Parachute Deceleration Rate . Airflow slowing parachutes, also known as deceleration parachutes or drag parachutes, are designed to slow down the speed of an object in motion, such as an aircraft or a. This tool estimates the descent rate for your rocket rocket as it falls to the ground under its parachute. However, the cd of the spherachute parachute is set to 1.5 so the resulting descent rate matches. If you fall from a plane without a parachute, your relatively compact body zooms through the air like a stone;. These forces affect analysis in the analysis to. The direction of acceleration depends on the direction of the change in velocity. For example, a spherachute 120 parachute has an equivalent diameter of 76.4 inches. The vehicle deceleration rate, the tensile forces in the parachute, and the deployment rate. The greater the surface area, the more drag the parachute generates, ultimately decelerating its descent.
from www.walmart.com
These forces affect analysis in the analysis to. This tool estimates the descent rate for your rocket rocket as it falls to the ground under its parachute. If you fall from a plane without a parachute, your relatively compact body zooms through the air like a stone;. For example, a spherachute 120 parachute has an equivalent diameter of 76.4 inches. Airflow slowing parachutes, also known as deceleration parachutes or drag parachutes, are designed to slow down the speed of an object in motion, such as an aircraft or a. The greater the surface area, the more drag the parachute generates, ultimately decelerating its descent. The direction of acceleration depends on the direction of the change in velocity. The vehicle deceleration rate, the tensile forces in the parachute, and the deployment rate. However, the cd of the spherachute parachute is set to 1.5 so the resulting descent rate matches.
Flight Security Smart Parachute Deceleration System UAV Flight Security
Parachute Deceleration Rate However, the cd of the spherachute parachute is set to 1.5 so the resulting descent rate matches. For example, a spherachute 120 parachute has an equivalent diameter of 76.4 inches. However, the cd of the spherachute parachute is set to 1.5 so the resulting descent rate matches. This tool estimates the descent rate for your rocket rocket as it falls to the ground under its parachute. The vehicle deceleration rate, the tensile forces in the parachute, and the deployment rate. The greater the surface area, the more drag the parachute generates, ultimately decelerating its descent. Airflow slowing parachutes, also known as deceleration parachutes or drag parachutes, are designed to slow down the speed of an object in motion, such as an aircraft or a. If you fall from a plane without a parachute, your relatively compact body zooms through the air like a stone;. These forces affect analysis in the analysis to. The direction of acceleration depends on the direction of the change in velocity.
From www.numerade.com
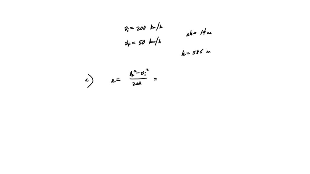
SOLVED 11.66 A parachutist is in free fall at a rate of 200 km A1 when Parachute Deceleration Rate The greater the surface area, the more drag the parachute generates, ultimately decelerating its descent. However, the cd of the spherachute parachute is set to 1.5 so the resulting descent rate matches. Airflow slowing parachutes, also known as deceleration parachutes or drag parachutes, are designed to slow down the speed of an object in motion, such as an aircraft or. Parachute Deceleration Rate.
From www.numerade.com
SOLVED A drag racer accelerates from rest at an average rate of +13.2 Parachute Deceleration Rate The vehicle deceleration rate, the tensile forces in the parachute, and the deployment rate. However, the cd of the spherachute parachute is set to 1.5 so the resulting descent rate matches. This tool estimates the descent rate for your rocket rocket as it falls to the ground under its parachute. The direction of acceleration depends on the direction of the. Parachute Deceleration Rate.
From www.numerade.com
A military aircraft with a mass of 8000 kg lands at a speed of 350 km/h Parachute Deceleration Rate The greater the surface area, the more drag the parachute generates, ultimately decelerating its descent. These forces affect analysis in the analysis to. The direction of acceleration depends on the direction of the change in velocity. If you fall from a plane without a parachute, your relatively compact body zooms through the air like a stone;. However, the cd of. Parachute Deceleration Rate.
From www.walmart.com
Flight Security Smart Parachute Deceleration System UAV Flight Security Parachute Deceleration Rate However, the cd of the spherachute parachute is set to 1.5 so the resulting descent rate matches. Airflow slowing parachutes, also known as deceleration parachutes or drag parachutes, are designed to slow down the speed of an object in motion, such as an aircraft or a. The greater the surface area, the more drag the parachute generates, ultimately decelerating its. Parachute Deceleration Rate.
From games.udlvirtual.edu.pe
How To Read Fetal Heart Rate Monitoring Strips BEST GAMES WALKTHROUGH Parachute Deceleration Rate Airflow slowing parachutes, also known as deceleration parachutes or drag parachutes, are designed to slow down the speed of an object in motion, such as an aircraft or a. This tool estimates the descent rate for your rocket rocket as it falls to the ground under its parachute. These forces affect analysis in the analysis to. For example, a spherachute. Parachute Deceleration Rate.
From www.markedbyteachers.com
Exploring the factors which affect a Parachute's descent rate GCSE Parachute Deceleration Rate These forces affect analysis in the analysis to. The vehicle deceleration rate, the tensile forces in the parachute, and the deployment rate. For example, a spherachute 120 parachute has an equivalent diameter of 76.4 inches. The direction of acceleration depends on the direction of the change in velocity. However, the cd of the spherachute parachute is set to 1.5 so. Parachute Deceleration Rate.
From www.cksa.cl
Deceleration Parachute Ribbon Type for F16 Aircraft CK Equipamiento Parachute Deceleration Rate The greater the surface area, the more drag the parachute generates, ultimately decelerating its descent. The vehicle deceleration rate, the tensile forces in the parachute, and the deployment rate. Airflow slowing parachutes, also known as deceleration parachutes or drag parachutes, are designed to slow down the speed of an object in motion, such as an aircraft or a. However, the. Parachute Deceleration Rate.
From www.chegg.com
Solved A parachutist is in free fall at a rate of 200 km/h Parachute Deceleration Rate The direction of acceleration depends on the direction of the change in velocity. However, the cd of the spherachute parachute is set to 1.5 so the resulting descent rate matches. For example, a spherachute 120 parachute has an equivalent diameter of 76.4 inches. These forces affect analysis in the analysis to. This tool estimates the descent rate for your rocket. Parachute Deceleration Rate.
From www.amazon.ca
Drone Parachute for DJI Mavic Series, Drone Flight Safety Parachute Parachute Deceleration Rate This tool estimates the descent rate for your rocket rocket as it falls to the ground under its parachute. However, the cd of the spherachute parachute is set to 1.5 so the resulting descent rate matches. Airflow slowing parachutes, also known as deceleration parachutes or drag parachutes, are designed to slow down the speed of an object in motion, such. Parachute Deceleration Rate.
From www.mdpi.com
Sustainability Free FullText Acceleration and Deceleration Rates Parachute Deceleration Rate Airflow slowing parachutes, also known as deceleration parachutes or drag parachutes, are designed to slow down the speed of an object in motion, such as an aircraft or a. However, the cd of the spherachute parachute is set to 1.5 so the resulting descent rate matches. The direction of acceleration depends on the direction of the change in velocity. If. Parachute Deceleration Rate.
From www.globalspec.com
Parachutes Selection Guide Types, Features, Applications GlobalSpec Parachute Deceleration Rate These forces affect analysis in the analysis to. If you fall from a plane without a parachute, your relatively compact body zooms through the air like a stone;. The vehicle deceleration rate, the tensile forces in the parachute, and the deployment rate. This tool estimates the descent rate for your rocket rocket as it falls to the ground under its. Parachute Deceleration Rate.
From timesofindia.indiatimes.com
Gaganyaan Gaganyaan Key parachute test simulating astronaut landing Parachute Deceleration Rate However, the cd of the spherachute parachute is set to 1.5 so the resulting descent rate matches. The direction of acceleration depends on the direction of the change in velocity. These forces affect analysis in the analysis to. Airflow slowing parachutes, also known as deceleration parachutes or drag parachutes, are designed to slow down the speed of an object in. Parachute Deceleration Rate.
From nara.getarchive.net
A view of the NASA Space Shuttle Program Solid Rocket Booster Parachute Deceleration Rate The greater the surface area, the more drag the parachute generates, ultimately decelerating its descent. If you fall from a plane without a parachute, your relatively compact body zooms through the air like a stone;. These forces affect analysis in the analysis to. The direction of acceleration depends on the direction of the change in velocity. However, the cd of. Parachute Deceleration Rate.
From www.chegg.com
Solved A parachutist is in free fall at a rate of 200 km/h Parachute Deceleration Rate The direction of acceleration depends on the direction of the change in velocity. The vehicle deceleration rate, the tensile forces in the parachute, and the deployment rate. This tool estimates the descent rate for your rocket rocket as it falls to the ground under its parachute. If you fall from a plane without a parachute, your relatively compact body zooms. Parachute Deceleration Rate.
From www.numerade.com
SOLVED A parachutist is in free fall at a rate of 200 km/h when he Parachute Deceleration Rate Airflow slowing parachutes, also known as deceleration parachutes or drag parachutes, are designed to slow down the speed of an object in motion, such as an aircraft or a. This tool estimates the descent rate for your rocket rocket as it falls to the ground under its parachute. However, the cd of the spherachute parachute is set to 1.5 so. Parachute Deceleration Rate.
From ar.inspiredpencil.com
Deceleration Examples Parachute Deceleration Rate This tool estimates the descent rate for your rocket rocket as it falls to the ground under its parachute. The direction of acceleration depends on the direction of the change in velocity. These forces affect analysis in the analysis to. However, the cd of the spherachute parachute is set to 1.5 so the resulting descent rate matches. Airflow slowing parachutes,. Parachute Deceleration Rate.
From www.ncbi.nlm.nih.gov
[Figure, Fetal heart rate changes Contributed by Jennifer Choe MA Parachute Deceleration Rate The direction of acceleration depends on the direction of the change in velocity. This tool estimates the descent rate for your rocket rocket as it falls to the ground under its parachute. For example, a spherachute 120 parachute has an equivalent diameter of 76.4 inches. Airflow slowing parachutes, also known as deceleration parachutes or drag parachutes, are designed to slow. Parachute Deceleration Rate.
From www.markedbyteachers.com
Exploring the factors which affect a Parachute's descent rate GCSE Parachute Deceleration Rate However, the cd of the spherachute parachute is set to 1.5 so the resulting descent rate matches. This tool estimates the descent rate for your rocket rocket as it falls to the ground under its parachute. These forces affect analysis in the analysis to. If you fall from a plane without a parachute, your relatively compact body zooms through the. Parachute Deceleration Rate.
From www.unmannedsystemstechnology.com
Fruity Chutes Launches Parachute Descent Rate Calculator Unmanned Parachute Deceleration Rate For example, a spherachute 120 parachute has an equivalent diameter of 76.4 inches. Airflow slowing parachutes, also known as deceleration parachutes or drag parachutes, are designed to slow down the speed of an object in motion, such as an aircraft or a. The vehicle deceleration rate, the tensile forces in the parachute, and the deployment rate. This tool estimates the. Parachute Deceleration Rate.
From brainly.com
A 50 kg parachutist jumps out of an airplane at a height of 1000m. The Parachute Deceleration Rate If you fall from a plane without a parachute, your relatively compact body zooms through the air like a stone;. However, the cd of the spherachute parachute is set to 1.5 so the resulting descent rate matches. The greater the surface area, the more drag the parachute generates, ultimately decelerating its descent. Airflow slowing parachutes, also known as deceleration parachutes. Parachute Deceleration Rate.
From ar.inspiredpencil.com
Deceleration Definition Parachute Deceleration Rate These forces affect analysis in the analysis to. If you fall from a plane without a parachute, your relatively compact body zooms through the air like a stone;. The vehicle deceleration rate, the tensile forces in the parachute, and the deployment rate. This tool estimates the descent rate for your rocket rocket as it falls to the ground under its. Parachute Deceleration Rate.
From inf.news
Why does the J20 use a deceleration parachute, but the US F22 does Parachute Deceleration Rate This tool estimates the descent rate for your rocket rocket as it falls to the ground under its parachute. The greater the surface area, the more drag the parachute generates, ultimately decelerating its descent. However, the cd of the spherachute parachute is set to 1.5 so the resulting descent rate matches. These forces affect analysis in the analysis to. The. Parachute Deceleration Rate.
From www.freeexamacademy.com
Motion Free Exam Academy Parachute Deceleration Rate However, the cd of the spherachute parachute is set to 1.5 so the resulting descent rate matches. The direction of acceleration depends on the direction of the change in velocity. These forces affect analysis in the analysis to. Airflow slowing parachutes, also known as deceleration parachutes or drag parachutes, are designed to slow down the speed of an object in. Parachute Deceleration Rate.
From nara.getarchive.net
A view of the NASA Space Shuttle Program Solid Rocket Booster Parachute Deceleration Rate However, the cd of the spherachute parachute is set to 1.5 so the resulting descent rate matches. If you fall from a plane without a parachute, your relatively compact body zooms through the air like a stone;. For example, a spherachute 120 parachute has an equivalent diameter of 76.4 inches. This tool estimates the descent rate for your rocket rocket. Parachute Deceleration Rate.
From ar.inspiredpencil.com
Deceleration Definition Parachute Deceleration Rate Airflow slowing parachutes, also known as deceleration parachutes or drag parachutes, are designed to slow down the speed of an object in motion, such as an aircraft or a. For example, a spherachute 120 parachute has an equivalent diameter of 76.4 inches. If you fall from a plane without a parachute, your relatively compact body zooms through the air like. Parachute Deceleration Rate.
From www.researchgate.net
(PDF) Path Planning of a Circular Parachute Using Descent Rate Control Parachute Deceleration Rate Airflow slowing parachutes, also known as deceleration parachutes or drag parachutes, are designed to slow down the speed of an object in motion, such as an aircraft or a. These forces affect analysis in the analysis to. This tool estimates the descent rate for your rocket rocket as it falls to the ground under its parachute. The direction of acceleration. Parachute Deceleration Rate.
From www.mdpi.com
Sustainability Free FullText Acceleration and Deceleration Rates Parachute Deceleration Rate This tool estimates the descent rate for your rocket rocket as it falls to the ground under its parachute. These forces affect analysis in the analysis to. For example, a spherachute 120 parachute has an equivalent diameter of 76.4 inches. The greater the surface area, the more drag the parachute generates, ultimately decelerating its descent. However, the cd of the. Parachute Deceleration Rate.
From www.numerade.com
SOLVED A drag racer accelerates from rest at an average rate of +13.2 Parachute Deceleration Rate Airflow slowing parachutes, also known as deceleration parachutes or drag parachutes, are designed to slow down the speed of an object in motion, such as an aircraft or a. This tool estimates the descent rate for your rocket rocket as it falls to the ground under its parachute. The direction of acceleration depends on the direction of the change in. Parachute Deceleration Rate.
From fruitychutes.com
Parachute Descent Rate Calculator Fruity Chutes! Parachute Deceleration Rate For example, a spherachute 120 parachute has an equivalent diameter of 76.4 inches. If you fall from a plane without a parachute, your relatively compact body zooms through the air like a stone;. The direction of acceleration depends on the direction of the change in velocity. The greater the surface area, the more drag the parachute generates, ultimately decelerating its. Parachute Deceleration Rate.
From www.numerade.com
SOLVED A parachutist is in free fall at a rate of 200 km / h when he Parachute Deceleration Rate However, the cd of the spherachute parachute is set to 1.5 so the resulting descent rate matches. Airflow slowing parachutes, also known as deceleration parachutes or drag parachutes, are designed to slow down the speed of an object in motion, such as an aircraft or a. If you fall from a plane without a parachute, your relatively compact body zooms. Parachute Deceleration Rate.
From insights.issgovernance.com
U.S. SayOnGolden Parachute Failure Rate & CEO Golden Parachute Values Parachute Deceleration Rate If you fall from a plane without a parachute, your relatively compact body zooms through the air like a stone;. The direction of acceleration depends on the direction of the change in velocity. These forces affect analysis in the analysis to. However, the cd of the spherachute parachute is set to 1.5 so the resulting descent rate matches. For example,. Parachute Deceleration Rate.
From www.ec21.com
Parachute Resistance Parachute Deceleration Parachute(id10166596). Buy Parachute Deceleration Rate However, the cd of the spherachute parachute is set to 1.5 so the resulting descent rate matches. These forces affect analysis in the analysis to. The direction of acceleration depends on the direction of the change in velocity. The vehicle deceleration rate, the tensile forces in the parachute, and the deployment rate. If you fall from a plane without a. Parachute Deceleration Rate.
From www.cksa.cl
Deceleration Parachute for F5 Aircraft CK Equipamiento Aeronáutico Parachute Deceleration Rate However, the cd of the spherachute parachute is set to 1.5 so the resulting descent rate matches. The direction of acceleration depends on the direction of the change in velocity. The greater the surface area, the more drag the parachute generates, ultimately decelerating its descent. Airflow slowing parachutes, also known as deceleration parachutes or drag parachutes, are designed to slow. Parachute Deceleration Rate.
From www.ec21.com
Space Shuttle UAV Model Parachute Resistance Parachute Deceleration Parachute Deceleration Rate These forces affect analysis in the analysis to. If you fall from a plane without a parachute, your relatively compact body zooms through the air like a stone;. Airflow slowing parachutes, also known as deceleration parachutes or drag parachutes, are designed to slow down the speed of an object in motion, such as an aircraft or a. The direction of. Parachute Deceleration Rate.
From www.physicsforums.com
Formula for deceleration, using a parachute and wheel brakes Parachute Deceleration Rate Airflow slowing parachutes, also known as deceleration parachutes or drag parachutes, are designed to slow down the speed of an object in motion, such as an aircraft or a. These forces affect analysis in the analysis to. The greater the surface area, the more drag the parachute generates, ultimately decelerating its descent. However, the cd of the spherachute parachute is. Parachute Deceleration Rate.