Lambda Maximum Time . lambda functions are short lived; The default value for this setting is 3 seconds,. you can now configure your aws lambda functions to run up to 15 minutes per execution. aws lambda has a configurable maximum execution time limit of up to 15 minutes. We’ll take a look at aws lambda timeout limits, timeout errors, monitoring timeout errors, and how to apply best practices to handle them effectively. scaling and concurrency in lambda. This means the function will exit with an error code before it was able to finish its processing. lambda timeouts are errors that occur when a lambda function exceeds its maximum allocated execution time and is forcefully terminated by aws. timeout is the maximum amount of time in seconds that a lambda function can run. Lambda is engineered to provide managed scaling in a way that does not. The lambda max timeout is 900 seconds (15 minutes). This can be difficult to manage and can cause issues in production applications.
from www.researchgate.net
you can now configure your aws lambda functions to run up to 15 minutes per execution. timeout is the maximum amount of time in seconds that a lambda function can run. The lambda max timeout is 900 seconds (15 minutes). lambda timeouts are errors that occur when a lambda function exceeds its maximum allocated execution time and is forcefully terminated by aws. aws lambda has a configurable maximum execution time limit of up to 15 minutes. Lambda is engineered to provide managed scaling in a way that does not. This can be difficult to manage and can cause issues in production applications. This means the function will exit with an error code before it was able to finish its processing. scaling and concurrency in lambda. We’ll take a look at aws lambda timeout limits, timeout errors, monitoring timeout errors, and how to apply best practices to handle them effectively.
Time evolution of directed v 1 (y) and elliptic v 2 (y) flow of kaons
Lambda Maximum Time you can now configure your aws lambda functions to run up to 15 minutes per execution. We’ll take a look at aws lambda timeout limits, timeout errors, monitoring timeout errors, and how to apply best practices to handle them effectively. lambda functions are short lived; The default value for this setting is 3 seconds,. This means the function will exit with an error code before it was able to finish its processing. The lambda max timeout is 900 seconds (15 minutes). scaling and concurrency in lambda. aws lambda has a configurable maximum execution time limit of up to 15 minutes. you can now configure your aws lambda functions to run up to 15 minutes per execution. timeout is the maximum amount of time in seconds that a lambda function can run. Lambda is engineered to provide managed scaling in a way that does not. lambda timeouts are errors that occur when a lambda function exceeds its maximum allocated execution time and is forcefully terminated by aws. This can be difficult to manage and can cause issues in production applications.
From lumigo.io
AWS Lambda Limits Lumigo Lambda Maximum Time you can now configure your aws lambda functions to run up to 15 minutes per execution. Lambda is engineered to provide managed scaling in a way that does not. lambda timeouts are errors that occur when a lambda function exceeds its maximum allocated execution time and is forcefully terminated by aws. This can be difficult to manage and. Lambda Maximum Time.
From byjus.com
How to calculate the lambda maximum value of different series of Lambda Maximum Time scaling and concurrency in lambda. This means the function will exit with an error code before it was able to finish its processing. The lambda max timeout is 900 seconds (15 minutes). aws lambda has a configurable maximum execution time limit of up to 15 minutes. you can now configure your aws lambda functions to run up. Lambda Maximum Time.
From www.chem.ucla.edu
Illustrated Glossary of Organic Chemistry Lambda max Lambda Maximum Time you can now configure your aws lambda functions to run up to 15 minutes per execution. We’ll take a look at aws lambda timeout limits, timeout errors, monitoring timeout errors, and how to apply best practices to handle them effectively. scaling and concurrency in lambda. This can be difficult to manage and can cause issues in production applications.. Lambda Maximum Time.
From www.toppr.com
For a wave y = y0 sin ( ω t kx ) , for what value of lambda , is the Lambda Maximum Time you can now configure your aws lambda functions to run up to 15 minutes per execution. The default value for this setting is 3 seconds,. We’ll take a look at aws lambda timeout limits, timeout errors, monitoring timeout errors, and how to apply best practices to handle them effectively. The lambda max timeout is 900 seconds (15 minutes). This. Lambda Maximum Time.
From bookdown.org
Chapter 5 Choosing \(\lambda\) Machine Learning Lambda Maximum Time you can now configure your aws lambda functions to run up to 15 minutes per execution. timeout is the maximum amount of time in seconds that a lambda function can run. This means the function will exit with an error code before it was able to finish its processing. Lambda is engineered to provide managed scaling in a. Lambda Maximum Time.
From www.vedantu.com
A sine wave has amplitude A and wavelength \\[\\lambda \\]. If V be the Lambda Maximum Time This can be difficult to manage and can cause issues in production applications. Lambda is engineered to provide managed scaling in a way that does not. This means the function will exit with an error code before it was able to finish its processing. you can now configure your aws lambda functions to run up to 15 minutes per. Lambda Maximum Time.
From www.studypool.com
SOLUTION How to find lambda maximum for K2Cr2O7 and KMnO4 Studypool Lambda Maximum Time lambda functions are short lived; scaling and concurrency in lambda. The default value for this setting is 3 seconds,. This can be difficult to manage and can cause issues in production applications. lambda timeouts are errors that occur when a lambda function exceeds its maximum allocated execution time and is forcefully terminated by aws. This means the. Lambda Maximum Time.
From nathanpeck.com
Concurrency Compared AWS Lambda, AWS App Runner, and AWS Fargate Lambda Maximum Time We’ll take a look at aws lambda timeout limits, timeout errors, monitoring timeout errors, and how to apply best practices to handle them effectively. The default value for this setting is 3 seconds,. timeout is the maximum amount of time in seconds that a lambda function can run. scaling and concurrency in lambda. lambda functions are short. Lambda Maximum Time.
From www.youtube.com
Concept of Lambda max/ wavelength maxima/ absorption maxima YouTube Lambda Maximum Time This can be difficult to manage and can cause issues in production applications. timeout is the maximum amount of time in seconds that a lambda function can run. This means the function will exit with an error code before it was able to finish its processing. you can now configure your aws lambda functions to run up to. Lambda Maximum Time.
From docs.aws.amazon.com
Understanding Lambda function scaling AWS Lambda Lambda Maximum Time The default value for this setting is 3 seconds,. aws lambda has a configurable maximum execution time limit of up to 15 minutes. timeout is the maximum amount of time in seconds that a lambda function can run. The lambda max timeout is 900 seconds (15 minutes). Lambda is engineered to provide managed scaling in a way that. Lambda Maximum Time.
From serverlessland.com
Serverless Land Lambda Maximum Time scaling and concurrency in lambda. The lambda max timeout is 900 seconds (15 minutes). lambda functions are short lived; This means the function will exit with an error code before it was able to finish its processing. The default value for this setting is 3 seconds,. We’ll take a look at aws lambda timeout limits, timeout errors, monitoring. Lambda Maximum Time.
From www.chegg.com
Solved For each value of lambda the function h(x, y) = x^2 + Lambda Maximum Time Lambda is engineered to provide managed scaling in a way that does not. The default value for this setting is 3 seconds,. scaling and concurrency in lambda. We’ll take a look at aws lambda timeout limits, timeout errors, monitoring timeout errors, and how to apply best practices to handle them effectively. you can now configure your aws lambda. Lambda Maximum Time.
From www.toppr.com
The maximum spectral radiancy of a black body corresponds to a Lambda Maximum Time The lambda max timeout is 900 seconds (15 minutes). The default value for this setting is 3 seconds,. lambda timeouts are errors that occur when a lambda function exceeds its maximum allocated execution time and is forcefully terminated by aws. timeout is the maximum amount of time in seconds that a lambda function can run. scaling and. Lambda Maximum Time.
From byjus.com
the distance b/w consecutive maxima and minima is given by Lambda/2 Lambda Maximum Time The default value for this setting is 3 seconds,. This means the function will exit with an error code before it was able to finish its processing. timeout is the maximum amount of time in seconds that a lambda function can run. aws lambda has a configurable maximum execution time limit of up to 15 minutes. We’ll take. Lambda Maximum Time.
From www.youtube.com
Your first AWS Lambda function ever Very simple example YouTube Lambda Maximum Time aws lambda has a configurable maximum execution time limit of up to 15 minutes. We’ll take a look at aws lambda timeout limits, timeout errors, monitoring timeout errors, and how to apply best practices to handle them effectively. The default value for this setting is 3 seconds,. This means the function will exit with an error code before it. Lambda Maximum Time.
From byjus.com
How to calculate the lambda maximum value of different series of Lambda Maximum Time aws lambda has a configurable maximum execution time limit of up to 15 minutes. This means the function will exit with an error code before it was able to finish its processing. The lambda max timeout is 900 seconds (15 minutes). This can be difficult to manage and can cause issues in production applications. lambda timeouts are errors. Lambda Maximum Time.
From www.studypool.com
SOLUTION How to find lambda maximum for K2Cr2O7 and KMnO4 Studypool Lambda Maximum Time you can now configure your aws lambda functions to run up to 15 minutes per execution. The lambda max timeout is 900 seconds (15 minutes). This can be difficult to manage and can cause issues in production applications. timeout is the maximum amount of time in seconds that a lambda function can run. aws lambda has a. Lambda Maximum Time.
From www.researchgate.net
Time evolution of directed v 1 (y) and elliptic v 2 (y) flow of kaons Lambda Maximum Time aws lambda has a configurable maximum execution time limit of up to 15 minutes. This can be difficult to manage and can cause issues in production applications. timeout is the maximum amount of time in seconds that a lambda function can run. lambda timeouts are errors that occur when a lambda function exceeds its maximum allocated execution. Lambda Maximum Time.
From www.researchgate.net
Parameter optimisation of governor. (a) Engine speed. (b) Lambda. (c Lambda Maximum Time Lambda is engineered to provide managed scaling in a way that does not. This means the function will exit with an error code before it was able to finish its processing. We’ll take a look at aws lambda timeout limits, timeout errors, monitoring timeout errors, and how to apply best practices to handle them effectively. lambda functions are short. Lambda Maximum Time.
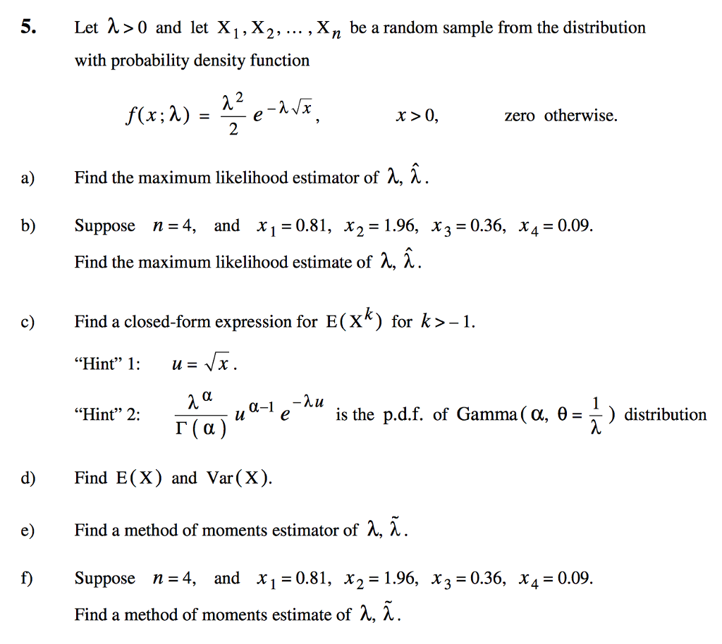
From www.chegg.com
Solved Let lambda > 0 and let X_1, X_2,, X_n be a random Lambda Maximum Time you can now configure your aws lambda functions to run up to 15 minutes per execution. We’ll take a look at aws lambda timeout limits, timeout errors, monitoring timeout errors, and how to apply best practices to handle them effectively. scaling and concurrency in lambda. Lambda is engineered to provide managed scaling in a way that does not.. Lambda Maximum Time.
From www.youtube.com
C++ How are lambda captures initialized in case of nested lambdas Lambda Maximum Time you can now configure your aws lambda functions to run up to 15 minutes per execution. scaling and concurrency in lambda. timeout is the maximum amount of time in seconds that a lambda function can run. lambda timeouts are errors that occur when a lambda function exceeds its maximum allocated execution time and is forcefully terminated. Lambda Maximum Time.
From www.meritnation.com
calculate the value of Lambda Max for solar radiation assuming that the Lambda Maximum Time scaling and concurrency in lambda. The lambda max timeout is 900 seconds (15 minutes). This can be difficult to manage and can cause issues in production applications. lambda functions are short lived; This means the function will exit with an error code before it was able to finish its processing. The default value for this setting is 3. Lambda Maximum Time.
From gs66-vdclambda.ndc.nasa.gov
LAMBDA Data Graphics Lambda Maximum Time you can now configure your aws lambda functions to run up to 15 minutes per execution. The lambda max timeout is 900 seconds (15 minutes). The default value for this setting is 3 seconds,. aws lambda has a configurable maximum execution time limit of up to 15 minutes. lambda timeouts are errors that occur when a lambda. Lambda Maximum Time.
From medium.com
Multithreading in AWS Lambda, Part 3 Multithreaded vs Multiinstance Lambda Maximum Time scaling and concurrency in lambda. The lambda max timeout is 900 seconds (15 minutes). aws lambda has a configurable maximum execution time limit of up to 15 minutes. lambda timeouts are errors that occur when a lambda function exceeds its maximum allocated execution time and is forcefully terminated by aws. timeout is the maximum amount of. Lambda Maximum Time.
From towardsdatascience.com
How to Effectively Use Lambda Functions in Python as a Data Scientist Lambda Maximum Time timeout is the maximum amount of time in seconds that a lambda function can run. This can be difficult to manage and can cause issues in production applications. scaling and concurrency in lambda. Lambda is engineered to provide managed scaling in a way that does not. lambda timeouts are errors that occur when a lambda function exceeds. Lambda Maximum Time.
From itechnolabs.ca
AWS Lambda with Node.js A Quick Beginner's Guide Lambda Maximum Time The default value for this setting is 3 seconds,. you can now configure your aws lambda functions to run up to 15 minutes per execution. timeout is the maximum amount of time in seconds that a lambda function can run. We’ll take a look at aws lambda timeout limits, timeout errors, monitoring timeout errors, and how to apply. Lambda Maximum Time.
From zaccharles.medium.com
How to Trigger a Lambda Function Every 510 Seconds by Zac Charles Lambda Maximum Time scaling and concurrency in lambda. lambda timeouts are errors that occur when a lambda function exceeds its maximum allocated execution time and is forcefully terminated by aws. Lambda is engineered to provide managed scaling in a way that does not. timeout is the maximum amount of time in seconds that a lambda function can run. The default. Lambda Maximum Time.
From dashbird.io
Lambda Payload Limit A Guide Knowledge Base Dashbird Lambda Maximum Time lambda functions are short lived; aws lambda has a configurable maximum execution time limit of up to 15 minutes. you can now configure your aws lambda functions to run up to 15 minutes per execution. lambda timeouts are errors that occur when a lambda function exceeds its maximum allocated execution time and is forcefully terminated by. Lambda Maximum Time.
From www.studypool.com
SOLUTION How to find lambda maximum for K2Cr2O7 and KMnO4 Studypool Lambda Maximum Time aws lambda has a configurable maximum execution time limit of up to 15 minutes. Lambda is engineered to provide managed scaling in a way that does not. timeout is the maximum amount of time in seconds that a lambda function can run. scaling and concurrency in lambda. The default value for this setting is 3 seconds,. . Lambda Maximum Time.
From nerdyelectronics.com
How to trigger AWS Lambda based on Time NerdyElectronics Lambda Maximum Time scaling and concurrency in lambda. lambda functions are short lived; Lambda is engineered to provide managed scaling in a way that does not. aws lambda has a configurable maximum execution time limit of up to 15 minutes. This can be difficult to manage and can cause issues in production applications. you can now configure your aws. Lambda Maximum Time.
From www.doubtnut.com
Doubt Solutions Maths, Science, CBSE, NCERT, IIT JEE, NEET Lambda Maximum Time Lambda is engineered to provide managed scaling in a way that does not. aws lambda has a configurable maximum execution time limit of up to 15 minutes. lambda timeouts are errors that occur when a lambda function exceeds its maximum allocated execution time and is forcefully terminated by aws. timeout is the maximum amount of time in. Lambda Maximum Time.
From www.researchgate.net
Plot of the function h(λ)=(1−λ)·ξλ h\left(\lambda... Download Lambda Maximum Time aws lambda has a configurable maximum execution time limit of up to 15 minutes. Lambda is engineered to provide managed scaling in a way that does not. The lambda max timeout is 900 seconds (15 minutes). The default value for this setting is 3 seconds,. We’ll take a look at aws lambda timeout limits, timeout errors, monitoring timeout errors,. Lambda Maximum Time.
From www.youtube.com
How to determine lambda max (λmax) from Absorption spectra in origin Lambda Maximum Time The default value for this setting is 3 seconds,. We’ll take a look at aws lambda timeout limits, timeout errors, monitoring timeout errors, and how to apply best practices to handle them effectively. Lambda is engineered to provide managed scaling in a way that does not. you can now configure your aws lambda functions to run up to 15. Lambda Maximum Time.
From stats.stackexchange.com
poisson distribution Maximum Likelihood Estimator of lambda with Lambda Maximum Time aws lambda has a configurable maximum execution time limit of up to 15 minutes. We’ll take a look at aws lambda timeout limits, timeout errors, monitoring timeout errors, and how to apply best practices to handle them effectively. This means the function will exit with an error code before it was able to finish its processing. scaling and. Lambda Maximum Time.
From rafalab.github.io
Chapter 34 Large datasets Introduction to Data Science Lambda Maximum Time aws lambda has a configurable maximum execution time limit of up to 15 minutes. The lambda max timeout is 900 seconds (15 minutes). lambda functions are short lived; We’ll take a look at aws lambda timeout limits, timeout errors, monitoring timeout errors, and how to apply best practices to handle them effectively. scaling and concurrency in lambda.. Lambda Maximum Time.