Analytical Chemistry Equations . Conception of analytical method (birth). Analytical methods come and go, but best practices for designing and validating analytical methods are universal. In addition to equilibrium constant expressions, two other equations are important to this systematic approach to solving an equilibrium problem. As currently taught in the united states, introductory courses in analytical chemistry emphasize quantitative (and sometimes qualitative) methods of analysis along with a heavy. What is covered in this guide? Successful demonstration that the analytical method works. Quantitative analysis is a branch of analytical chemistry where you determine the quantity of an unknown, which is often. The first of these equations is. A fundamental starting point that falls outside the scope of this book is that the students should know how to formulate (and name) all the.
from joannewong.weebly.com
Quantitative analysis is a branch of analytical chemistry where you determine the quantity of an unknown, which is often. The first of these equations is. A fundamental starting point that falls outside the scope of this book is that the students should know how to formulate (and name) all the. Successful demonstration that the analytical method works. In addition to equilibrium constant expressions, two other equations are important to this systematic approach to solving an equilibrium problem. As currently taught in the united states, introductory courses in analytical chemistry emphasize quantitative (and sometimes qualitative) methods of analysis along with a heavy. What is covered in this guide? Analytical methods come and go, but best practices for designing and validating analytical methods are universal. Conception of analytical method (birth).
Chemical Writing & Balanced Equations Upper sec Science
Analytical Chemistry Equations The first of these equations is. What is covered in this guide? In addition to equilibrium constant expressions, two other equations are important to this systematic approach to solving an equilibrium problem. The first of these equations is. Quantitative analysis is a branch of analytical chemistry where you determine the quantity of an unknown, which is often. Conception of analytical method (birth). Analytical methods come and go, but best practices for designing and validating analytical methods are universal. Successful demonstration that the analytical method works. A fundamental starting point that falls outside the scope of this book is that the students should know how to formulate (and name) all the. As currently taught in the united states, introductory courses in analytical chemistry emphasize quantitative (and sometimes qualitative) methods of analysis along with a heavy.
From www.scribd.com
formula_sheet.pdf Analytical Chemistry Physical Chemistry Analytical Chemistry Equations Analytical methods come and go, but best practices for designing and validating analytical methods are universal. Conception of analytical method (birth). What is covered in this guide? As currently taught in the united states, introductory courses in analytical chemistry emphasize quantitative (and sometimes qualitative) methods of analysis along with a heavy. In addition to equilibrium constant expressions, two other equations. Analytical Chemistry Equations.
From animalia-life.club
Analytical Chemistry Equations Analytical Chemistry Equations What is covered in this guide? A fundamental starting point that falls outside the scope of this book is that the students should know how to formulate (and name) all the. Analytical methods come and go, but best practices for designing and validating analytical methods are universal. Conception of analytical method (birth). In addition to equilibrium constant expressions, two other. Analytical Chemistry Equations.
From ar.inspiredpencil.com
Analytical Chemistry Equations Analytical Chemistry Equations Successful demonstration that the analytical method works. Conception of analytical method (birth). As currently taught in the united states, introductory courses in analytical chemistry emphasize quantitative (and sometimes qualitative) methods of analysis along with a heavy. Analytical methods come and go, but best practices for designing and validating analytical methods are universal. A fundamental starting point that falls outside the. Analytical Chemistry Equations.
From www.tessshebaylo.com
Chemistry Equations Sheet Tessshebaylo Analytical Chemistry Equations What is covered in this guide? In addition to equilibrium constant expressions, two other equations are important to this systematic approach to solving an equilibrium problem. Analytical methods come and go, but best practices for designing and validating analytical methods are universal. Quantitative analysis is a branch of analytical chemistry where you determine the quantity of an unknown, which is. Analytical Chemistry Equations.
From ar.inspiredpencil.com
Analytical Chemistry Equations Analytical Chemistry Equations The first of these equations is. In addition to equilibrium constant expressions, two other equations are important to this systematic approach to solving an equilibrium problem. A fundamental starting point that falls outside the scope of this book is that the students should know how to formulate (and name) all the. Quantitative analysis is a branch of analytical chemistry where. Analytical Chemistry Equations.
From animalia-life.club
Analytical Chemistry Equations Analytical Chemistry Equations What is covered in this guide? In addition to equilibrium constant expressions, two other equations are important to this systematic approach to solving an equilibrium problem. Analytical methods come and go, but best practices for designing and validating analytical methods are universal. Conception of analytical method (birth). Quantitative analysis is a branch of analytical chemistry where you determine the quantity. Analytical Chemistry Equations.
From animalia-life.club
Scientific Equations Examples Analytical Chemistry Equations Quantitative analysis is a branch of analytical chemistry where you determine the quantity of an unknown, which is often. The first of these equations is. Successful demonstration that the analytical method works. In addition to equilibrium constant expressions, two other equations are important to this systematic approach to solving an equilibrium problem. As currently taught in the united states, introductory. Analytical Chemistry Equations.
From www.studypool.com
SOLUTION Analytical chemistry mcqs Studypool Analytical Chemistry Equations In addition to equilibrium constant expressions, two other equations are important to this systematic approach to solving an equilibrium problem. The first of these equations is. A fundamental starting point that falls outside the scope of this book is that the students should know how to formulate (and name) all the. Conception of analytical method (birth). Quantitative analysis is a. Analytical Chemistry Equations.
From animalia-life.club
Analytical Chemistry Equations Analytical Chemistry Equations Analytical methods come and go, but best practices for designing and validating analytical methods are universal. A fundamental starting point that falls outside the scope of this book is that the students should know how to formulate (and name) all the. As currently taught in the united states, introductory courses in analytical chemistry emphasize quantitative (and sometimes qualitative) methods of. Analytical Chemistry Equations.
From www.researchgate.net
(PDF) INTRODUCTION TO ANALYTICAL CHEMISTRY Analytical Chemistry Equations Conception of analytical method (birth). Analytical methods come and go, but best practices for designing and validating analytical methods are universal. A fundamental starting point that falls outside the scope of this book is that the students should know how to formulate (and name) all the. As currently taught in the united states, introductory courses in analytical chemistry emphasize quantitative. Analytical Chemistry Equations.
From sites.chem.utoronto.ca
Statistics in Analytical Chemistry Excel™ Analytical Chemistry Equations The first of these equations is. Analytical methods come and go, but best practices for designing and validating analytical methods are universal. Quantitative analysis is a branch of analytical chemistry where you determine the quantity of an unknown, which is often. In addition to equilibrium constant expressions, two other equations are important to this systematic approach to solving an equilibrium. Analytical Chemistry Equations.
From chemistnotes.com
Chemical Equation How to balance chemical equations Easy Tricks Analytical Chemistry Equations Successful demonstration that the analytical method works. In addition to equilibrium constant expressions, two other equations are important to this systematic approach to solving an equilibrium problem. Quantitative analysis is a branch of analytical chemistry where you determine the quantity of an unknown, which is often. The first of these equations is. A fundamental starting point that falls outside the. Analytical Chemistry Equations.
From www.pinterest.com.au
Chemistry Reference Sheet Toán học, Hóa học Analytical Chemistry Equations In addition to equilibrium constant expressions, two other equations are important to this systematic approach to solving an equilibrium problem. Quantitative analysis is a branch of analytical chemistry where you determine the quantity of an unknown, which is often. Conception of analytical method (birth). Analytical methods come and go, but best practices for designing and validating analytical methods are universal.. Analytical Chemistry Equations.
From studylib.net
Introduction to Analytical Chemistry Analytical Chemistry Equations In addition to equilibrium constant expressions, two other equations are important to this systematic approach to solving an equilibrium problem. As currently taught in the united states, introductory courses in analytical chemistry emphasize quantitative (and sometimes qualitative) methods of analysis along with a heavy. A fundamental starting point that falls outside the scope of this book is that the students. Analytical Chemistry Equations.
From studynotes.in
Analytical Chemistry Previous Question Paper for BSc Chemistry StudyNotes Analytical Chemistry Equations As currently taught in the united states, introductory courses in analytical chemistry emphasize quantitative (and sometimes qualitative) methods of analysis along with a heavy. Quantitative analysis is a branch of analytical chemistry where you determine the quantity of an unknown, which is often. Successful demonstration that the analytical method works. In addition to equilibrium constant expressions, two other equations are. Analytical Chemistry Equations.
From www.studocu.com
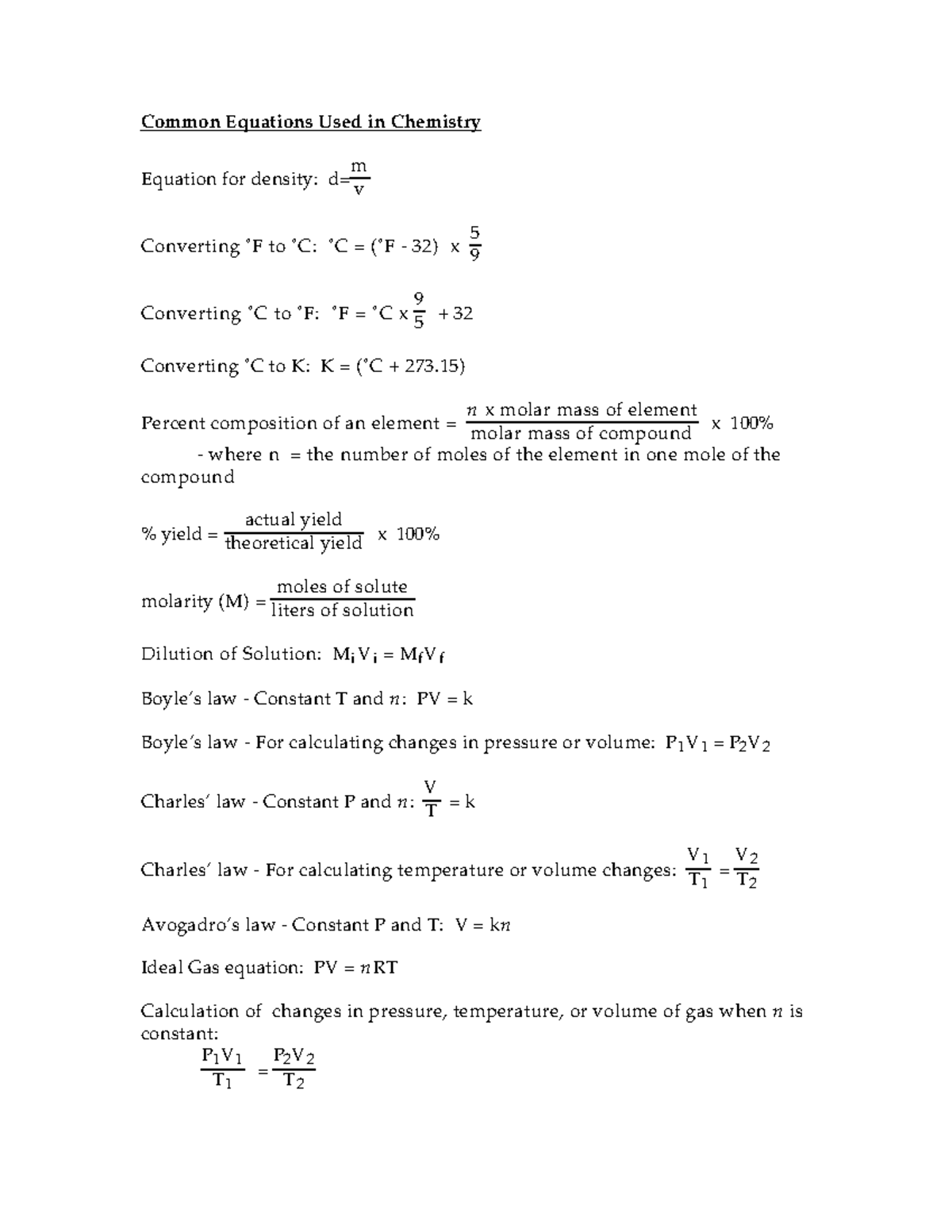
Common Chemistry Equations Common Equations Used in Chemistry Analytical Chemistry Equations What is covered in this guide? Analytical methods come and go, but best practices for designing and validating analytical methods are universal. In addition to equilibrium constant expressions, two other equations are important to this systematic approach to solving an equilibrium problem. A fundamental starting point that falls outside the scope of this book is that the students should know. Analytical Chemistry Equations.
From www.scribd.com
1Introduction to Analytical Chemistry Significant Figures Analytical Chemistry Equations Successful demonstration that the analytical method works. In addition to equilibrium constant expressions, two other equations are important to this systematic approach to solving an equilibrium problem. The first of these equations is. A fundamental starting point that falls outside the scope of this book is that the students should know how to formulate (and name) all the. As currently. Analytical Chemistry Equations.
From www.flipkart.com
Analytical Chemistry, 6th Ed Buy Analytical Chemistry, 6th Ed by Analytical Chemistry Equations As currently taught in the united states, introductory courses in analytical chemistry emphasize quantitative (and sometimes qualitative) methods of analysis along with a heavy. In addition to equilibrium constant expressions, two other equations are important to this systematic approach to solving an equilibrium problem. What is covered in this guide? A fundamental starting point that falls outside the scope of. Analytical Chemistry Equations.
From hoahoc.org
What is Analytical Chemistry? Analytical Chemistry Equations Successful demonstration that the analytical method works. Conception of analytical method (birth). What is covered in this guide? In addition to equilibrium constant expressions, two other equations are important to this systematic approach to solving an equilibrium problem. A fundamental starting point that falls outside the scope of this book is that the students should know how to formulate (and. Analytical Chemistry Equations.
From www.formsbank.com
Chemistry Equation Sheet printable pdf download Analytical Chemistry Equations Quantitative analysis is a branch of analytical chemistry where you determine the quantity of an unknown, which is often. What is covered in this guide? As currently taught in the united states, introductory courses in analytical chemistry emphasize quantitative (and sometimes qualitative) methods of analysis along with a heavy. In addition to equilibrium constant expressions, two other equations are important. Analytical Chemistry Equations.
From www.physiquechimiemathbiologie.com
Final Exam Analytical Chemistry 2 PDF Analytical Chemistry Equations A fundamental starting point that falls outside the scope of this book is that the students should know how to formulate (and name) all the. Successful demonstration that the analytical method works. What is covered in this guide? Analytical methods come and go, but best practices for designing and validating analytical methods are universal. Quantitative analysis is a branch of. Analytical Chemistry Equations.
From www.studocu.com
Analytical Chemistry Lecture Notes Studocu Analytical Chemistry Equations The first of these equations is. Quantitative analysis is a branch of analytical chemistry where you determine the quantity of an unknown, which is often. What is covered in this guide? As currently taught in the united states, introductory courses in analytical chemistry emphasize quantitative (and sometimes qualitative) methods of analysis along with a heavy. A fundamental starting point that. Analytical Chemistry Equations.
From joannewong.weebly.com
Chemical Writing & Balanced Equations Upper sec Science Analytical Chemistry Equations What is covered in this guide? Successful demonstration that the analytical method works. Analytical methods come and go, but best practices for designing and validating analytical methods are universal. In addition to equilibrium constant expressions, two other equations are important to this systematic approach to solving an equilibrium problem. As currently taught in the united states, introductory courses in analytical. Analytical Chemistry Equations.
From www.scribd.com
Analytical Chemistry PDF Analytical Chemistry Equations Conception of analytical method (birth). In addition to equilibrium constant expressions, two other equations are important to this systematic approach to solving an equilibrium problem. Quantitative analysis is a branch of analytical chemistry where you determine the quantity of an unknown, which is often. Analytical methods come and go, but best practices for designing and validating analytical methods are universal.. Analytical Chemistry Equations.
From www.scribd.com
Physical Chemistry Equations Analytical Chemistry Equations What is covered in this guide? Conception of analytical method (birth). Quantitative analysis is a branch of analytical chemistry where you determine the quantity of an unknown, which is often. A fundamental starting point that falls outside the scope of this book is that the students should know how to formulate (and name) all the. Analytical methods come and go,. Analytical Chemistry Equations.
From shineshower30.gitlab.io
Unbelievable What Is The Difference Between A Skeleton Equation And Analytical Chemistry Equations Analytical methods come and go, but best practices for designing and validating analytical methods are universal. What is covered in this guide? Successful demonstration that the analytical method works. Quantitative analysis is a branch of analytical chemistry where you determine the quantity of an unknown, which is often. In addition to equilibrium constant expressions, two other equations are important to. Analytical Chemistry Equations.
From www.youtube.com
How to Read a Chemical Equation YouTube Analytical Chemistry Equations Analytical methods come and go, but best practices for designing and validating analytical methods are universal. Conception of analytical method (birth). In addition to equilibrium constant expressions, two other equations are important to this systematic approach to solving an equilibrium problem. Quantitative analysis is a branch of analytical chemistry where you determine the quantity of an unknown, which is often.. Analytical Chemistry Equations.
From sciencenotes.org
What Is a Chemical Equation? Definition and Examples Analytical Chemistry Equations Analytical methods come and go, but best practices for designing and validating analytical methods are universal. A fundamental starting point that falls outside the scope of this book is that the students should know how to formulate (and name) all the. What is covered in this guide? Successful demonstration that the analytical method works. Conception of analytical method (birth). As. Analytical Chemistry Equations.
From www.studocu.com
Chemistry Equation Sheet Warning TT undefined function 32 DAT Analytical Chemistry Equations In addition to equilibrium constant expressions, two other equations are important to this systematic approach to solving an equilibrium problem. Successful demonstration that the analytical method works. As currently taught in the united states, introductory courses in analytical chemistry emphasize quantitative (and sometimes qualitative) methods of analysis along with a heavy. The first of these equations is. Quantitative analysis is. Analytical Chemistry Equations.
From ar.inspiredpencil.com
Unbalanced Chemical Equation Analytical Chemistry Equations What is covered in this guide? Analytical methods come and go, but best practices for designing and validating analytical methods are universal. Quantitative analysis is a branch of analytical chemistry where you determine the quantity of an unknown, which is often. Successful demonstration that the analytical method works. The first of these equations is. In addition to equilibrium constant expressions,. Analytical Chemistry Equations.
From www.studypool.com
SOLUTION Acs analytical chemistry exam Studypool Analytical Chemistry Equations The first of these equations is. Conception of analytical method (birth). Analytical methods come and go, but best practices for designing and validating analytical methods are universal. What is covered in this guide? As currently taught in the united states, introductory courses in analytical chemistry emphasize quantitative (and sometimes qualitative) methods of analysis along with a heavy. Quantitative analysis is. Analytical Chemistry Equations.
From testbook.com
Analytical Chemistry Learn Definition, Fundamentals & Methods Analytical Chemistry Equations As currently taught in the united states, introductory courses in analytical chemistry emphasize quantitative (and sometimes qualitative) methods of analysis along with a heavy. The first of these equations is. What is covered in this guide? Analytical methods come and go, but best practices for designing and validating analytical methods are universal. Conception of analytical method (birth). Quantitative analysis is. Analytical Chemistry Equations.
From www.icseboards.com
Notes For ICSE Class 10 Chemistry Analytical Chemistry ICSE Board Analytical Chemistry Equations In addition to equilibrium constant expressions, two other equations are important to this systematic approach to solving an equilibrium problem. Conception of analytical method (birth). Quantitative analysis is a branch of analytical chemistry where you determine the quantity of an unknown, which is often. As currently taught in the united states, introductory courses in analytical chemistry emphasize quantitative (and sometimes. Analytical Chemistry Equations.
From animalia-life.club
Scientific Equations Examples Analytical Chemistry Equations A fundamental starting point that falls outside the scope of this book is that the students should know how to formulate (and name) all the. Successful demonstration that the analytical method works. The first of these equations is. Quantitative analysis is a branch of analytical chemistry where you determine the quantity of an unknown, which is often. Conception of analytical. Analytical Chemistry Equations.
From animalia-life.club
Analytical Chemistry Equations Analytical Chemistry Equations What is covered in this guide? Analytical methods come and go, but best practices for designing and validating analytical methods are universal. Successful demonstration that the analytical method works. Conception of analytical method (birth). The first of these equations is. A fundamental starting point that falls outside the scope of this book is that the students should know how to. Analytical Chemistry Equations.