater the acceleration. He turns on the thrusters, and burned. A rocket is fired vertically upward from the surface of the earth (of radius re) with an initial speed v; A speed of over 40,250 km per hour, called escape velocity, enables a. A Rocket Is Fired From Earth Surface With A Speed.