Tablas De Laplace Inversa . 17 rows la transformada de laplace se utiliza para encontrar rápidamente soluciones para ecuaciones diferenciales e integrales. Tabla de transformadas de laplace y fórmulas relacionadas. Get the free transformada inversa de laplace widget for your website, blog, wordpress, blogger, or igoogle. Formulaire des transformations de laplace pour les étudiants et les professionnels. Usar nuestras herramientas para calcular algunas transformadas inversas de laplace. Find more mathematics widgets in. El uso de la transformada de laplace para resolver ecuaciones diferenciales a menudo requiere encontrar la transformación inversa de. Explicación y cálculo de la transformada inversa de laplace. Se resuelven ejercicios paso a paso usando tanto las tablas de la transformada de laplace. Carlos francisco cruz fierro subject:
from cysudomonagas.blogspot.mx
El uso de la transformada de laplace para resolver ecuaciones diferenciales a menudo requiere encontrar la transformación inversa de. Usar nuestras herramientas para calcular algunas transformadas inversas de laplace. Se resuelven ejercicios paso a paso usando tanto las tablas de la transformada de laplace. Carlos francisco cruz fierro subject: Find more mathematics widgets in. Explicación y cálculo de la transformada inversa de laplace. 17 rows la transformada de laplace se utiliza para encontrar rápidamente soluciones para ecuaciones diferenciales e integrales. Tabla de transformadas de laplace y fórmulas relacionadas. Formulaire des transformations de laplace pour les étudiants et les professionnels. Get the free transformada inversa de laplace widget for your website, blog, wordpress, blogger, or igoogle.
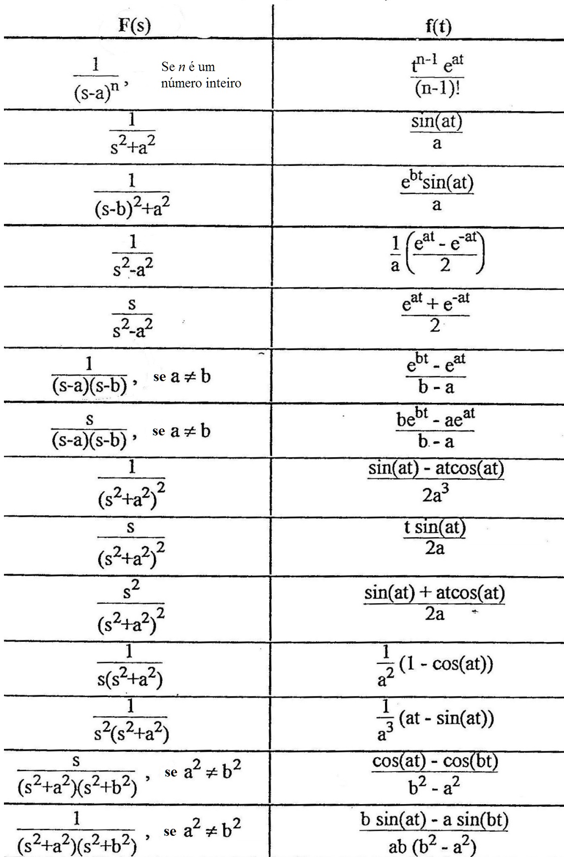
Circuitos y Sistemas Tabla Transformadas de Laplace y Propiedades
Tablas De Laplace Inversa El uso de la transformada de laplace para resolver ecuaciones diferenciales a menudo requiere encontrar la transformación inversa de. Get the free transformada inversa de laplace widget for your website, blog, wordpress, blogger, or igoogle. Find more mathematics widgets in. Carlos francisco cruz fierro subject: Explicación y cálculo de la transformada inversa de laplace. Tabla de transformadas de laplace y fórmulas relacionadas. Se resuelven ejercicios paso a paso usando tanto las tablas de la transformada de laplace. El uso de la transformada de laplace para resolver ecuaciones diferenciales a menudo requiere encontrar la transformación inversa de. Usar nuestras herramientas para calcular algunas transformadas inversas de laplace. Formulaire des transformations de laplace pour les étudiants et les professionnels. 17 rows la transformada de laplace se utiliza para encontrar rápidamente soluciones para ecuaciones diferenciales e integrales.
From www.studocu.com
Tabla DE Transformada DE Laplace TABLA DE TRANSFORMADA DE LAPLACE f Tablas De Laplace Inversa 17 rows la transformada de laplace se utiliza para encontrar rápidamente soluciones para ecuaciones diferenciales e integrales. Usar nuestras herramientas para calcular algunas transformadas inversas de laplace. Formulaire des transformations de laplace pour les étudiants et les professionnels. El uso de la transformada de laplace para resolver ecuaciones diferenciales a menudo requiere encontrar la transformación inversa de. Find more mathematics. Tablas De Laplace Inversa.
From www.youtube.com
314. Transformada inversa de Laplace, Función escalón unitario YouTube Tablas De Laplace Inversa Find more mathematics widgets in. Se resuelven ejercicios paso a paso usando tanto las tablas de la transformada de laplace. Carlos francisco cruz fierro subject: Get the free transformada inversa de laplace widget for your website, blog, wordpress, blogger, or igoogle. Explicación y cálculo de la transformada inversa de laplace. Formulaire des transformations de laplace pour les étudiants et les. Tablas De Laplace Inversa.
From carolina-sp.blogspot.com
INGENIERÍA CREATIVA Transformada de Laplace Tablas De Laplace Inversa Se resuelven ejercicios paso a paso usando tanto las tablas de la transformada de laplace. El uso de la transformada de laplace para resolver ecuaciones diferenciales a menudo requiere encontrar la transformación inversa de. Carlos francisco cruz fierro subject: Get the free transformada inversa de laplace widget for your website, blog, wordpress, blogger, or igoogle. Formulaire des transformations de laplace. Tablas De Laplace Inversa.
From www.docsity.com
Tabla de LAPLACE Para ingenieria Esquemas y mapas conceptuales de Tablas De Laplace Inversa Tabla de transformadas de laplace y fórmulas relacionadas. 17 rows la transformada de laplace se utiliza para encontrar rápidamente soluciones para ecuaciones diferenciales e integrales. Explicación y cálculo de la transformada inversa de laplace. El uso de la transformada de laplace para resolver ecuaciones diferenciales a menudo requiere encontrar la transformación inversa de. Find more mathematics widgets in. Get the. Tablas De Laplace Inversa.
From idealcalculator.com
Laplace Transform Calculator Laplace transform table Tablas De Laplace Inversa Se resuelven ejercicios paso a paso usando tanto las tablas de la transformada de laplace. 17 rows la transformada de laplace se utiliza para encontrar rápidamente soluciones para ecuaciones diferenciales e integrales. Explicación y cálculo de la transformada inversa de laplace. Find more mathematics widgets in. Get the free transformada inversa de laplace widget for your website, blog, wordpress, blogger,. Tablas De Laplace Inversa.
From www.youtube.com
U4_Tema 4 Inversa Transformada de Laplace Ejemplo 1 YouTube Tablas De Laplace Inversa Carlos francisco cruz fierro subject: Explicación y cálculo de la transformada inversa de laplace. Find more mathematics widgets in. Usar nuestras herramientas para calcular algunas transformadas inversas de laplace. Se resuelven ejercicios paso a paso usando tanto las tablas de la transformada de laplace. Get the free transformada inversa de laplace widget for your website, blog, wordpress, blogger, or igoogle.. Tablas De Laplace Inversa.
From cienciayt.com
Tabla transformada de Laplace Cienciayt Tablas De Laplace Inversa Explicación y cálculo de la transformada inversa de laplace. 17 rows la transformada de laplace se utiliza para encontrar rápidamente soluciones para ecuaciones diferenciales e integrales. El uso de la transformada de laplace para resolver ecuaciones diferenciales a menudo requiere encontrar la transformación inversa de. Get the free transformada inversa de laplace widget for your website, blog, wordpress, blogger, or. Tablas De Laplace Inversa.
From www.youtube.com
Uso de tablas de transformada inversa de Laplace YouTube Tablas De Laplace Inversa Get the free transformada inversa de laplace widget for your website, blog, wordpress, blogger, or igoogle. Formulaire des transformations de laplace pour les étudiants et les professionnels. Explicación y cálculo de la transformada inversa de laplace. 17 rows la transformada de laplace se utiliza para encontrar rápidamente soluciones para ecuaciones diferenciales e integrales. Usar nuestras herramientas para calcular algunas transformadas. Tablas De Laplace Inversa.
From www.youtube.com
191. Transformadas inversas de Laplace ¿qué son? Y primeros ejemplos Tablas De Laplace Inversa Usar nuestras herramientas para calcular algunas transformadas inversas de laplace. Formulaire des transformations de laplace pour les étudiants et les professionnels. El uso de la transformada de laplace para resolver ecuaciones diferenciales a menudo requiere encontrar la transformación inversa de. Carlos francisco cruz fierro subject: Get the free transformada inversa de laplace widget for your website, blog, wordpress, blogger, or. Tablas De Laplace Inversa.
From www.youtube.com
192. Transformadas inversas de Laplace Propiedades y demostraciones, y Tablas De Laplace Inversa Explicación y cálculo de la transformada inversa de laplace. Tabla de transformadas de laplace y fórmulas relacionadas. Se resuelven ejercicios paso a paso usando tanto las tablas de la transformada de laplace. Carlos francisco cruz fierro subject: El uso de la transformada de laplace para resolver ecuaciones diferenciales a menudo requiere encontrar la transformación inversa de. 17 rows la transformada. Tablas De Laplace Inversa.
From cysudomonagas.blogspot.mx
Circuitos y Sistemas Tabla Transformadas de Laplace y Propiedades Tablas De Laplace Inversa Find more mathematics widgets in. 17 rows la transformada de laplace se utiliza para encontrar rápidamente soluciones para ecuaciones diferenciales e integrales. Carlos francisco cruz fierro subject: Formulaire des transformations de laplace pour les étudiants et les professionnels. Se resuelven ejercicios paso a paso usando tanto las tablas de la transformada de laplace. Explicación y cálculo de la transformada inversa. Tablas De Laplace Inversa.
From www.studypug.com
Inverse laplace transforms StudyPug Tablas De Laplace Inversa Se resuelven ejercicios paso a paso usando tanto las tablas de la transformada de laplace. Tabla de transformadas de laplace y fórmulas relacionadas. 17 rows la transformada de laplace se utiliza para encontrar rápidamente soluciones para ecuaciones diferenciales e integrales. Find more mathematics widgets in. Carlos francisco cruz fierro subject: El uso de la transformada de laplace para resolver ecuaciones. Tablas De Laplace Inversa.
From www.youtube.com
Transformada Inversa De Laplace F(s)=1/s^3 Por Tablas 6. Ecuaciones Tablas De Laplace Inversa Find more mathematics widgets in. Tabla de transformadas de laplace y fórmulas relacionadas. Usar nuestras herramientas para calcular algunas transformadas inversas de laplace. 17 rows la transformada de laplace se utiliza para encontrar rápidamente soluciones para ecuaciones diferenciales e integrales. El uso de la transformada de laplace para resolver ecuaciones diferenciales a menudo requiere encontrar la transformación inversa de. Formulaire. Tablas De Laplace Inversa.
From www.youtube.com
Transformada Inversa de Laplace paso a paso empleando tablas YouTube Tablas De Laplace Inversa 17 rows la transformada de laplace se utiliza para encontrar rápidamente soluciones para ecuaciones diferenciales e integrales. Explicación y cálculo de la transformada inversa de laplace. Find more mathematics widgets in. Carlos francisco cruz fierro subject: Get the free transformada inversa de laplace widget for your website, blog, wordpress, blogger, or igoogle. Formulaire des transformations de laplace pour les étudiants. Tablas De Laplace Inversa.
From www.youtube.com
Inverse Laplace Transform of 1/(s^2 + 4) using tables YouTube Tablas De Laplace Inversa Find more mathematics widgets in. Tabla de transformadas de laplace y fórmulas relacionadas. Get the free transformada inversa de laplace widget for your website, blog, wordpress, blogger, or igoogle. El uso de la transformada de laplace para resolver ecuaciones diferenciales a menudo requiere encontrar la transformación inversa de. Carlos francisco cruz fierro subject: 17 rows la transformada de laplace se. Tablas De Laplace Inversa.
From es.scribd.com
Tabla de Transformadas de Laplace PDF Tablas De Laplace Inversa Se resuelven ejercicios paso a paso usando tanto las tablas de la transformada de laplace. El uso de la transformada de laplace para resolver ecuaciones diferenciales a menudo requiere encontrar la transformación inversa de. 17 rows la transformada de laplace se utiliza para encontrar rápidamente soluciones para ecuaciones diferenciales e integrales. Explicación y cálculo de la transformada inversa de laplace.. Tablas De Laplace Inversa.
From www.youtube.com
LAPLACE INVERSATABLA BÁSICA YouTube Tablas De Laplace Inversa Get the free transformada inversa de laplace widget for your website, blog, wordpress, blogger, or igoogle. El uso de la transformada de laplace para resolver ecuaciones diferenciales a menudo requiere encontrar la transformación inversa de. Carlos francisco cruz fierro subject: Se resuelven ejercicios paso a paso usando tanto las tablas de la transformada de laplace. Tabla de transformadas de laplace. Tablas De Laplace Inversa.
From www.youtube.com
Transformada Inversa de Laplace Raíces reales e iguales YouTube Tablas De Laplace Inversa 17 rows la transformada de laplace se utiliza para encontrar rápidamente soluciones para ecuaciones diferenciales e integrales. El uso de la transformada de laplace para resolver ecuaciones diferenciales a menudo requiere encontrar la transformación inversa de. Se resuelven ejercicios paso a paso usando tanto las tablas de la transformada de laplace. Formulaire des transformations de laplace pour les étudiants et. Tablas De Laplace Inversa.
From www.slideshare.net
Tabla laplace PDF Tablas De Laplace Inversa Formulaire des transformations de laplace pour les étudiants et les professionnels. Carlos francisco cruz fierro subject: Explicación y cálculo de la transformada inversa de laplace. El uso de la transformada de laplace para resolver ecuaciones diferenciales a menudo requiere encontrar la transformación inversa de. Usar nuestras herramientas para calcular algunas transformadas inversas de laplace. Se resuelven ejercicios paso a paso. Tablas De Laplace Inversa.
From www.studypug.com
Calculating laplace transforms StudyPug Tablas De Laplace Inversa 17 rows la transformada de laplace se utiliza para encontrar rápidamente soluciones para ecuaciones diferenciales e integrales. Formulaire des transformations de laplace pour les étudiants et les professionnels. Explicación y cálculo de la transformada inversa de laplace. Tabla de transformadas de laplace y fórmulas relacionadas. Carlos francisco cruz fierro subject: Find more mathematics widgets in. Se resuelven ejercicios paso a. Tablas De Laplace Inversa.
From mavink.com
Tabla De Transformada Inversa De La Place Tablas De Laplace Inversa Get the free transformada inversa de laplace widget for your website, blog, wordpress, blogger, or igoogle. Se resuelven ejercicios paso a paso usando tanto las tablas de la transformada de laplace. Carlos francisco cruz fierro subject: 17 rows la transformada de laplace se utiliza para encontrar rápidamente soluciones para ecuaciones diferenciales e integrales. Usar nuestras herramientas para calcular algunas transformadas. Tablas De Laplace Inversa.
From www.youtube.com
194. Transformadas inversas de Laplace, ejemplos resueltos. Seno Tablas De Laplace Inversa Find more mathematics widgets in. Get the free transformada inversa de laplace widget for your website, blog, wordpress, blogger, or igoogle. Se resuelven ejercicios paso a paso usando tanto las tablas de la transformada de laplace. Explicación y cálculo de la transformada inversa de laplace. El uso de la transformada de laplace para resolver ecuaciones diferenciales a menudo requiere encontrar. Tablas De Laplace Inversa.
From www.youtube.com
Transformada de Laplace inversa Tabla de transformadas inversas y Tablas De Laplace Inversa Explicación y cálculo de la transformada inversa de laplace. 17 rows la transformada de laplace se utiliza para encontrar rápidamente soluciones para ecuaciones diferenciales e integrales. Tabla de transformadas de laplace y fórmulas relacionadas. Find more mathematics widgets in. Usar nuestras herramientas para calcular algunas transformadas inversas de laplace. Formulaire des transformations de laplace pour les étudiants et les professionnels.. Tablas De Laplace Inversa.
From www.slideshare.net
Tabla laplace Tablas De Laplace Inversa Find more mathematics widgets in. Formulaire des transformations de laplace pour les étudiants et les professionnels. Se resuelven ejercicios paso a paso usando tanto las tablas de la transformada de laplace. Carlos francisco cruz fierro subject: Get the free transformada inversa de laplace widget for your website, blog, wordpress, blogger, or igoogle. Usar nuestras herramientas para calcular algunas transformadas inversas. Tablas De Laplace Inversa.
From www.docsity.com
Tabla de Transformada de Laplace (Apéndice V) 1 a la 51 Resúmenes de Tablas De Laplace Inversa Formulaire des transformations de laplace pour les étudiants et les professionnels. Get the free transformada inversa de laplace widget for your website, blog, wordpress, blogger, or igoogle. Usar nuestras herramientas para calcular algunas transformadas inversas de laplace. Carlos francisco cruz fierro subject: Tabla de transformadas de laplace y fórmulas relacionadas. Find more mathematics widgets in. 17 rows la transformada de. Tablas De Laplace Inversa.
From clasesdcm.blogspot.com
Clases de matematicas III transformada de Laplace inversa Tablas De Laplace Inversa 17 rows la transformada de laplace se utiliza para encontrar rápidamente soluciones para ecuaciones diferenciales e integrales. Get the free transformada inversa de laplace widget for your website, blog, wordpress, blogger, or igoogle. Se resuelven ejercicios paso a paso usando tanto las tablas de la transformada de laplace. Usar nuestras herramientas para calcular algunas transformadas inversas de laplace. Formulaire des. Tablas De Laplace Inversa.
From es.scribd.com
Tabla de Transformada de Laplace PDF Enseñanza de matemática Tablas De Laplace Inversa Get the free transformada inversa de laplace widget for your website, blog, wordpress, blogger, or igoogle. Se resuelven ejercicios paso a paso usando tanto las tablas de la transformada de laplace. Formulaire des transformations de laplace pour les étudiants et les professionnels. Explicación y cálculo de la transformada inversa de laplace. Tabla de transformadas de laplace y fórmulas relacionadas. Usar. Tablas De Laplace Inversa.
From oropezacandelariojavier.blogspot.com
Ecuaciones Diferenciales 4.2.2 UTILIZANDO TRANSFORMADA DE LAPLACE Tablas De Laplace Inversa Carlos francisco cruz fierro subject: Usar nuestras herramientas para calcular algunas transformadas inversas de laplace. El uso de la transformada de laplace para resolver ecuaciones diferenciales a menudo requiere encontrar la transformación inversa de. Find more mathematics widgets in. 17 rows la transformada de laplace se utiliza para encontrar rápidamente soluciones para ecuaciones diferenciales e integrales. Se resuelven ejercicios paso. Tablas De Laplace Inversa.
From www.youtube.com
250. Transformada inversa de Laplace mediante integrales y traslación Tablas De Laplace Inversa 17 rows la transformada de laplace se utiliza para encontrar rápidamente soluciones para ecuaciones diferenciales e integrales. Get the free transformada inversa de laplace widget for your website, blog, wordpress, blogger, or igoogle. Explicación y cálculo de la transformada inversa de laplace. Se resuelven ejercicios paso a paso usando tanto las tablas de la transformada de laplace. Formulaire des transformations. Tablas De Laplace Inversa.
From www.youtube.com
197. Transformadas inversas de Laplace, ejemplos resueltos. Suma de Tablas De Laplace Inversa Find more mathematics widgets in. El uso de la transformada de laplace para resolver ecuaciones diferenciales a menudo requiere encontrar la transformación inversa de. Formulaire des transformations de laplace pour les étudiants et les professionnels. Se resuelven ejercicios paso a paso usando tanto las tablas de la transformada de laplace. Explicación y cálculo de la transformada inversa de laplace. Usar. Tablas De Laplace Inversa.
From www.youtube.com
Ejemplo básico de transformada inversa de Laplace por tablas YouTube Tablas De Laplace Inversa Formulaire des transformations de laplace pour les étudiants et les professionnels. Se resuelven ejercicios paso a paso usando tanto las tablas de la transformada de laplace. Find more mathematics widgets in. Explicación y cálculo de la transformada inversa de laplace. Tabla de transformadas de laplace y fórmulas relacionadas. El uso de la transformada de laplace para resolver ecuaciones diferenciales a. Tablas De Laplace Inversa.
From es.scribd.com
Tabla de Transformada de Laplace PDF Tablas De Laplace Inversa Tabla de transformadas de laplace y fórmulas relacionadas. Se resuelven ejercicios paso a paso usando tanto las tablas de la transformada de laplace. Find more mathematics widgets in. Formulaire des transformations de laplace pour les étudiants et les professionnels. El uso de la transformada de laplace para resolver ecuaciones diferenciales a menudo requiere encontrar la transformación inversa de. Get the. Tablas De Laplace Inversa.
From www.youtube.com
Transformada Inversa de Laplace de una constante (Empleando Tablas Tablas De Laplace Inversa El uso de la transformada de laplace para resolver ecuaciones diferenciales a menudo requiere encontrar la transformación inversa de. Usar nuestras herramientas para calcular algunas transformadas inversas de laplace. Tabla de transformadas de laplace y fórmulas relacionadas. Explicación y cálculo de la transformada inversa de laplace. Carlos francisco cruz fierro subject: Se resuelven ejercicios paso a paso usando tanto las. Tablas De Laplace Inversa.
From obb11.oneblackbear.com
Tabela De Transformada De Laplace EDULEARN Tablas De Laplace Inversa Explicación y cálculo de la transformada inversa de laplace. Se resuelven ejercicios paso a paso usando tanto las tablas de la transformada de laplace. Formulaire des transformations de laplace pour les étudiants et les professionnels. 17 rows la transformada de laplace se utiliza para encontrar rápidamente soluciones para ecuaciones diferenciales e integrales. Tabla de transformadas de laplace y fórmulas relacionadas.. Tablas De Laplace Inversa.
From es.scribd.com
Tabla Transformada de Laplace PDF Tablas De Laplace Inversa Se resuelven ejercicios paso a paso usando tanto las tablas de la transformada de laplace. 17 rows la transformada de laplace se utiliza para encontrar rápidamente soluciones para ecuaciones diferenciales e integrales. Find more mathematics widgets in. Carlos francisco cruz fierro subject: Explicación y cálculo de la transformada inversa de laplace. Tabla de transformadas de laplace y fórmulas relacionadas. El. Tablas De Laplace Inversa.