X Bin(N P) Calculator . If doing this by hand, apply the binomial probability formula:. If using a calculator, you can enter $ \text{trials} = 6 $, $ p = 0.65 $, and $ x = 4 $ into a binomial probability distribution function (pdf). For a binomial distribution, the mean, variance, standard deviation formulas are here: Binomial probability distribution formula or binomial distribution formula calculator. Use the binomial calculator to compute individual and cumulative binomial probabilities. This calculates a table of the binomial distribution for given parameters and displays graphs of the distribution function, f (x), and cumulative distribution. $$x \sim bin(n, p)$$ directions. This applet computes probabilities for the binomial distribution: The binomial distrobution formula for any random variable x is given as. Take the square root of the. Enter the number of trials in the $n$.
from www.bartleby.com
This applet computes probabilities for the binomial distribution: If doing this by hand, apply the binomial probability formula:. Binomial probability distribution formula or binomial distribution formula calculator. The binomial distrobution formula for any random variable x is given as. $$x \sim bin(n, p)$$ directions. Enter the number of trials in the $n$. Use the binomial calculator to compute individual and cumulative binomial probabilities. For a binomial distribution, the mean, variance, standard deviation formulas are here: If using a calculator, you can enter $ \text{trials} = 6 $, $ p = 0.65 $, and $ x = 4 $ into a binomial probability distribution function (pdf). This calculates a table of the binomial distribution for given parameters and displays graphs of the distribution function, f (x), and cumulative distribution.
Answered Assume that XBin(n, p). Find the… bartleby
X Bin(N P) Calculator For a binomial distribution, the mean, variance, standard deviation formulas are here: This applet computes probabilities for the binomial distribution: Take the square root of the. For a binomial distribution, the mean, variance, standard deviation formulas are here: $$x \sim bin(n, p)$$ directions. Use the binomial calculator to compute individual and cumulative binomial probabilities. If doing this by hand, apply the binomial probability formula:. If using a calculator, you can enter $ \text{trials} = 6 $, $ p = 0.65 $, and $ x = 4 $ into a binomial probability distribution function (pdf). This calculates a table of the binomial distribution for given parameters and displays graphs of the distribution function, f (x), and cumulative distribution. Enter the number of trials in the $n$. The binomial distrobution formula for any random variable x is given as. Binomial probability distribution formula or binomial distribution formula calculator.
From www.chegg.com
Solved 1. If X Bin(n,p) what is the approximate X Bin(N P) Calculator If doing this by hand, apply the binomial probability formula:. Enter the number of trials in the $n$. The binomial distrobution formula for any random variable x is given as. If using a calculator, you can enter $ \text{trials} = 6 $, $ p = 0.65 $, and $ x = 4 $ into a binomial probability distribution function (pdf).. X Bin(N P) Calculator.
From www.slideserve.com
PPT Binomial Distribution and Applications PowerPoint Presentation X Bin(N P) Calculator Binomial probability distribution formula or binomial distribution formula calculator. This calculates a table of the binomial distribution for given parameters and displays graphs of the distribution function, f (x), and cumulative distribution. If using a calculator, you can enter $ \text{trials} = 6 $, $ p = 0.65 $, and $ x = 4 $ into a binomial probability distribution. X Bin(N P) Calculator.
From www.numerade.com
SOLVED a) Suppose that X Bin(n; p) Prove that when n and p 0, but np A X Bin(N P) Calculator If using a calculator, you can enter $ \text{trials} = 6 $, $ p = 0.65 $, and $ x = 4 $ into a binomial probability distribution function (pdf). This applet computes probabilities for the binomial distribution: Use the binomial calculator to compute individual and cumulative binomial probabilities. This calculates a table of the binomial distribution for given parameters. X Bin(N P) Calculator.
From www.solutionspile.com
[Solved] (Binomial Distribution). Suppose XBin(n,p). JP d X Bin(N P) Calculator Binomial probability distribution formula or binomial distribution formula calculator. This applet computes probabilities for the binomial distribution: The binomial distrobution formula for any random variable x is given as. Enter the number of trials in the $n$. Use the binomial calculator to compute individual and cumulative binomial probabilities. $$x \sim bin(n, p)$$ directions. If doing this by hand, apply the. X Bin(N P) Calculator.
From www.chegg.com
Solved 5. (Binomial Distribution). Suppose X∼Bin(n,p). X Bin(N P) Calculator Enter the number of trials in the $n$. This applet computes probabilities for the binomial distribution: If using a calculator, you can enter $ \text{trials} = 6 $, $ p = 0.65 $, and $ x = 4 $ into a binomial probability distribution function (pdf). Binomial probability distribution formula or binomial distribution formula calculator. This calculates a table of. X Bin(N P) Calculator.
From www.numerade.com
SOLVED Let N be a Poisson random variable with parameter A, and let X X Bin(N P) Calculator $$x \sim bin(n, p)$$ directions. This applet computes probabilities for the binomial distribution: Use the binomial calculator to compute individual and cumulative binomial probabilities. Enter the number of trials in the $n$. If doing this by hand, apply the binomial probability formula:. For a binomial distribution, the mean, variance, standard deviation formulas are here: If using a calculator, you can. X Bin(N P) Calculator.
From www.youtube.com
What is a Binomial Distribution?How we use XBin(n,p) distribution X Bin(N P) Calculator Binomial probability distribution formula or binomial distribution formula calculator. $$x \sim bin(n, p)$$ directions. The binomial distrobution formula for any random variable x is given as. Take the square root of the. This applet computes probabilities for the binomial distribution: If using a calculator, you can enter $ \text{trials} = 6 $, $ p = 0.65 $, and $ x. X Bin(N P) Calculator.
From www.chegg.com
Solved Suppose that X Bin(n, p). We saw in the notes that X Bin(N P) Calculator Take the square root of the. Enter the number of trials in the $n$. For a binomial distribution, the mean, variance, standard deviation formulas are here: The binomial distrobution formula for any random variable x is given as. $$x \sim bin(n, p)$$ directions. This applet computes probabilities for the binomial distribution: If using a calculator, you can enter $ \text{trials}. X Bin(N P) Calculator.
From www.chegg.com
Solved Exercise 5.9. Let X Bin(n, p). 294 (a) Find the X Bin(N P) Calculator The binomial distrobution formula for any random variable x is given as. If using a calculator, you can enter $ \text{trials} = 6 $, $ p = 0.65 $, and $ x = 4 $ into a binomial probability distribution function (pdf). For a binomial distribution, the mean, variance, standard deviation formulas are here: Take the square root of the.. X Bin(N P) Calculator.
From www.chegg.com
Solved Let X Bin (n.p). Find The Moment Generating Func... X Bin(N P) Calculator $$x \sim bin(n, p)$$ directions. This calculates a table of the binomial distribution for given parameters and displays graphs of the distribution function, f (x), and cumulative distribution. Binomial probability distribution formula or binomial distribution formula calculator. If doing this by hand, apply the binomial probability formula:. This applet computes probabilities for the binomial distribution: Enter the number of trials. X Bin(N P) Calculator.
From slidetodoc.com
Computational Statistics 3 The Most Important Distributions Computational X Bin(N P) Calculator If using a calculator, you can enter $ \text{trials} = 6 $, $ p = 0.65 $, and $ x = 4 $ into a binomial probability distribution function (pdf). Take the square root of the. For a binomial distribution, the mean, variance, standard deviation formulas are here: Enter the number of trials in the $n$. The binomial distrobution formula. X Bin(N P) Calculator.
From www.chegg.com
Solved Binomial x Bin (N, p) P(x) = (N x) p_8^x nx X Bin(N P) Calculator Use the binomial calculator to compute individual and cumulative binomial probabilities. If doing this by hand, apply the binomial probability formula:. Take the square root of the. This calculates a table of the binomial distribution for given parameters and displays graphs of the distribution function, f (x), and cumulative distribution. If using a calculator, you can enter $ \text{trials} =. X Bin(N P) Calculator.
From www.chegg.com
1. For X bin(n, p) with 0 SpS1, the bayesian solution X Bin(N P) Calculator This applet computes probabilities for the binomial distribution: If doing this by hand, apply the binomial probability formula:. If using a calculator, you can enter $ \text{trials} = 6 $, $ p = 0.65 $, and $ x = 4 $ into a binomial probability distribution function (pdf). Take the square root of the. The binomial distrobution formula for any. X Bin(N P) Calculator.
From www.youtube.com
Casio fx9750GII Computing the Binomial Coefficient (n choose x X Bin(N P) Calculator Use the binomial calculator to compute individual and cumulative binomial probabilities. For a binomial distribution, the mean, variance, standard deviation formulas are here: Take the square root of the. Binomial probability distribution formula or binomial distribution formula calculator. $$x \sim bin(n, p)$$ directions. Enter the number of trials in the $n$. The binomial distrobution formula for any random variable x. X Bin(N P) Calculator.
From www.chegg.com
Solved 9. Let X Bin(n,p). If np > 10 and n(1 p) > 10, we X Bin(N P) Calculator This calculates a table of the binomial distribution for given parameters and displays graphs of the distribution function, f (x), and cumulative distribution. Enter the number of trials in the $n$. If doing this by hand, apply the binomial probability formula:. This applet computes probabilities for the binomial distribution: The binomial distrobution formula for any random variable x is given. X Bin(N P) Calculator.
From chrispiech.github.io
Binomial Approximation X Bin(N P) Calculator This applet computes probabilities for the binomial distribution: For a binomial distribution, the mean, variance, standard deviation formulas are here: Enter the number of trials in the $n$. $$x \sim bin(n, p)$$ directions. If using a calculator, you can enter $ \text{trials} = 6 $, $ p = 0.65 $, and $ x = 4 $ into a binomial probability. X Bin(N P) Calculator.
From www.coursehero.com
[Solved] Let X ∼ Bin(n,p). Calculate P(X = 1) using the normal X Bin(N P) Calculator For a binomial distribution, the mean, variance, standard deviation formulas are here: Binomial probability distribution formula or binomial distribution formula calculator. This applet computes probabilities for the binomial distribution: This calculates a table of the binomial distribution for given parameters and displays graphs of the distribution function, f (x), and cumulative distribution. Take the square root of the. $$x \sim. X Bin(N P) Calculator.
From www.bartleby.com
Answered Assume that XBin(n, p). Find the… bartleby X Bin(N P) Calculator Enter the number of trials in the $n$. The binomial distrobution formula for any random variable x is given as. If using a calculator, you can enter $ \text{trials} = 6 $, $ p = 0.65 $, and $ x = 4 $ into a binomial probability distribution function (pdf). This calculates a table of the binomial distribution for given. X Bin(N P) Calculator.
From www.chegg.com
Solved Claptelu 1. Point Estimation Core Concepts Consider X Bin(N P) Calculator The binomial distrobution formula for any random variable x is given as. For a binomial distribution, the mean, variance, standard deviation formulas are here: This applet computes probabilities for the binomial distribution: If doing this by hand, apply the binomial probability formula:. If using a calculator, you can enter $ \text{trials} = 6 $, $ p = 0.65 $, and. X Bin(N P) Calculator.
From www.chegg.com
Solved If X Bin(n,p) and T Bern(p2) then X Bin(N P) Calculator The binomial distrobution formula for any random variable x is given as. If doing this by hand, apply the binomial probability formula:. If using a calculator, you can enter $ \text{trials} = 6 $, $ p = 0.65 $, and $ x = 4 $ into a binomial probability distribution function (pdf). Take the square root of the. Binomial probability. X Bin(N P) Calculator.
From www.chegg.com
Solved 3. Consider a random variable X∼Bin(n,p). (a) X Bin(N P) Calculator This applet computes probabilities for the binomial distribution: Use the binomial calculator to compute individual and cumulative binomial probabilities. Enter the number of trials in the $n$. Take the square root of the. If doing this by hand, apply the binomial probability formula:. Binomial probability distribution formula or binomial distribution formula calculator. If using a calculator, you can enter $. X Bin(N P) Calculator.
From www.numerade.com
SOLVED For a binomial distribution X BIN(n,p), suppose n=5. If P(X=0 X Bin(N P) Calculator For a binomial distribution, the mean, variance, standard deviation formulas are here: If using a calculator, you can enter $ \text{trials} = 6 $, $ p = 0.65 $, and $ x = 4 $ into a binomial probability distribution function (pdf). This calculates a table of the binomial distribution for given parameters and displays graphs of the distribution function,. X Bin(N P) Calculator.
From www.numerade.com
SOLVED Text For a binomial distribution X Bin(n, p), suppose n = 5 X Bin(N P) Calculator The binomial distrobution formula for any random variable x is given as. For a binomial distribution, the mean, variance, standard deviation formulas are here: This applet computes probabilities for the binomial distribution: Enter the number of trials in the $n$. Use the binomial calculator to compute individual and cumulative binomial probabilities. Binomial probability distribution formula or binomial distribution formula calculator.. X Bin(N P) Calculator.
From www.chegg.com
Solved Let X Bin(n,p), and let u = np = EX denote the mean X Bin(N P) Calculator If doing this by hand, apply the binomial probability formula:. Binomial probability distribution formula or binomial distribution formula calculator. The binomial distrobution formula for any random variable x is given as. This applet computes probabilities for the binomial distribution: Enter the number of trials in the $n$. Take the square root of the. If using a calculator, you can enter. X Bin(N P) Calculator.
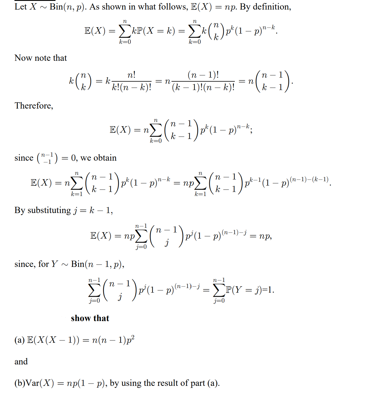
From www.chegg.com
Solved Let X∼Bin(n,p). As shown in what follows, E(X)=np. By X Bin(N P) Calculator Enter the number of trials in the $n$. The binomial distrobution formula for any random variable x is given as. For a binomial distribution, the mean, variance, standard deviation formulas are here: $$x \sim bin(n, p)$$ directions. If using a calculator, you can enter $ \text{trials} = 6 $, $ p = 0.65 $, and $ x = 4 $. X Bin(N P) Calculator.
From www.chegg.com
Solved Binomial Cumulative Probabilities table entries are X Bin(N P) Calculator Take the square root of the. $$x \sim bin(n, p)$$ directions. This calculates a table of the binomial distribution for given parameters and displays graphs of the distribution function, f (x), and cumulative distribution. Binomial probability distribution formula or binomial distribution formula calculator. If using a calculator, you can enter $ \text{trials} = 6 $, $ p = 0.65 $,. X Bin(N P) Calculator.
From www.chegg.com
Solved Maximum likelihood estimation has been widely applied X Bin(N P) Calculator This applet computes probabilities for the binomial distribution: For a binomial distribution, the mean, variance, standard deviation formulas are here: If using a calculator, you can enter $ \text{trials} = 6 $, $ p = 0.65 $, and $ x = 4 $ into a binomial probability distribution function (pdf). The binomial distrobution formula for any random variable x is. X Bin(N P) Calculator.
From www.youtube.com
Binomial Expansion Method) with Calculator Tricks Full X Bin(N P) Calculator Enter the number of trials in the $n$. This applet computes probabilities for the binomial distribution: For a binomial distribution, the mean, variance, standard deviation formulas are here: Binomial probability distribution formula or binomial distribution formula calculator. If using a calculator, you can enter $ \text{trials} = 6 $, $ p = 0.65 $, and $ x = 4 $. X Bin(N P) Calculator.
From www.studocu.com
QUAN TEST 2 Formula VARIANCE questions NORM(x,mean,SQRT(variance X Bin(N P) Calculator $$x \sim bin(n, p)$$ directions. This applet computes probabilities for the binomial distribution: If using a calculator, you can enter $ \text{trials} = 6 $, $ p = 0.65 $, and $ x = 4 $ into a binomial probability distribution function (pdf). Use the binomial calculator to compute individual and cumulative binomial probabilities. If doing this by hand, apply. X Bin(N P) Calculator.
From www.studocu.com
Test 2 notes Binomial Distribution XBin(n,p) =np = np(1p) A X Bin(N P) Calculator The binomial distrobution formula for any random variable x is given as. Use the binomial calculator to compute individual and cumulative binomial probabilities. $$x \sim bin(n, p)$$ directions. Binomial probability distribution formula or binomial distribution formula calculator. This calculates a table of the binomial distribution for given parameters and displays graphs of the distribution function, f (x), and cumulative distribution.. X Bin(N P) Calculator.
From www.chegg.com
Solved 1. In this question, letX∼Bin(n, p)a) Show that ifnis X Bin(N P) Calculator If doing this by hand, apply the binomial probability formula:. Use the binomial calculator to compute individual and cumulative binomial probabilities. Enter the number of trials in the $n$. The binomial distrobution formula for any random variable x is given as. For a binomial distribution, the mean, variance, standard deviation formulas are here: Binomial probability distribution formula or binomial distribution. X Bin(N P) Calculator.
From calculatorshub.net
FGO NP Calculator Online X Bin(N P) Calculator $$x \sim bin(n, p)$$ directions. For a binomial distribution, the mean, variance, standard deviation formulas are here: This applet computes probabilities for the binomial distribution: Take the square root of the. Use the binomial calculator to compute individual and cumulative binomial probabilities. Binomial probability distribution formula or binomial distribution formula calculator. This calculates a table of the binomial distribution for. X Bin(N P) Calculator.
From www.numerade.com
SOLVED If X Bin(n,p), what is the approximate distribution of X for a X Bin(N P) Calculator For a binomial distribution, the mean, variance, standard deviation formulas are here: Use the binomial calculator to compute individual and cumulative binomial probabilities. If doing this by hand, apply the binomial probability formula:. The binomial distrobution formula for any random variable x is given as. If using a calculator, you can enter $ \text{trials} = 6 $, $ p =. X Bin(N P) Calculator.
From www.slideserve.com
PPT Examples of discrete probability distributions PowerPoint X Bin(N P) Calculator The binomial distrobution formula for any random variable x is given as. This applet computes probabilities for the binomial distribution: If using a calculator, you can enter $ \text{trials} = 6 $, $ p = 0.65 $, and $ x = 4 $ into a binomial probability distribution function (pdf). Take the square root of the. Enter the number of. X Bin(N P) Calculator.
From www.studocu.com
MAS183 notes 712 The Binomial Distribution X Bin (n, p X Bin(N P) Calculator Binomial probability distribution formula or binomial distribution formula calculator. Enter the number of trials in the $n$. If using a calculator, you can enter $ \text{trials} = 6 $, $ p = 0.65 $, and $ x = 4 $ into a binomial probability distribution function (pdf). $$x \sim bin(n, p)$$ directions. This calculates a table of the binomial distribution. X Bin(N P) Calculator.