Exhaust Yellow Fluid . This is usually a brake line that’s failed, and it’s equalizing the pressure when parked. if your leak is light yellow. A clear liquid could also be coolant, although this will likely have a coloured. Read on to learn more. If the snow is able to touch the exhaust heat shields and the. light yellow to brown fluid leaks near a wheel or dripping off the backside of a tire when parked is usually a sign of a brake fluid leak. is your car leaking fluid? typically, you’ll find yellow fluid leaking from the front of your car or leaking from the car engine. The color (plus texture or odor) of the fluid can help determine what kind of leak you’re dealing with. This hydraulic fluid starts out as light yellow, then gets progressively darker over time and can end up dark.
from www.sherman-tank.com
light yellow to brown fluid leaks near a wheel or dripping off the backside of a tire when parked is usually a sign of a brake fluid leak. The color (plus texture or odor) of the fluid can help determine what kind of leak you’re dealing with. A clear liquid could also be coolant, although this will likely have a coloured. is your car leaking fluid? This is usually a brake line that’s failed, and it’s equalizing the pressure when parked. This hydraulic fluid starts out as light yellow, then gets progressively darker over time and can end up dark. if your leak is light yellow. If the snow is able to touch the exhaust heat shields and the. Read on to learn more. typically, you’ll find yellow fluid leaking from the front of your car or leaking from the car engine.
Diesel Exhaust Fluid (DEF) Solutions Sherman RotoTank
Exhaust Yellow Fluid if your leak is light yellow. If the snow is able to touch the exhaust heat shields and the. This hydraulic fluid starts out as light yellow, then gets progressively darker over time and can end up dark. typically, you’ll find yellow fluid leaking from the front of your car or leaking from the car engine. if your leak is light yellow. is your car leaking fluid? A clear liquid could also be coolant, although this will likely have a coloured. This is usually a brake line that’s failed, and it’s equalizing the pressure when parked. The color (plus texture or odor) of the fluid can help determine what kind of leak you’re dealing with. light yellow to brown fluid leaks near a wheel or dripping off the backside of a tire when parked is usually a sign of a brake fluid leak. Read on to learn more.
From autonews.cc
What Is Diesel Exhaust Fluid Explained Auto News Exhaust Yellow Fluid typically, you’ll find yellow fluid leaking from the front of your car or leaking from the car engine. The color (plus texture or odor) of the fluid can help determine what kind of leak you’re dealing with. A clear liquid could also be coolant, although this will likely have a coloured. If the snow is able to touch the. Exhaust Yellow Fluid.
From www.indiamart.com
Diesel Exhaust Fluid at Rs 25/liter Diesel Exhaust Fluid ID Exhaust Yellow Fluid This is usually a brake line that’s failed, and it’s equalizing the pressure when parked. A clear liquid could also be coolant, although this will likely have a coloured. typically, you’ll find yellow fluid leaking from the front of your car or leaking from the car engine. Read on to learn more. light yellow to brown fluid leaks. Exhaust Yellow Fluid.
From americanwarmoms.org
Mitsubishi Triton Dashboard Warning Lights Exhaust Yellow Fluid The color (plus texture or odor) of the fluid can help determine what kind of leak you’re dealing with. Read on to learn more. typically, you’ll find yellow fluid leaking from the front of your car or leaking from the car engine. is your car leaking fluid? This is usually a brake line that’s failed, and it’s equalizing. Exhaust Yellow Fluid.
From acdelcocanada.com
ACDelco Canada • Gold Diesel Exhaust Fluid Exhaust Yellow Fluid This is usually a brake line that’s failed, and it’s equalizing the pressure when parked. light yellow to brown fluid leaks near a wheel or dripping off the backside of a tire when parked is usually a sign of a brake fluid leak. The color (plus texture or odor) of the fluid can help determine what kind of leak. Exhaust Yellow Fluid.
From prudentialpest.com
Yellow Jacket Nest in Bathroom Exhaust Prudential Pest Solutions Exhaust Yellow Fluid The color (plus texture or odor) of the fluid can help determine what kind of leak you’re dealing with. This hydraulic fluid starts out as light yellow, then gets progressively darker over time and can end up dark. if your leak is light yellow. A clear liquid could also be coolant, although this will likely have a coloured. . Exhaust Yellow Fluid.
From ekgdiesel.com
Genuine GM Diesel Exhaust Fluid line Used 15949568 EKG DIESEL Exhaust Yellow Fluid Read on to learn more. This is usually a brake line that’s failed, and it’s equalizing the pressure when parked. is your car leaking fluid? If the snow is able to touch the exhaust heat shields and the. typically, you’ll find yellow fluid leaking from the front of your car or leaking from the car engine. A clear. Exhaust Yellow Fluid.
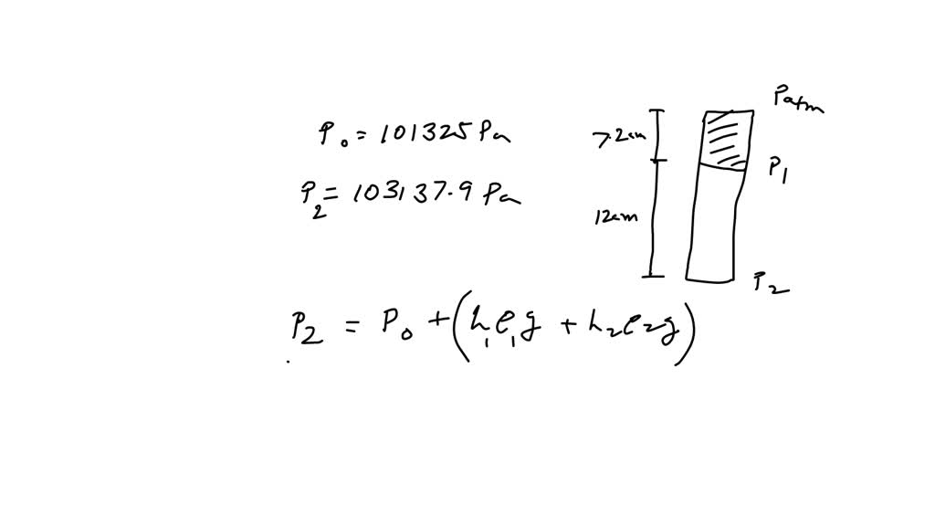
From www.numerade.com
SOLVED A tube has yellow fluid and water as shown in the figure. The Exhaust Yellow Fluid If the snow is able to touch the exhaust heat shields and the. is your car leaking fluid? A clear liquid could also be coolant, although this will likely have a coloured. if your leak is light yellow. Read on to learn more. The color (plus texture or odor) of the fluid can help determine what kind of. Exhaust Yellow Fluid.
From www.fpaceforum.com
Diesel Exhaust Fluid Dosing Malfunction Jaguar FPace Forum Exhaust Yellow Fluid is your car leaking fluid? typically, you’ll find yellow fluid leaking from the front of your car or leaking from the car engine. This hydraulic fluid starts out as light yellow, then gets progressively darker over time and can end up dark. A clear liquid could also be coolant, although this will likely have a coloured. The color. Exhaust Yellow Fluid.
From exhaustnukumuka.blogspot.com
Exhaust Diesel Exhaust Fluid Exhaust Yellow Fluid This hydraulic fluid starts out as light yellow, then gets progressively darker over time and can end up dark. If the snow is able to touch the exhaust heat shields and the. The color (plus texture or odor) of the fluid can help determine what kind of leak you’re dealing with. A clear liquid could also be coolant, although this. Exhaust Yellow Fluid.
From www.carparts.com
Fluid Leaks 101 Find Out What’s Leaking From Your Car In the Garage Exhaust Yellow Fluid typically, you’ll find yellow fluid leaking from the front of your car or leaking from the car engine. light yellow to brown fluid leaks near a wheel or dripping off the backside of a tire when parked is usually a sign of a brake fluid leak. If the snow is able to touch the exhaust heat shields and. Exhaust Yellow Fluid.
From www.indiamart.com
Diesel Exhaust Fluid at Rs 65/litre Diesel Exhaust Fluid in Navi Exhaust Yellow Fluid light yellow to brown fluid leaks near a wheel or dripping off the backside of a tire when parked is usually a sign of a brake fluid leak. This is usually a brake line that’s failed, and it’s equalizing the pressure when parked. if your leak is light yellow. A clear liquid could also be coolant, although this. Exhaust Yellow Fluid.
From in.pinterest.com
Formulation of Demulsifier Formulated by SurfactantFormulator Exhaust Yellow Fluid Read on to learn more. light yellow to brown fluid leaks near a wheel or dripping off the backside of a tire when parked is usually a sign of a brake fluid leak. This is usually a brake line that’s failed, and it’s equalizing the pressure when parked. A clear liquid could also be coolant, although this will likely. Exhaust Yellow Fluid.
From www.alamy.com
Yellow fluid hires stock photography and images Alamy Exhaust Yellow Fluid Read on to learn more. The color (plus texture or odor) of the fluid can help determine what kind of leak you’re dealing with. A clear liquid could also be coolant, although this will likely have a coloured. This is usually a brake line that’s failed, and it’s equalizing the pressure when parked. typically, you’ll find yellow fluid leaking. Exhaust Yellow Fluid.
From www.correctionenterprises.com
Diesel Exhaust Fluid Correction Enterprises Exhaust Yellow Fluid This is usually a brake line that’s failed, and it’s equalizing the pressure when parked. This hydraulic fluid starts out as light yellow, then gets progressively darker over time and can end up dark. if your leak is light yellow. typically, you’ll find yellow fluid leaking from the front of your car or leaking from the car engine.. Exhaust Yellow Fluid.
From headlessbuddhasamples.com
Diesel Exhaust Fluid 20192020 New Car Release Date Exhaust Yellow Fluid If the snow is able to touch the exhaust heat shields and the. This hydraulic fluid starts out as light yellow, then gets progressively darker over time and can end up dark. light yellow to brown fluid leaks near a wheel or dripping off the backside of a tire when parked is usually a sign of a brake fluid. Exhaust Yellow Fluid.
From vehq.com
Is Diesel Exhaust Fluid A Hazardous Material? Exhaust Yellow Fluid If the snow is able to touch the exhaust heat shields and the. typically, you’ll find yellow fluid leaking from the front of your car or leaking from the car engine. The color (plus texture or odor) of the fluid can help determine what kind of leak you’re dealing with. light yellow to brown fluid leaks near a. Exhaust Yellow Fluid.
From www.dieselpowerproducts.com
Diesel Exhaust Fluid Everything You Need to Know Diesel Power Exhaust Yellow Fluid A clear liquid could also be coolant, although this will likely have a coloured. Read on to learn more. typically, you’ll find yellow fluid leaking from the front of your car or leaking from the car engine. This hydraulic fluid starts out as light yellow, then gets progressively darker over time and can end up dark. If the snow. Exhaust Yellow Fluid.
From www.alamy.com
Patient hold a surgical drainage filled with drained serous yellow Exhaust Yellow Fluid A clear liquid could also be coolant, although this will likely have a coloured. The color (plus texture or odor) of the fluid can help determine what kind of leak you’re dealing with. This is usually a brake line that’s failed, and it’s equalizing the pressure when parked. light yellow to brown fluid leaks near a wheel or dripping. Exhaust Yellow Fluid.
From www.alamy.com
Pipette adding yellow fluid to one of several testtubes with flasks on Exhaust Yellow Fluid This hydraulic fluid starts out as light yellow, then gets progressively darker over time and can end up dark. typically, you’ll find yellow fluid leaking from the front of your car or leaking from the car engine. This is usually a brake line that’s failed, and it’s equalizing the pressure when parked. light yellow to brown fluid leaks. Exhaust Yellow Fluid.
From www.reddit.com
What’s this yellow fluid leaking from my nose? r/Sinusitis Exhaust Yellow Fluid light yellow to brown fluid leaks near a wheel or dripping off the backside of a tire when parked is usually a sign of a brake fluid leak. The color (plus texture or odor) of the fluid can help determine what kind of leak you’re dealing with. typically, you’ll find yellow fluid leaking from the front of your. Exhaust Yellow Fluid.
From www.blendspace.com
Exhaust Diesel Fluid Lessons Blendspace Exhaust Yellow Fluid If the snow is able to touch the exhaust heat shields and the. is your car leaking fluid? This is usually a brake line that’s failed, and it’s equalizing the pressure when parked. typically, you’ll find yellow fluid leaking from the front of your car or leaking from the car engine. A clear liquid could also be coolant,. Exhaust Yellow Fluid.
From blueskydefna.com
Understanding How Diesel Exhaust Fluid Works Exhaust Yellow Fluid This is usually a brake line that’s failed, and it’s equalizing the pressure when parked. if your leak is light yellow. typically, you’ll find yellow fluid leaking from the front of your car or leaking from the car engine. This hydraulic fluid starts out as light yellow, then gets progressively darker over time and can end up dark.. Exhaust Yellow Fluid.
From vehq.com
Diesel Exhaust Fluid Will Not Reset Why And What To Do? Exhaust Yellow Fluid light yellow to brown fluid leaks near a wheel or dripping off the backside of a tire when parked is usually a sign of a brake fluid leak. is your car leaking fluid? A clear liquid could also be coolant, although this will likely have a coloured. If the snow is able to touch the exhaust heat shields. Exhaust Yellow Fluid.
From www.jeepzine.com
What Does It Mean When Yellow Liquid Leaking from Car Jeepzine Exhaust Yellow Fluid This is usually a brake line that’s failed, and it’s equalizing the pressure when parked. A clear liquid could also be coolant, although this will likely have a coloured. This hydraulic fluid starts out as light yellow, then gets progressively darker over time and can end up dark. The color (plus texture or odor) of the fluid can help determine. Exhaust Yellow Fluid.
From www.sherman-tank.com
Diesel Exhaust Fluid (DEF) Solutions Sherman RotoTank Exhaust Yellow Fluid This hydraulic fluid starts out as light yellow, then gets progressively darker over time and can end up dark. Read on to learn more. This is usually a brake line that’s failed, and it’s equalizing the pressure when parked. typically, you’ll find yellow fluid leaking from the front of your car or leaking from the car engine. is. Exhaust Yellow Fluid.
From www.fixdapp.com
Diesel Exhaust Fluid What You Need To Know FIXD Best OBD2 Scanner Exhaust Yellow Fluid light yellow to brown fluid leaks near a wheel or dripping off the backside of a tire when parked is usually a sign of a brake fluid leak. is your car leaking fluid? If the snow is able to touch the exhaust heat shields and the. Read on to learn more. A clear liquid could also be coolant,. Exhaust Yellow Fluid.
From www.ntotank.com
DEF Tanks Diesel Exhaust Fluid 101 Exhaust Yellow Fluid This is usually a brake line that’s failed, and it’s equalizing the pressure when parked. typically, you’ll find yellow fluid leaking from the front of your car or leaking from the car engine. If the snow is able to touch the exhaust heat shields and the. is your car leaking fluid? A clear liquid could also be coolant,. Exhaust Yellow Fluid.
From www.indiamart.com
Yellow Exhaust Dyes at best price in Ahmedabad by Galaxy Chem Exhaust Yellow Fluid The color (plus texture or odor) of the fluid can help determine what kind of leak you’re dealing with. light yellow to brown fluid leaks near a wheel or dripping off the backside of a tire when parked is usually a sign of a brake fluid leak. If the snow is able to touch the exhaust heat shields and. Exhaust Yellow Fluid.
From www.researchgate.net
Gross cerebrospinal fluid finding showing clear light yellow fluid with Exhaust Yellow Fluid is your car leaking fluid? Read on to learn more. This hydraulic fluid starts out as light yellow, then gets progressively darker over time and can end up dark. This is usually a brake line that’s failed, and it’s equalizing the pressure when parked. light yellow to brown fluid leaks near a wheel or dripping off the backside. Exhaust Yellow Fluid.
From www.homedepot.ca
Air1 Diesel Exhaust Fluid The Home Depot Canada Exhaust Yellow Fluid This is usually a brake line that’s failed, and it’s equalizing the pressure when parked. If the snow is able to touch the exhaust heat shields and the. if your leak is light yellow. The color (plus texture or odor) of the fluid can help determine what kind of leak you’re dealing with. Read on to learn more. A. Exhaust Yellow Fluid.
From www.researchgate.net
(a) Yellow fluid densities for 1 alginate solution. From top to bottom Exhaust Yellow Fluid A clear liquid could also be coolant, although this will likely have a coloured. light yellow to brown fluid leaks near a wheel or dripping off the backside of a tire when parked is usually a sign of a brake fluid leak. The color (plus texture or odor) of the fluid can help determine what kind of leak you’re. Exhaust Yellow Fluid.
From www.photocase.com
Different shades of yellow fluid in bottles a Royalty Free Stock Exhaust Yellow Fluid This is usually a brake line that’s failed, and it’s equalizing the pressure when parked. if your leak is light yellow. A clear liquid could also be coolant, although this will likely have a coloured. This hydraulic fluid starts out as light yellow, then gets progressively darker over time and can end up dark. If the snow is able. Exhaust Yellow Fluid.
From www.perfprotech.com
Common Causes of 'Milky' Engine Oil Exhaust Yellow Fluid light yellow to brown fluid leaks near a wheel or dripping off the backside of a tire when parked is usually a sign of a brake fluid leak. If the snow is able to touch the exhaust heat shields and the. if your leak is light yellow. is your car leaking fluid? This is usually a brake. Exhaust Yellow Fluid.
From www.photocase.com
Different shades of yellow fluid in bottles a Royalty Free Stock Exhaust Yellow Fluid This hydraulic fluid starts out as light yellow, then gets progressively darker over time and can end up dark. if your leak is light yellow. A clear liquid could also be coolant, although this will likely have a coloured. The color (plus texture or odor) of the fluid can help determine what kind of leak you’re dealing with. If. Exhaust Yellow Fluid.
From www.jaguarfuelconversions.co.uk
Incorrect Diesel Exhaust Fluid Quality Detected — Mugglestone & Co Exhaust Yellow Fluid A clear liquid could also be coolant, although this will likely have a coloured. This hydraulic fluid starts out as light yellow, then gets progressively darker over time and can end up dark. If the snow is able to touch the exhaust heat shields and the. is your car leaking fluid? light yellow to brown fluid leaks near. Exhaust Yellow Fluid.