What Is Condominium Association Coverage Form . Some condo association insurance policies go a step or two further, however. Read the entire policy carefully to determine. Insuring condominium property is difficult. Changes from the 06 07 edition are in bold print. The iso condominium association coverage form, cp 00 17 10 12, meets the requirements of most condominium property acts by including fixtures outside of individual units and personal. Condominium association coverage form various provisions in this policy restrict coverage. The association’s form provides coverage for certain items that could be called personal property of the unit owner. This includes parking lots, lobbies, elevators, tennis courts, and any other spaces or features your community shares. In fact, that property is covered on the. Your condo association’s insurance policy covers all the public areas and shared amenities within your building or complex.
from www.uslegalforms.com
The iso condominium association coverage form, cp 00 17 10 12, meets the requirements of most condominium property acts by including fixtures outside of individual units and personal. Some condo association insurance policies go a step or two further, however. Condominium association coverage form various provisions in this policy restrict coverage. Your condo association’s insurance policy covers all the public areas and shared amenities within your building or complex. Read the entire policy carefully to determine. The association’s form provides coverage for certain items that could be called personal property of the unit owner. Changes from the 06 07 edition are in bold print. Insuring condominium property is difficult. In fact, that property is covered on the. This includes parking lots, lobbies, elevators, tennis courts, and any other spaces or features your community shares.
Florida Realtors Association Forms Condo Rider 20202021 Fill and
What Is Condominium Association Coverage Form The iso condominium association coverage form, cp 00 17 10 12, meets the requirements of most condominium property acts by including fixtures outside of individual units and personal. The association’s form provides coverage for certain items that could be called personal property of the unit owner. In fact, that property is covered on the. The iso condominium association coverage form, cp 00 17 10 12, meets the requirements of most condominium property acts by including fixtures outside of individual units and personal. Read the entire policy carefully to determine. Some condo association insurance policies go a step or two further, however. Changes from the 06 07 edition are in bold print. This includes parking lots, lobbies, elevators, tennis courts, and any other spaces or features your community shares. Your condo association’s insurance policy covers all the public areas and shared amenities within your building or complex. Insuring condominium property is difficult. Condominium association coverage form various provisions in this policy restrict coverage.
From www.pdffiller.com
Condominium Real Estate Fill Online, Printable, Fillable, Blank What Is Condominium Association Coverage Form Condominium association coverage form various provisions in this policy restrict coverage. In fact, that property is covered on the. The iso condominium association coverage form, cp 00 17 10 12, meets the requirements of most condominium property acts by including fixtures outside of individual units and personal. Your condo association’s insurance policy covers all the public areas and shared amenities. What Is Condominium Association Coverage Form.
From www.pdffiller.com
condominium association board member certification * Doc Template What Is Condominium Association Coverage Form Changes from the 06 07 edition are in bold print. Condominium association coverage form various provisions in this policy restrict coverage. Insuring condominium property is difficult. In fact, that property is covered on the. Some condo association insurance policies go a step or two further, however. This includes parking lots, lobbies, elevators, tennis courts, and any other spaces or features. What Is Condominium Association Coverage Form.
From www.airslate.com
Update Condominium Form Association Set Signature Type Bot airSlate What Is Condominium Association Coverage Form Read the entire policy carefully to determine. Insuring condominium property is difficult. Your condo association’s insurance policy covers all the public areas and shared amenities within your building or complex. Some condo association insurance policies go a step or two further, however. Changes from the 06 07 edition are in bold print. In fact, that property is covered on the.. What Is Condominium Association Coverage Form.
From www.slideserve.com
PPT What is Condominium association Insurance in Clewiston PowerPoint What Is Condominium Association Coverage Form Read the entire policy carefully to determine. Condominium association coverage form various provisions in this policy restrict coverage. Some condo association insurance policies go a step or two further, however. Changes from the 06 07 edition are in bold print. Insuring condominium property is difficult. In fact, that property is covered on the. The association’s form provides coverage for certain. What Is Condominium Association Coverage Form.
From www.shutterstock.com
Condominium Association Coverage Form Word Written Stock Photo What Is Condominium Association Coverage Form This includes parking lots, lobbies, elevators, tennis courts, and any other spaces or features your community shares. Changes from the 06 07 edition are in bold print. The iso condominium association coverage form, cp 00 17 10 12, meets the requirements of most condominium property acts by including fixtures outside of individual units and personal. Condominium association coverage form various. What Is Condominium Association Coverage Form.
From www.premierpm.biz
Premier Property Management Harbourview Condominium Association What Is Condominium Association Coverage Form This includes parking lots, lobbies, elevators, tennis courts, and any other spaces or features your community shares. Your condo association’s insurance policy covers all the public areas and shared amenities within your building or complex. Changes from the 06 07 edition are in bold print. Insuring condominium property is difficult. The association’s form provides coverage for certain items that could. What Is Condominium Association Coverage Form.
From www.templateroller.com
DBPR Form CO60001 Fill Out, Sign Online and Download Printable PDF What Is Condominium Association Coverage Form Some condo association insurance policies go a step or two further, however. Condominium association coverage form various provisions in this policy restrict coverage. Insuring condominium property is difficult. This includes parking lots, lobbies, elevators, tennis courts, and any other spaces or features your community shares. In fact, that property is covered on the. Read the entire policy carefully to determine.. What Is Condominium Association Coverage Form.
From saylordotorg.github.io
Packaging Coverage, Homeowners Policy Forms, and the Special Form (HO3) What Is Condominium Association Coverage Form Read the entire policy carefully to determine. The iso condominium association coverage form, cp 00 17 10 12, meets the requirements of most condominium property acts by including fixtures outside of individual units and personal. Some condo association insurance policies go a step or two further, however. Insuring condominium property is difficult. The association’s form provides coverage for certain items. What Is Condominium Association Coverage Form.
From www.uslegalforms.com
Hillsborough Florida Rules and Regulations for a Condominium What Is Condominium Association Coverage Form Changes from the 06 07 edition are in bold print. Condominium association coverage form various provisions in this policy restrict coverage. Read the entire policy carefully to determine. The iso condominium association coverage form, cp 00 17 10 12, meets the requirements of most condominium property acts by including fixtures outside of individual units and personal. This includes parking lots,. What Is Condominium Association Coverage Form.
From www.formsbank.com
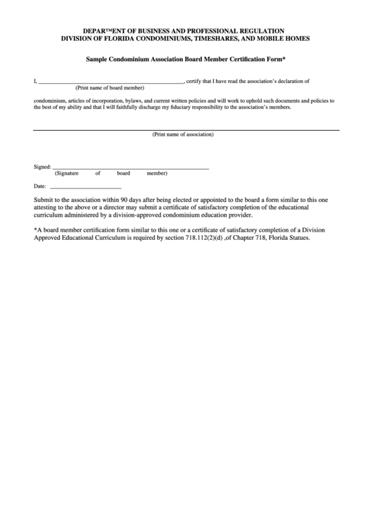
Sample Condominium Association Board Member Certification Form What Is Condominium Association Coverage Form In fact, that property is covered on the. Condominium association coverage form various provisions in this policy restrict coverage. This includes parking lots, lobbies, elevators, tennis courts, and any other spaces or features your community shares. Read the entire policy carefully to determine. Insuring condominium property is difficult. The iso condominium association coverage form, cp 00 17 10 12, meets. What Is Condominium Association Coverage Form.
From uvauava9890.blogspot.com
Insurance Coverage Condo What does condo insurance cover? Coverage What Is Condominium Association Coverage Form The association’s form provides coverage for certain items that could be called personal property of the unit owner. Your condo association’s insurance policy covers all the public areas and shared amenities within your building or complex. The iso condominium association coverage form, cp 00 17 10 12, meets the requirements of most condominium property acts by including fixtures outside of. What Is Condominium Association Coverage Form.
From docslib.org
Condominium Commercial UnitOwners Coverage Form DocsLib What Is Condominium Association Coverage Form The iso condominium association coverage form, cp 00 17 10 12, meets the requirements of most condominium property acts by including fixtures outside of individual units and personal. In fact, that property is covered on the. Insuring condominium property is difficult. Read the entire policy carefully to determine. This includes parking lots, lobbies, elevators, tennis courts, and any other spaces. What Is Condominium Association Coverage Form.
From www.templateroller.com
Missouri Condominium Resale Certificate Form Missouri Association of What Is Condominium Association Coverage Form The association’s form provides coverage for certain items that could be called personal property of the unit owner. This includes parking lots, lobbies, elevators, tennis courts, and any other spaces or features your community shares. Condominium association coverage form various provisions in this policy restrict coverage. Some condo association insurance policies go a step or two further, however. In fact,. What Is Condominium Association Coverage Form.
From www.bartleby.com
Answered Extra Expense coverage is included in… bartleby What Is Condominium Association Coverage Form Condominium association coverage form various provisions in this policy restrict coverage. The iso condominium association coverage form, cp 00 17 10 12, meets the requirements of most condominium property acts by including fixtures outside of individual units and personal. Your condo association’s insurance policy covers all the public areas and shared amenities within your building or complex. Some condo association. What Is Condominium Association Coverage Form.
From www.signnow.com
Condominium Association Agreement Form Fill Out and Sign Printable What Is Condominium Association Coverage Form Some condo association insurance policies go a step or two further, however. The iso condominium association coverage form, cp 00 17 10 12, meets the requirements of most condominium property acts by including fixtures outside of individual units and personal. The association’s form provides coverage for certain items that could be called personal property of the unit owner. Changes from. What Is Condominium Association Coverage Form.
From www.uslegalforms.com
CT Westwood Ledge Condominium Association Resident Registration Form What Is Condominium Association Coverage Form Condominium association coverage form various provisions in this policy restrict coverage. Your condo association’s insurance policy covers all the public areas and shared amenities within your building or complex. Insuring condominium property is difficult. The iso condominium association coverage form, cp 00 17 10 12, meets the requirements of most condominium property acts by including fixtures outside of individual units. What Is Condominium Association Coverage Form.
From www.pdffiller.com
Texas Condo Policy Form Coverage A Fill Online, Printable, Fillable What Is Condominium Association Coverage Form The iso condominium association coverage form, cp 00 17 10 12, meets the requirements of most condominium property acts by including fixtures outside of individual units and personal. In fact, that property is covered on the. Changes from the 06 07 edition are in bold print. Insuring condominium property is difficult. Condominium association coverage form various provisions in this policy. What Is Condominium Association Coverage Form.
From www.nrcia.org
Certificate of Insurance What to Look For as a Homeowner What Is Condominium Association Coverage Form This includes parking lots, lobbies, elevators, tennis courts, and any other spaces or features your community shares. Changes from the 06 07 edition are in bold print. Some condo association insurance policies go a step or two further, however. Read the entire policy carefully to determine. Your condo association’s insurance policy covers all the public areas and shared amenities within. What Is Condominium Association Coverage Form.
From www.formsbank.com
Fillable Form Cert103 Residential Condominium Association What Is Condominium Association Coverage Form The association’s form provides coverage for certain items that could be called personal property of the unit owner. Read the entire policy carefully to determine. The iso condominium association coverage form, cp 00 17 10 12, meets the requirements of most condominium property acts by including fixtures outside of individual units and personal. Some condo association insurance policies go a. What Is Condominium Association Coverage Form.
From www.slideserve.com
PPT Condominium Insurance Coverage Guide PowerPoint Presentation What Is Condominium Association Coverage Form Your condo association’s insurance policy covers all the public areas and shared amenities within your building or complex. The iso condominium association coverage form, cp 00 17 10 12, meets the requirements of most condominium property acts by including fixtures outside of individual units and personal. Condominium association coverage form various provisions in this policy restrict coverage. Insuring condominium property. What Is Condominium Association Coverage Form.
From eforms.com
Free Condominium (Condo) Lease Agreement Template PDF Word eForms What Is Condominium Association Coverage Form Some condo association insurance policies go a step or two further, however. The iso condominium association coverage form, cp 00 17 10 12, meets the requirements of most condominium property acts by including fixtures outside of individual units and personal. The association’s form provides coverage for certain items that could be called personal property of the unit owner. Your condo. What Is Condominium Association Coverage Form.
From www.pinterest.com
Condo Insurance Guide Condo insurance, Homeowners What Is Condominium Association Coverage Form Condominium association coverage form various provisions in this policy restrict coverage. This includes parking lots, lobbies, elevators, tennis courts, and any other spaces or features your community shares. Changes from the 06 07 edition are in bold print. Some condo association insurance policies go a step or two further, however. The iso condominium association coverage form, cp 00 17 10. What Is Condominium Association Coverage Form.
From www.uslegalforms.com
Florida Realtors Association Forms Condo Rider 20202021 Fill and What Is Condominium Association Coverage Form Changes from the 06 07 edition are in bold print. In fact, that property is covered on the. Insuring condominium property is difficult. The iso condominium association coverage form, cp 00 17 10 12, meets the requirements of most condominium property acts by including fixtures outside of individual units and personal. This includes parking lots, lobbies, elevators, tennis courts, and. What Is Condominium Association Coverage Form.
From www.slideserve.com
PPT LaBelle Condominium Association Insurance Get the Coverage You What Is Condominium Association Coverage Form The association’s form provides coverage for certain items that could be called personal property of the unit owner. Some condo association insurance policies go a step or two further, however. Insuring condominium property is difficult. This includes parking lots, lobbies, elevators, tennis courts, and any other spaces or features your community shares. Your condo association’s insurance policy covers all the. What Is Condominium Association Coverage Form.
From www.pdffiller.com
condominium Doc Template pdfFiller What Is Condominium Association Coverage Form The association’s form provides coverage for certain items that could be called personal property of the unit owner. The iso condominium association coverage form, cp 00 17 10 12, meets the requirements of most condominium property acts by including fixtures outside of individual units and personal. In fact, that property is covered on the. Some condo association insurance policies go. What Is Condominium Association Coverage Form.
From www.uslegalforms.com
Application to Condominium Association and Agreement for Permission to What Is Condominium Association Coverage Form In fact, that property is covered on the. Condominium association coverage form various provisions in this policy restrict coverage. Your condo association’s insurance policy covers all the public areas and shared amenities within your building or complex. Some condo association insurance policies go a step or two further, however. The association’s form provides coverage for certain items that could be. What Is Condominium Association Coverage Form.
From brancoinsurancegroup.com
5 Advantages of Condominium Association Insurance Coverage Branco What Is Condominium Association Coverage Form This includes parking lots, lobbies, elevators, tennis courts, and any other spaces or features your community shares. The association’s form provides coverage for certain items that could be called personal property of the unit owner. Some condo association insurance policies go a step or two further, however. In fact, that property is covered on the. Insuring condominium property is difficult.. What Is Condominium Association Coverage Form.
From www.uslegalforms.com
Condominium Resale Certificate 20202022 Fill and Sign Printable What Is Condominium Association Coverage Form In fact, that property is covered on the. The iso condominium association coverage form, cp 00 17 10 12, meets the requirements of most condominium property acts by including fixtures outside of individual units and personal. The association’s form provides coverage for certain items that could be called personal property of the unit owner. Changes from the 06 07 edition. What Is Condominium Association Coverage Form.
From www.thepinnaclelist.com
The Pros And Cons Of A Condominium Association The Pinnacle List What Is Condominium Association Coverage Form Condominium association coverage form various provisions in this policy restrict coverage. In fact, that property is covered on the. Your condo association’s insurance policy covers all the public areas and shared amenities within your building or complex. Some condo association insurance policies go a step or two further, however. Insuring condominium property is difficult. Changes from the 06 07 edition. What Is Condominium Association Coverage Form.
From www.compareclosing.com
What Is A Condo Association? The Important Things To Know What Is Condominium Association Coverage Form Some condo association insurance policies go a step or two further, however. Read the entire policy carefully to determine. Your condo association’s insurance policy covers all the public areas and shared amenities within your building or complex. Changes from the 06 07 edition are in bold print. The iso condominium association coverage form, cp 00 17 10 12, meets the. What Is Condominium Association Coverage Form.
From www.reddit.com
HOA master policy insurance declaration page questions HOA What Is Condominium Association Coverage Form Some condo association insurance policies go a step or two further, however. Read the entire policy carefully to determine. Changes from the 06 07 edition are in bold print. This includes parking lots, lobbies, elevators, tennis courts, and any other spaces or features your community shares. Insuring condominium property is difficult. Condominium association coverage form various provisions in this policy. What Is Condominium Association Coverage Form.
From freeforms.com
Free Condominium Association Addendum PDF WORD What Is Condominium Association Coverage Form Some condo association insurance policies go a step or two further, however. In fact, that property is covered on the. Your condo association’s insurance policy covers all the public areas and shared amenities within your building or complex. This includes parking lots, lobbies, elevators, tennis courts, and any other spaces or features your community shares. Changes from the 06 07. What Is Condominium Association Coverage Form.
From www.templateroller.com
Fannie Mae Form 1073 Fill Out, Sign Online and Download Printable PDF What Is Condominium Association Coverage Form This includes parking lots, lobbies, elevators, tennis courts, and any other spaces or features your community shares. In fact, that property is covered on the. Insuring condominium property is difficult. Your condo association’s insurance policy covers all the public areas and shared amenities within your building or complex. Read the entire policy carefully to determine. Condominium association coverage form various. What Is Condominium Association Coverage Form.
From www.uslegalforms.com
Hillsborough Florida Rules and Regulations for a Condominium What Is Condominium Association Coverage Form Condominium association coverage form various provisions in this policy restrict coverage. In fact, that property is covered on the. Some condo association insurance policies go a step or two further, however. Your condo association’s insurance policy covers all the public areas and shared amenities within your building or complex. Read the entire policy carefully to determine. This includes parking lots,. What Is Condominium Association Coverage Form.
From www.slideserve.com
PPT Chapter 25 Commercial Property Insurance PowerPoint Presentation What Is Condominium Association Coverage Form Condominium association coverage form various provisions in this policy restrict coverage. The association’s form provides coverage for certain items that could be called personal property of the unit owner. Changes from the 06 07 edition are in bold print. This includes parking lots, lobbies, elevators, tennis courts, and any other spaces or features your community shares. In fact, that property. What Is Condominium Association Coverage Form.