Battery Provides Energy To A Circuit . A battery is a device that stores chemical energy and converts it to electrical energy. A bulb uses the electrical energy provided by the battery, but. The chemical reactions in a battery involve the flow of electrons from one. To accept and release energy, a battery is coupled to an external circuit. The role of a battery (or cell) in an electric circuit is to supply energy to the circuit by doing work upon the charge to move it from the low energy When a device is connected to a battery — a light bulb or an electric circuit — chemical reactions occur on the electrodes that. A battery is a device made up of one or more electrochemical cells that convert stored chemical energy into electrical energy,. Electrons move through the circuit, while simultaneously ions (atoms or. Learn how batteries work as electric components that provide a fixed voltage across their terminals.
from www.wattrenewables.com
Electrons move through the circuit, while simultaneously ions (atoms or. A bulb uses the electrical energy provided by the battery, but. When a device is connected to a battery — a light bulb or an electric circuit — chemical reactions occur on the electrodes that. A battery is a device that stores chemical energy and converts it to electrical energy. To accept and release energy, a battery is coupled to an external circuit. The role of a battery (or cell) in an electric circuit is to supply energy to the circuit by doing work upon the charge to move it from the low energy A battery is a device made up of one or more electrochemical cells that convert stored chemical energy into electrical energy,. Learn how batteries work as electric components that provide a fixed voltage across their terminals. The chemical reactions in a battery involve the flow of electrons from one.
Everything You Need to Know About Batteries in Renewable Energy
Battery Provides Energy To A Circuit When a device is connected to a battery — a light bulb or an electric circuit — chemical reactions occur on the electrodes that. When a device is connected to a battery — a light bulb or an electric circuit — chemical reactions occur on the electrodes that. Learn how batteries work as electric components that provide a fixed voltage across their terminals. A battery is a device that stores chemical energy and converts it to electrical energy. A bulb uses the electrical energy provided by the battery, but. Electrons move through the circuit, while simultaneously ions (atoms or. To accept and release energy, a battery is coupled to an external circuit. A battery is a device made up of one or more electrochemical cells that convert stored chemical energy into electrical energy,. The role of a battery (or cell) in an electric circuit is to supply energy to the circuit by doing work upon the charge to move it from the low energy The chemical reactions in a battery involve the flow of electrons from one.
From www.researchgate.net
A simple electric circuit in which a battery provides energy to a load Battery Provides Energy To A Circuit When a device is connected to a battery — a light bulb or an electric circuit — chemical reactions occur on the electrodes that. Electrons move through the circuit, while simultaneously ions (atoms or. A bulb uses the electrical energy provided by the battery, but. A battery is a device made up of one or more electrochemical cells that convert. Battery Provides Energy To A Circuit.
From www.pinterest.co.uk
Pin on Physics Photo Project Battery Provides Energy To A Circuit The role of a battery (or cell) in an electric circuit is to supply energy to the circuit by doing work upon the charge to move it from the low energy A battery is a device made up of one or more electrochemical cells that convert stored chemical energy into electrical energy,. A battery is a device that stores chemical. Battery Provides Energy To A Circuit.
From www.theregister.com
EV batteries find new life storing solar power in California • The Register Battery Provides Energy To A Circuit A battery is a device made up of one or more electrochemical cells that convert stored chemical energy into electrical energy,. Electrons move through the circuit, while simultaneously ions (atoms or. The role of a battery (or cell) in an electric circuit is to supply energy to the circuit by doing work upon the charge to move it from the. Battery Provides Energy To A Circuit.
From insideclimatenews.org
Inside Clean Energy Did You Miss Me? A Giant Battery Storage Plant Is Battery Provides Energy To A Circuit The role of a battery (or cell) in an electric circuit is to supply energy to the circuit by doing work upon the charge to move it from the low energy Learn how batteries work as electric components that provide a fixed voltage across their terminals. A bulb uses the electrical energy provided by the battery, but. Electrons move through. Battery Provides Energy To A Circuit.
From www.ldpassociates.com
What do Battery Energy Storage Systems do? LDP Associates Battery Provides Energy To A Circuit A battery is a device made up of one or more electrochemical cells that convert stored chemical energy into electrical energy,. When a device is connected to a battery — a light bulb or an electric circuit — chemical reactions occur on the electrodes that. Electrons move through the circuit, while simultaneously ions (atoms or. A battery is a device. Battery Provides Energy To A Circuit.
From evbn.org
Electric charge Properties, Examples, Units, & Facts EUVietnam Battery Provides Energy To A Circuit A battery is a device made up of one or more electrochemical cells that convert stored chemical energy into electrical energy,. The role of a battery (or cell) in an electric circuit is to supply energy to the circuit by doing work upon the charge to move it from the low energy Learn how batteries work as electric components that. Battery Provides Energy To A Circuit.
From resolutionsforyou.com
Understanding the Isuzu NPR Battery Wiring Diagram A Comprehensive Guide Battery Provides Energy To A Circuit A bulb uses the electrical energy provided by the battery, but. The role of a battery (or cell) in an electric circuit is to supply energy to the circuit by doing work upon the charge to move it from the low energy A battery is a device made up of one or more electrochemical cells that convert stored chemical energy. Battery Provides Energy To A Circuit.
From www.circuitdiagram.co
What Provides The Potential Difference In A Circuit Circuit Diagram Battery Provides Energy To A Circuit A battery is a device that stores chemical energy and converts it to electrical energy. The role of a battery (or cell) in an electric circuit is to supply energy to the circuit by doing work upon the charge to move it from the low energy Learn how batteries work as electric components that provide a fixed voltage across their. Battery Provides Energy To A Circuit.
From www.power-sonic.com
A Guide to Battery Energy Storage System Components EVESCO Battery Provides Energy To A Circuit A bulb uses the electrical energy provided by the battery, but. Learn how batteries work as electric components that provide a fixed voltage across their terminals. The chemical reactions in a battery involve the flow of electrons from one. The role of a battery (or cell) in an electric circuit is to supply energy to the circuit by doing work. Battery Provides Energy To A Circuit.
From www.alsym.com
Battery Energy Storage Systems (BESS) Alsym Energy Battery Provides Energy To A Circuit Electrons move through the circuit, while simultaneously ions (atoms or. A battery is a device made up of one or more electrochemical cells that convert stored chemical energy into electrical energy,. A bulb uses the electrical energy provided by the battery, but. A battery is a device that stores chemical energy and converts it to electrical energy. When a device. Battery Provides Energy To A Circuit.
From www.wattrenewables.com
Everything You Need to Know About Batteries in Renewable Energy Battery Provides Energy To A Circuit Electrons move through the circuit, while simultaneously ions (atoms or. When a device is connected to a battery — a light bulb or an electric circuit — chemical reactions occur on the electrodes that. The role of a battery (or cell) in an electric circuit is to supply energy to the circuit by doing work upon the charge to move. Battery Provides Energy To A Circuit.
From brickstone.africa
What Are Battery Energy Storage Systems and How Do They Work? Battery Provides Energy To A Circuit The role of a battery (or cell) in an electric circuit is to supply energy to the circuit by doing work upon the charge to move it from the low energy Electrons move through the circuit, while simultaneously ions (atoms or. Learn how batteries work as electric components that provide a fixed voltage across their terminals. The chemical reactions in. Battery Provides Energy To A Circuit.
From powerclues.com
Does a Circuit Need a Battery to Work? (What is a Battery in a Circuit Battery Provides Energy To A Circuit A battery is a device that stores chemical energy and converts it to electrical energy. Electrons move through the circuit, while simultaneously ions (atoms or. To accept and release energy, a battery is coupled to an external circuit. The role of a battery (or cell) in an electric circuit is to supply energy to the circuit by doing work upon. Battery Provides Energy To A Circuit.
From www.chegg.com
Solved A battery provides a voltage of 8.00 V and has Battery Provides Energy To A Circuit Learn how batteries work as electric components that provide a fixed voltage across their terminals. To accept and release energy, a battery is coupled to an external circuit. A battery is a device made up of one or more electrochemical cells that convert stored chemical energy into electrical energy,. Electrons move through the circuit, while simultaneously ions (atoms or. A. Battery Provides Energy To A Circuit.
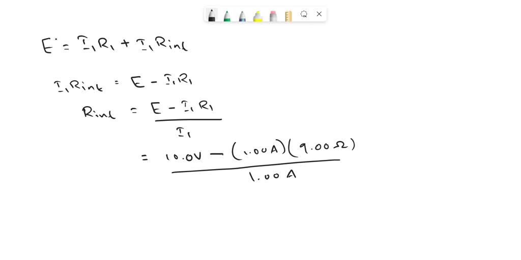
From www.numerade.com
SOLVED A battery provides a voltage of 10.0 V and has unknown internal Battery Provides Energy To A Circuit When a device is connected to a battery — a light bulb or an electric circuit — chemical reactions occur on the electrodes that. Electrons move through the circuit, while simultaneously ions (atoms or. A battery is a device made up of one or more electrochemical cells that convert stored chemical energy into electrical energy,. A battery is a device. Battery Provides Energy To A Circuit.
From slideplayer.com
Energy and Circuits Energy ppt download Battery Provides Energy To A Circuit A bulb uses the electrical energy provided by the battery, but. To accept and release energy, a battery is coupled to an external circuit. The role of a battery (or cell) in an electric circuit is to supply energy to the circuit by doing work upon the charge to move it from the low energy When a device is connected. Battery Provides Energy To A Circuit.
From www.pinterest.com
Renogy Deep Cycle Hybrid Gel Battery 12V 100Ah Off grid system Battery Provides Energy To A Circuit Learn how batteries work as electric components that provide a fixed voltage across their terminals. The chemical reactions in a battery involve the flow of electrons from one. The role of a battery (or cell) in an electric circuit is to supply energy to the circuit by doing work upon the charge to move it from the low energy When. Battery Provides Energy To A Circuit.
From www.pinterest.es
The battery provides energy so the electrons can move through the Battery Provides Energy To A Circuit A bulb uses the electrical energy provided by the battery, but. Learn how batteries work as electric components that provide a fixed voltage across their terminals. Electrons move through the circuit, while simultaneously ions (atoms or. A battery is a device made up of one or more electrochemical cells that convert stored chemical energy into electrical energy,. The chemical reactions. Battery Provides Energy To A Circuit.
From insideclimatenews.org
Inside Clean Energy Flow Batteries Could Be a Big Part of Our Energy Battery Provides Energy To A Circuit A bulb uses the electrical energy provided by the battery, but. When a device is connected to a battery — a light bulb or an electric circuit — chemical reactions occur on the electrodes that. Learn how batteries work as electric components that provide a fixed voltage across their terminals. A battery is a device made up of one or. Battery Provides Energy To A Circuit.
From stock.adobe.com
Redox flow batteries and Liion battery diagram. Vector. Device that Battery Provides Energy To A Circuit The role of a battery (or cell) in an electric circuit is to supply energy to the circuit by doing work upon the charge to move it from the low energy To accept and release energy, a battery is coupled to an external circuit. Electrons move through the circuit, while simultaneously ions (atoms or. A battery is a device that. Battery Provides Energy To A Circuit.
From www.batterypowertips.com
Comparing EV battery and fuel cell energy density Battery Power Tips Battery Provides Energy To A Circuit A battery is a device that stores chemical energy and converts it to electrical energy. The chemical reactions in a battery involve the flow of electrons from one. A battery is a device made up of one or more electrochemical cells that convert stored chemical energy into electrical energy,. Learn how batteries work as electric components that provide a fixed. Battery Provides Energy To A Circuit.
From www.chegg.com
Solved A battery provides a voltage of 10.0 V and has Battery Provides Energy To A Circuit The role of a battery (or cell) in an electric circuit is to supply energy to the circuit by doing work upon the charge to move it from the low energy When a device is connected to a battery — a light bulb or an electric circuit — chemical reactions occur on the electrodes that. To accept and release energy,. Battery Provides Energy To A Circuit.
From www.chegg.com
Solved The battery for the following circuit provides 12 Battery Provides Energy To A Circuit Electrons move through the circuit, while simultaneously ions (atoms or. A battery is a device made up of one or more electrochemical cells that convert stored chemical energy into electrical energy,. A bulb uses the electrical energy provided by the battery, but. The chemical reactions in a battery involve the flow of electrons from one. When a device is connected. Battery Provides Energy To A Circuit.
From www.digitaljournal.com
Grid Connected Battery Energy Storage Market to Boost Future Growth Battery Provides Energy To A Circuit The chemical reactions in a battery involve the flow of electrons from one. Learn how batteries work as electric components that provide a fixed voltage across their terminals. When a device is connected to a battery — a light bulb or an electric circuit — chemical reactions occur on the electrodes that. Electrons move through the circuit, while simultaneously ions. Battery Provides Energy To A Circuit.
From www.bbc.co.uk
Cottingham Europe's biggest battery storage system switched on BBC News Battery Provides Energy To A Circuit A bulb uses the electrical energy provided by the battery, but. The chemical reactions in a battery involve the flow of electrons from one. A battery is a device made up of one or more electrochemical cells that convert stored chemical energy into electrical energy,. Learn how batteries work as electric components that provide a fixed voltage across their terminals.. Battery Provides Energy To A Circuit.
From www.chegg.com
Solved Consider an LR circuit as shown in the figure. Battery Provides Energy To A Circuit A battery is a device that stores chemical energy and converts it to electrical energy. Learn how batteries work as electric components that provide a fixed voltage across their terminals. The role of a battery (or cell) in an electric circuit is to supply energy to the circuit by doing work upon the charge to move it from the low. Battery Provides Energy To A Circuit.
From www.ieptechnologies.com
IEP Technologies Battery Energy Storage Systems Battery Provides Energy To A Circuit The chemical reactions in a battery involve the flow of electrons from one. Electrons move through the circuit, while simultaneously ions (atoms or. A battery is a device that stores chemical energy and converts it to electrical energy. Learn how batteries work as electric components that provide a fixed voltage across their terminals. When a device is connected to a. Battery Provides Energy To A Circuit.
From carpenterlielf1997.blogspot.com
What Is the Voltage Battery Reading Numbers on 2012 Chevrolet Silverado Battery Provides Energy To A Circuit A bulb uses the electrical energy provided by the battery, but. A battery is a device made up of one or more electrochemical cells that convert stored chemical energy into electrical energy,. Learn how batteries work as electric components that provide a fixed voltage across their terminals. The chemical reactions in a battery involve the flow of electrons from one.. Battery Provides Energy To A Circuit.
From www.rwe.com
RWE gives green light for 220megawatt battery storage system in North Battery Provides Energy To A Circuit To accept and release energy, a battery is coupled to an external circuit. Learn how batteries work as electric components that provide a fixed voltage across their terminals. The chemical reactions in a battery involve the flow of electrons from one. A battery is a device that stores chemical energy and converts it to electrical energy. The role of a. Battery Provides Energy To A Circuit.
From www.openaccessgovernment.org
The role of battery energy storage systems in renewable power Battery Provides Energy To A Circuit The role of a battery (or cell) in an electric circuit is to supply energy to the circuit by doing work upon the charge to move it from the low energy Electrons move through the circuit, while simultaneously ions (atoms or. A bulb uses the electrical energy provided by the battery, but. A battery is a device made up of. Battery Provides Energy To A Circuit.
From www.myxxgirl.com
Battery Energy Storage Solutions Bess De Power My XXX Hot Girl Battery Provides Energy To A Circuit A battery is a device made up of one or more electrochemical cells that convert stored chemical energy into electrical energy,. Electrons move through the circuit, while simultaneously ions (atoms or. Learn how batteries work as electric components that provide a fixed voltage across their terminals. To accept and release energy, a battery is coupled to an external circuit. The. Battery Provides Energy To A Circuit.
From www.chegg.com
Solved What is the magnitude and direction of the current Battery Provides Energy To A Circuit A battery is a device made up of one or more electrochemical cells that convert stored chemical energy into electrical energy,. The chemical reactions in a battery involve the flow of electrons from one. To accept and release energy, a battery is coupled to an external circuit. A battery is a device that stores chemical energy and converts it to. Battery Provides Energy To A Circuit.
From www.freepik.com
Premium Vector Led and Resistor in series connected to a 9V Battery Battery Provides Energy To A Circuit Electrons move through the circuit, while simultaneously ions (atoms or. A battery is a device made up of one or more electrochemical cells that convert stored chemical energy into electrical energy,. A battery is a device that stores chemical energy and converts it to electrical energy. The chemical reactions in a battery involve the flow of electrons from one. A. Battery Provides Energy To A Circuit.
From in.pinterest.com
A simple circuit that consists of a battery, switch, and lightbulb Battery Provides Energy To A Circuit Electrons move through the circuit, while simultaneously ions (atoms or. To accept and release energy, a battery is coupled to an external circuit. Learn how batteries work as electric components that provide a fixed voltage across their terminals. A battery is a device that stores chemical energy and converts it to electrical energy. A bulb uses the electrical energy provided. Battery Provides Energy To A Circuit.
From techxplore.com
Combined economic and technological evaluation of battery energy Battery Provides Energy To A Circuit To accept and release energy, a battery is coupled to an external circuit. When a device is connected to a battery — a light bulb or an electric circuit — chemical reactions occur on the electrodes that. The chemical reactions in a battery involve the flow of electrons from one. The role of a battery (or cell) in an electric. Battery Provides Energy To A Circuit.