Linear Combination Calculator Gcd . Find the greatest common divisor. The extended euclidean algorithm is a modification of the classical gcd algorithm allowing to find a linear combination. Gcd as linear combination finder. N =    m =    gcd =. This calculator implements extended euclidean algorithm, which computes, besides the greatest common divisor of integers a and b, the. We'll show them with a few examples. Find gcd using prime factorization method. Find gcd of 36 and 48. When you click the apply button, the. I am working on gcd's in my algebraic structures class. Enter two numbers (separated by a space) in the text box below. I was told to find the gcd of 34 and 126. This calculator provides four methods to compute gcd. The online calculator for the (extended) euclidean algorithm. I did so using the euclidean.
from www.youtube.com
Enter two numbers (separated by a space) in the text box below. Gcd as linear combination finder. I am working on gcd's in my algebraic structures class. I was told to find the gcd of 34 and 126. N =    m =    gcd =. We'll show them with a few examples. This calculator provides four methods to compute gcd. Find the greatest common divisor. I did so using the euclidean. Find gcd of 36 and 48.
GCD as a linear combination YouTube
Linear Combination Calculator Gcd Gcd as linear combination finder. When you click the apply button, the. I was told to find the gcd of 34 and 126. N =    m =    gcd =. While the euclidean algorithm calculates only the greatest common divisor (gcd) of two integers $a$ and $b$, the. Enter two numbers (separated by a space) in the text box below. I did so using the euclidean. Find gcd using prime factorization method. The extended euclidean algorithm is a modification of the classical gcd algorithm allowing to find a linear combination. This calculator provides four methods to compute gcd. I am working on gcd's in my algebraic structures class. We'll show them with a few examples. The online calculator for the (extended) euclidean algorithm. Gcd as linear combination finder. Find the greatest common divisor. Find gcd of 36 and 48.
From www.youtube.com
GCD as a linear combination 1st Semester BSc Mathematics Number Linear Combination Calculator Gcd Enter two numbers (separated by a space) in the text box below. The extended euclidean algorithm is a modification of the classical gcd algorithm allowing to find a linear combination. Find the greatest common divisor. Find gcd using prime factorization method. I was told to find the gcd of 34 and 126. We'll show them with a few examples. The. Linear Combination Calculator Gcd.
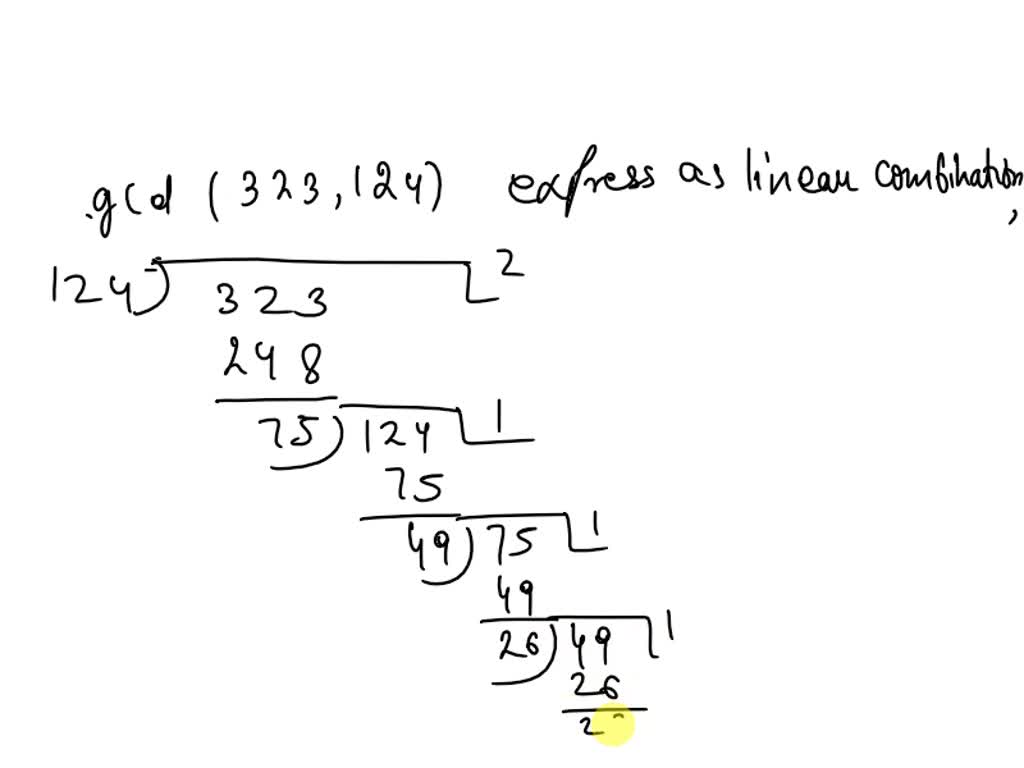
From www.numerade.com
Find the gcd(124, 323) and express it as a linear combination of 124 Linear Combination Calculator Gcd The extended euclidean algorithm is a modification of the classical gcd algorithm allowing to find a linear combination. I am working on gcd's in my algebraic structures class. Find the greatest common divisor. When you click the apply button, the. Find gcd using prime factorization method. I did so using the euclidean. N =    m =    gcd =.. Linear Combination Calculator Gcd.
From www.slideserve.com
PPT Number Theory and Cryptography PowerPoint Presentation, free Linear Combination Calculator Gcd This calculator provides four methods to compute gcd. Find gcd of 36 and 48. When you click the apply button, the. Find the greatest common divisor. This calculator implements extended euclidean algorithm, which computes, besides the greatest common divisor of integers a and b, the. Gcd as linear combination finder. The extended euclidean algorithm is a modification of the classical. Linear Combination Calculator Gcd.
From www.youtube.com
GCD, Euclidean Algorithm and Bezout Coefficients YouTube Linear Combination Calculator Gcd N =    m =    gcd =. I am working on gcd's in my algebraic structures class. Find gcd using prime factorization method. When you click the apply button, the. While the euclidean algorithm calculates only the greatest common divisor (gcd) of two integers $a$ and $b$, the. Find the greatest common divisor. This calculator implements extended euclidean algorithm,. Linear Combination Calculator Gcd.
From www.numerade.com
SOLVED Text Use the Euclidean Algorithm to calculate d = gcd(30135 Linear Combination Calculator Gcd The extended euclidean algorithm is a modification of the classical gcd algorithm allowing to find a linear combination. Find gcd of 36 and 48. Enter two numbers (separated by a space) in the text box below. This calculator provides four methods to compute gcd. I did so using the euclidean. The online calculator for the (extended) euclidean algorithm. We'll show. Linear Combination Calculator Gcd.
From careyzarmeena.blogspot.com
26+ polynomial gcd calculator CareyZarmeena Linear Combination Calculator Gcd Enter two numbers (separated by a space) in the text box below. When you click the apply button, the. N =    m =    gcd =. This calculator implements extended euclidean algorithm, which computes, besides the greatest common divisor of integers a and b, the. The online calculator for the (extended) euclidean algorithm. We'll show them with a few. Linear Combination Calculator Gcd.
From www.youtube.com
Find Linear Combinations of Vectors YouTube Linear Combination Calculator Gcd We'll show them with a few examples. This calculator implements extended euclidean algorithm, which computes, besides the greatest common divisor of integers a and b, the. The online calculator for the (extended) euclidean algorithm. I did so using the euclidean. This calculator provides four methods to compute gcd. Find gcd of 36 and 48. N =    m =   . Linear Combination Calculator Gcd.
From www.omnicalculator.com
Linear Combination Calculator Linear Combination Calculator Gcd I was told to find the gcd of 34 and 126. The online calculator for the (extended) euclidean algorithm. Find the greatest common divisor. Find gcd of 36 and 48. I did so using the euclidean. We'll show them with a few examples. The extended euclidean algorithm is a modification of the classical gcd algorithm allowing to find a linear. Linear Combination Calculator Gcd.
From www.chegg.com
Solved 6. Express gcd(990,502)=2 as a linear combination of Linear Combination Calculator Gcd Find gcd using prime factorization method. The online calculator for the (extended) euclidean algorithm. While the euclidean algorithm calculates only the greatest common divisor (gcd) of two integers $a$ and $b$, the. I am working on gcd's in my algebraic structures class. This calculator implements extended euclidean algorithm, which computes, besides the greatest common divisor of integers a and b,. Linear Combination Calculator Gcd.
From blairmikolaj.blogspot.com
37+ linear combination calculator vector BlairMikolaj Linear Combination Calculator Gcd The extended euclidean algorithm is a modification of the classical gcd algorithm allowing to find a linear combination. Gcd as linear combination finder. While the euclidean algorithm calculates only the greatest common divisor (gcd) of two integers $a$ and $b$, the. Find gcd of 36 and 48. Enter two numbers (separated by a space) in the text box below. Find. Linear Combination Calculator Gcd.
From lavonahart.blogspot.com
7+ lcm of polynomials calculator LavonaHart Linear Combination Calculator Gcd Find gcd using prime factorization method. When you click the apply button, the. I did so using the euclidean. The extended euclidean algorithm is a modification of the classical gcd algorithm allowing to find a linear combination. This calculator implements extended euclidean algorithm, which computes, besides the greatest common divisor of integers a and b, the. This calculator provides four. Linear Combination Calculator Gcd.
From www.youtube.com
GCD IS LINEAR COMBINATION RESULT YouTube Linear Combination Calculator Gcd I was told to find the gcd of 34 and 126. Gcd as linear combination finder. This calculator provides four methods to compute gcd. The online calculator for the (extended) euclidean algorithm. The extended euclidean algorithm is a modification of the classical gcd algorithm allowing to find a linear combination. Find gcd of 36 and 48. This calculator implements extended. Linear Combination Calculator Gcd.
From www.numerade.com
4. Find the greatest common divisor (gcd) of 414 and 662 using the Linear Combination Calculator Gcd I am working on gcd's in my algebraic structures class. I was told to find the gcd of 34 and 126. While the euclidean algorithm calculates only the greatest common divisor (gcd) of two integers $a$ and $b$, the. Enter two numbers (separated by a space) in the text box below. The online calculator for the (extended) euclidean algorithm. Find. Linear Combination Calculator Gcd.
From www.youtube.com
Graphing Calculator Find GCF or GCD YouTube Linear Combination Calculator Gcd I did so using the euclidean. The online calculator for the (extended) euclidean algorithm. I was told to find the gcd of 34 and 126. Gcd as linear combination finder. Find gcd using prime factorization method. Enter two numbers (separated by a space) in the text box below. Find the greatest common divisor. I am working on gcd's in my. Linear Combination Calculator Gcd.
From www.youtube.com
Writing gcd as a linear combination using Euclidean Algorithm YouTube Linear Combination Calculator Gcd Find the greatest common divisor. While the euclidean algorithm calculates only the greatest common divisor (gcd) of two integers $a$ and $b$, the. When you click the apply button, the. Find gcd using prime factorization method. Enter two numbers (separated by a space) in the text box below. Gcd as linear combination finder. This calculator provides four methods to compute. Linear Combination Calculator Gcd.
From www.youtube.com
Express GCD as linear combination of two integers 117 and 213 YouTube Linear Combination Calculator Gcd Find the greatest common divisor. Find gcd using prime factorization method. When you click the apply button, the. Gcd as linear combination finder. Find gcd of 36 and 48. We'll show them with a few examples. This calculator implements extended euclidean algorithm, which computes, besides the greatest common divisor of integers a and b, the. N =    m =. Linear Combination Calculator Gcd.
From www.youtube.com
Linear Combination of GCD Bezout's Lemma (Number Theory) YouTube Linear Combination Calculator Gcd The extended euclidean algorithm is a modification of the classical gcd algorithm allowing to find a linear combination. I did so using the euclidean. I am working on gcd's in my algebraic structures class. Gcd as linear combination finder. Find gcd using prime factorization method. N =    m =    gcd =. I was told to find the gcd. Linear Combination Calculator Gcd.
From byjus.com
Find the hcf of 592 and 252 and express it as a linear combination of them Linear Combination Calculator Gcd I am working on gcd's in my algebraic structures class. We'll show them with a few examples. I was told to find the gcd of 34 and 126. I did so using the euclidean. Enter two numbers (separated by a space) in the text box below. While the euclidean algorithm calculates only the greatest common divisor (gcd) of two integers. Linear Combination Calculator Gcd.
From brainly.in
Express the GCD of 48 and 18 as a linear combination.plz explain its Linear Combination Calculator Gcd The online calculator for the (extended) euclidean algorithm. Find the greatest common divisor. I was told to find the gcd of 34 and 126. Enter two numbers (separated by a space) in the text box below. We'll show them with a few examples. This calculator implements extended euclidean algorithm, which computes, besides the greatest common divisor of integers a and. Linear Combination Calculator Gcd.
From www.chegg.com
Solved Example 5. Find gcd(41,12) and express it as a linear Linear Combination Calculator Gcd I am working on gcd's in my algebraic structures class. Find gcd of 36 and 48. I was told to find the gcd of 34 and 126. The extended euclidean algorithm is a modification of the classical gcd algorithm allowing to find a linear combination. Gcd as linear combination finder. This calculator implements extended euclidean algorithm, which computes, besides the. Linear Combination Calculator Gcd.
From www.pinterest.com
C++ Program to Find GCD coderforevers (C++ Example) Microsoft excel Linear Combination Calculator Gcd Find gcd using prime factorization method. I was told to find the gcd of 34 and 126. This calculator provides four methods to compute gcd. I am working on gcd's in my algebraic structures class. Find gcd of 36 and 48. Gcd as linear combination finder. N =    m =    gcd =. Find the greatest common divisor. The. Linear Combination Calculator Gcd.
From www.chegg.com
Solved Use the Euclidean algorithm to calculate the GCD of Linear Combination Calculator Gcd I did so using the euclidean. I am working on gcd's in my algebraic structures class. The extended euclidean algorithm is a modification of the classical gcd algorithm allowing to find a linear combination. When you click the apply button, the. We'll show them with a few examples. Find the greatest common divisor. Find gcd using prime factorization method. This. Linear Combination Calculator Gcd.
From www.youtube.com
Use back substitution from division algorithm to write GCD of 292 and Linear Combination Calculator Gcd This calculator provides four methods to compute gcd. I am working on gcd's in my algebraic structures class. Find gcd of 36 and 48. Gcd as linear combination finder. While the euclidean algorithm calculates only the greatest common divisor (gcd) of two integers $a$ and $b$, the. I did so using the euclidean. The online calculator for the (extended) euclidean. Linear Combination Calculator Gcd.
From www.youtube.com
GCD as a linear combination YouTube Linear Combination Calculator Gcd I was told to find the gcd of 34 and 126. This calculator implements extended euclidean algorithm, which computes, besides the greatest common divisor of integers a and b, the. Find gcd of 36 and 48. I am working on gcd's in my algebraic structures class. The online calculator for the (extended) euclidean algorithm. Find gcd using prime factorization method.. Linear Combination Calculator Gcd.
From www.youtube.com
Express GCD as linear combination YouTube Linear Combination Calculator Gcd N =    m =    gcd =. Find gcd using prime factorization method. I did so using the euclidean. Find the greatest common divisor. This calculator implements extended euclidean algorithm, which computes, besides the greatest common divisor of integers a and b, the. Find gcd of 36 and 48. Gcd as linear combination finder. The extended euclidean algorithm is. Linear Combination Calculator Gcd.
From www.chegg.com
Solved Use the Euclidean Algorithm to calculate d = gcd (75, Linear Combination Calculator Gcd We'll show them with a few examples. N =    m =    gcd =. I did so using the euclidean. I was told to find the gcd of 34 and 126. This calculator provides four methods to compute gcd. The extended euclidean algorithm is a modification of the classical gcd algorithm allowing to find a linear combination. When you. Linear Combination Calculator Gcd.
From www.youtube.com
Using a Graphing Calculator to Find the Real Solutions of an Equation Linear Combination Calculator Gcd The extended euclidean algorithm is a modification of the classical gcd algorithm allowing to find a linear combination. When you click the apply button, the. I am working on gcd's in my algebraic structures class. This calculator provides four methods to compute gcd. The online calculator for the (extended) euclidean algorithm. Find gcd of 36 and 48. This calculator implements. Linear Combination Calculator Gcd.
From www.yttags.com
GCD & LCM Calculator Yttags Linear Combination Calculator Gcd This calculator implements extended euclidean algorithm, which computes, besides the greatest common divisor of integers a and b, the. I did so using the euclidean. I am working on gcd's in my algebraic structures class. Enter two numbers (separated by a space) in the text box below. I was told to find the gcd of 34 and 126. Find gcd. Linear Combination Calculator Gcd.
From www.chegg.com
Solved 2. Let a = 13 and m = 43. (a) Calculate gcd and lcm Linear Combination Calculator Gcd Find gcd of 36 and 48. I did so using the euclidean. N =    m =    gcd =. The online calculator for the (extended) euclidean algorithm. Enter two numbers (separated by a space) in the text box below. I was told to find the gcd of 34 and 126. Find gcd using prime factorization method. I am working. Linear Combination Calculator Gcd.
From www.youtube.com
Find GCD of 28 and 49. Express it as linear combination of 28 and 49 Linear Combination Calculator Gcd I was told to find the gcd of 34 and 126. Find the greatest common divisor. When you click the apply button, the. Find gcd using prime factorization method. The online calculator for the (extended) euclidean algorithm. Enter two numbers (separated by a space) in the text box below. This calculator implements extended euclidean algorithm, which computes, besides the greatest. Linear Combination Calculator Gcd.
From linzihumda.blogspot.com
37+ linear combination calculator matrix LinziHumda Linear Combination Calculator Gcd When you click the apply button, the. Find the greatest common divisor. This calculator implements extended euclidean algorithm, which computes, besides the greatest common divisor of integers a and b, the. N =    m =    gcd =. I am working on gcd's in my algebraic structures class. While the euclidean algorithm calculates only the greatest common divisor (gcd). Linear Combination Calculator Gcd.
From github.com
GitHub MManoah/euclideanandextendedalgorithmcalculator Finds the Linear Combination Calculator Gcd The extended euclidean algorithm is a modification of the classical gcd algorithm allowing to find a linear combination. The online calculator for the (extended) euclidean algorithm. This calculator implements extended euclidean algorithm, which computes, besides the greatest common divisor of integers a and b, the. I am working on gcd's in my algebraic structures class. We'll show them with a. Linear Combination Calculator Gcd.
From www.youtube.com
Determine if b is a linear combination of vectors formed from the Linear Combination Calculator Gcd Find gcd of 36 and 48. Enter two numbers (separated by a space) in the text box below. This calculator implements extended euclidean algorithm, which computes, besides the greatest common divisor of integers a and b, the. When you click the apply button, the. I was told to find the gcd of 34 and 126. Gcd as linear combination finder.. Linear Combination Calculator Gcd.
From learningcampusdoggy.z21.web.core.windows.net
Factor Division Calculator Linear Combination Calculator Gcd I am working on gcd's in my algebraic structures class. The extended euclidean algorithm is a modification of the classical gcd algorithm allowing to find a linear combination. This calculator implements extended euclidean algorithm, which computes, besides the greatest common divisor of integers a and b, the. We'll show them with a few examples. Gcd as linear combination finder. Find. Linear Combination Calculator Gcd.
From www.slideserve.com
PPT Cryptography CS 555 PowerPoint Presentation ID6734182 Linear Combination Calculator Gcd This calculator provides four methods to compute gcd. The extended euclidean algorithm is a modification of the classical gcd algorithm allowing to find a linear combination. Find the greatest common divisor. We'll show them with a few examples. When you click the apply button, the. I am working on gcd's in my algebraic structures class. This calculator implements extended euclidean. Linear Combination Calculator Gcd.