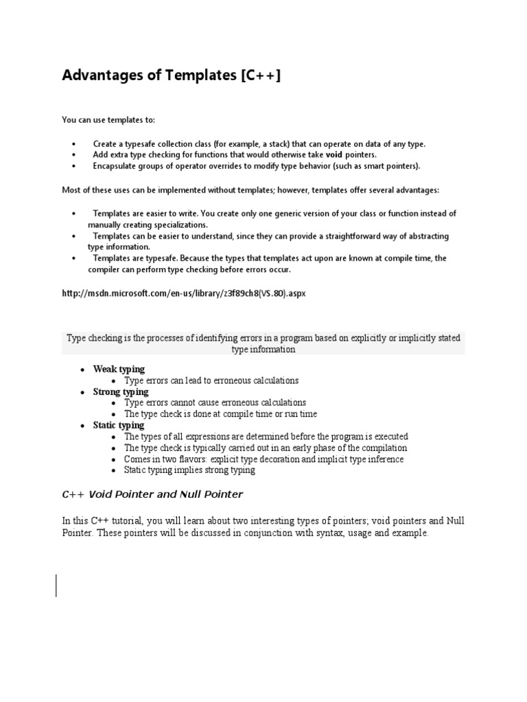
Advantages Of Templates In C++ . The c++ standard template library (stl) is a set of template classes and functions that provides the implementation of common data structures and algorithms such as lists,. C++ templates enable you to define a family of functions or classes that can operate on different types of information. How do templates work in c++? Templates are a very powerful mechanism which can simplify many things. Let’s start by pointing out the advantages: Just like function templates, class templates are typically defined in header files so they can be included into any code file that. The templates are one of the most powerful and widely used methods added to c++, allowing us to write generic programs. Templates help us avoid writing repetitive code. Templates in c++ works in such a way that it gets expanded at compiler time, just like macros. It allow us to define generic functions and classes.
from www.youtube.com
How do templates work in c++? The c++ standard template library (stl) is a set of template classes and functions that provides the implementation of common data structures and algorithms such as lists,. Templates in c++ works in such a way that it gets expanded at compiler time, just like macros. C++ templates enable you to define a family of functions or classes that can operate on different types of information. Templates help us avoid writing repetitive code. The templates are one of the most powerful and widely used methods added to c++, allowing us to write generic programs. It allow us to define generic functions and classes. Templates are a very powerful mechanism which can simplify many things. Just like function templates, class templates are typically defined in header files so they can be included into any code file that. Let’s start by pointing out the advantages:
C++ What are the advantages of using consteval instead of constexpr
Advantages Of Templates In C++ Just like function templates, class templates are typically defined in header files so they can be included into any code file that. Templates are a very powerful mechanism which can simplify many things. Templates in c++ works in such a way that it gets expanded at compiler time, just like macros. C++ templates enable you to define a family of functions or classes that can operate on different types of information. It allow us to define generic functions and classes. The templates are one of the most powerful and widely used methods added to c++, allowing us to write generic programs. Just like function templates, class templates are typically defined in header files so they can be included into any code file that. Templates help us avoid writing repetitive code. The c++ standard template library (stl) is a set of template classes and functions that provides the implementation of common data structures and algorithms such as lists,. Let’s start by pointing out the advantages: How do templates work in c++?
From techbudytb.blogspot.com
What is advantage and disadvantage of C++? Advantages Of Templates In C++ The c++ standard template library (stl) is a set of template classes and functions that provides the implementation of common data structures and algorithms such as lists,. The templates are one of the most powerful and widely used methods added to c++, allowing us to write generic programs. Templates help us avoid writing repetitive code. Templates in c++ works in. Advantages Of Templates In C++.
From techvidvan.com
Features of C++ Programming Language TechVidvan Advantages Of Templates In C++ The c++ standard template library (stl) is a set of template classes and functions that provides the implementation of common data structures and algorithms such as lists,. Just like function templates, class templates are typically defined in header files so they can be included into any code file that. Templates help us avoid writing repetitive code. C++ templates enable you. Advantages Of Templates In C++.
From www.naukri.com
Advantages of C++ Naukri Code 360 Advantages Of Templates In C++ Templates help us avoid writing repetitive code. Let’s start by pointing out the advantages: Templates are a very powerful mechanism which can simplify many things. Templates in c++ works in such a way that it gets expanded at compiler time, just like macros. How do templates work in c++? C++ templates enable you to define a family of functions or. Advantages Of Templates In C++.
From eduinput.com
Inheritance in C++ Advantages and Categories Advantages Of Templates In C++ C++ templates enable you to define a family of functions or classes that can operate on different types of information. Templates help us avoid writing repetitive code. Let’s start by pointing out the advantages: It allow us to define generic functions and classes. The c++ standard template library (stl) is a set of template classes and functions that provides the. Advantages Of Templates In C++.
From templates.rjuuc.edu.np
C++ Function Templates Advantages Of Templates In C++ Just like function templates, class templates are typically defined in header files so they can be included into any code file that. It allow us to define generic functions and classes. Let’s start by pointing out the advantages: C++ templates enable you to define a family of functions or classes that can operate on different types of information. How do. Advantages Of Templates In C++.
From www.youtube.com
C++ Advantages of msvcr100 over msvcrt YouTube Advantages Of Templates In C++ Let’s start by pointing out the advantages: Templates in c++ works in such a way that it gets expanded at compiler time, just like macros. Templates are a very powerful mechanism which can simplify many things. Templates help us avoid writing repetitive code. It allow us to define generic functions and classes. The c++ standard template library (stl) is a. Advantages Of Templates In C++.
From geekonpeak.com
Advantages and Disadvantages of C++ GeekonPeak Advantages Of Templates In C++ C++ templates enable you to define a family of functions or classes that can operate on different types of information. Just like function templates, class templates are typically defined in header files so they can be included into any code file that. The c++ standard template library (stl) is a set of template classes and functions that provides the implementation. Advantages Of Templates In C++.
From issuu.com
Advantages of c++ programming by pskrevti Issuu Advantages Of Templates In C++ It allow us to define generic functions and classes. How do templates work in c++? Let’s start by pointing out the advantages: The c++ standard template library (stl) is a set of template classes and functions that provides the implementation of common data structures and algorithms such as lists,. Templates help us avoid writing repetitive code. C++ templates enable you. Advantages Of Templates In C++.
From www.hitechwhizz.com
6 Advantages and Disadvantages of C++ Drawbacks & Benefits of C++ Advantages Of Templates In C++ Let’s start by pointing out the advantages: Just like function templates, class templates are typically defined in header files so they can be included into any code file that. Templates help us avoid writing repetitive code. Templates are a very powerful mechanism which can simplify many things. Templates in c++ works in such a way that it gets expanded at. Advantages Of Templates In C++.
From www.scribd.com
Advantages of Templates PDF Pointer Programming) C++ Advantages Of Templates In C++ The templates are one of the most powerful and widely used methods added to c++, allowing us to write generic programs. Templates are a very powerful mechanism which can simplify many things. How do templates work in c++? Templates in c++ works in such a way that it gets expanded at compiler time, just like macros. Let’s start by pointing. Advantages Of Templates In C++.
From cbselibrary.com
Array Advantages And Disadvantages What are Array? Advantages and Advantages Of Templates In C++ Templates in c++ works in such a way that it gets expanded at compiler time, just like macros. It allow us to define generic functions and classes. Templates help us avoid writing repetitive code. C++ templates enable you to define a family of functions or classes that can operate on different types of information. The templates are one of the. Advantages Of Templates In C++.
From eduinput.com
Functions in C/C++ Advantages of Functions in C/C++ Advantages Of Templates In C++ Templates in c++ works in such a way that it gets expanded at compiler time, just like macros. Let’s start by pointing out the advantages: Just like function templates, class templates are typically defined in header files so they can be included into any code file that. Templates are a very powerful mechanism which can simplify many things. C++ templates. Advantages Of Templates In C++.
From venngage.com
Business IT Advantages List Infographic Template Venngage Advantages Of Templates In C++ The templates are one of the most powerful and widely used methods added to c++, allowing us to write generic programs. Templates in c++ works in such a way that it gets expanded at compiler time, just like macros. Just like function templates, class templates are typically defined in header files so they can be included into any code file. Advantages Of Templates In C++.
From slidebazaar.com
Advantages and Disadvantages PowerPoint Templates Slidebazaar Advantages Of Templates In C++ The templates are one of the most powerful and widely used methods added to c++, allowing us to write generic programs. The c++ standard template library (stl) is a set of template classes and functions that provides the implementation of common data structures and algorithms such as lists,. Templates help us avoid writing repetitive code. Templates in c++ works in. Advantages Of Templates In C++.
From www.youtube.com
C++ Advantages of conditionalpreprocessor over conditional Advantages Of Templates In C++ Templates in c++ works in such a way that it gets expanded at compiler time, just like macros. C++ templates enable you to define a family of functions or classes that can operate on different types of information. The templates are one of the most powerful and widely used methods added to c++, allowing us to write generic programs. The. Advantages Of Templates In C++.
From trainings.internshala.com
Top 10 Benefits Of OOP In C++ You Must Know as a Programmer Advantages Of Templates In C++ C++ templates enable you to define a family of functions or classes that can operate on different types of information. Templates in c++ works in such a way that it gets expanded at compiler time, just like macros. It allow us to define generic functions and classes. The templates are one of the most powerful and widely used methods added. Advantages Of Templates In C++.
From inprogrammer.com
QUEUE IN C++ STL Advantages Of Templates In C++ Templates help us avoid writing repetitive code. How do templates work in c++? Just like function templates, class templates are typically defined in header files so they can be included into any code file that. Templates in c++ works in such a way that it gets expanded at compiler time, just like macros. Let’s start by pointing out the advantages:. Advantages Of Templates In C++.
From www.scribd.com
Presentation On Advantages of Over PDF C++ Thread Advantages Of Templates In C++ It allow us to define generic functions and classes. Templates in c++ works in such a way that it gets expanded at compiler time, just like macros. How do templates work in c++? The templates are one of the most powerful and widely used methods added to c++, allowing us to write generic programs. The c++ standard template library (stl). Advantages Of Templates In C++.
From www.pinterest.com
Advantages of Learning C++ Programing Language in 2023 Learn c Advantages Of Templates In C++ Templates in c++ works in such a way that it gets expanded at compiler time, just like macros. Templates are a very powerful mechanism which can simplify many things. The c++ standard template library (stl) is a set of template classes and functions that provides the implementation of common data structures and algorithms such as lists,. It allow us to. Advantages Of Templates In C++.
From slidebazaar.com
Advantages and Disadvantages PowerPoint Templates Slidebazaar Advantages Of Templates In C++ How do templates work in c++? Templates in c++ works in such a way that it gets expanded at compiler time, just like macros. The c++ standard template library (stl) is a set of template classes and functions that provides the implementation of common data structures and algorithms such as lists,. It allow us to define generic functions and classes.. Advantages Of Templates In C++.
From www.scaler.com
Templates in C++ With Examples Scaler Topics Advantages Of Templates In C++ Templates in c++ works in such a way that it gets expanded at compiler time, just like macros. The c++ standard template library (stl) is a set of template classes and functions that provides the implementation of common data structures and algorithms such as lists,. How do templates work in c++? It allow us to define generic functions and classes.. Advantages Of Templates In C++.
From aspiringyouths.com
Advantages and Disadvantages of Nested Class in C++ Advantages Of Templates In C++ The templates are one of the most powerful and widely used methods added to c++, allowing us to write generic programs. Templates in c++ works in such a way that it gets expanded at compiler time, just like macros. C++ templates enable you to define a family of functions or classes that can operate on different types of information. Templates. Advantages Of Templates In C++.
From slidebazaar.com
Advantages and Disadvantages PowerPoint Templates Slidebazaar Advantages Of Templates In C++ Templates help us avoid writing repetitive code. Templates in c++ works in such a way that it gets expanded at compiler time, just like macros. The templates are one of the most powerful and widely used methods added to c++, allowing us to write generic programs. Let’s start by pointing out the advantages: Just like function templates, class templates are. Advantages Of Templates In C++.
From www.educba.com
Templates in C++ Know 3 Awesome Types of Template in C++ Advantages Of Templates In C++ The templates are one of the most powerful and widely used methods added to c++, allowing us to write generic programs. Templates in c++ works in such a way that it gets expanded at compiler time, just like macros. It allow us to define generic functions and classes. The c++ standard template library (stl) is a set of template classes. Advantages Of Templates In C++.
From caportal.saginfotech.com
Advantages and Disadvantages of Using Templates for sites Advantages Of Templates In C++ It allow us to define generic functions and classes. Let’s start by pointing out the advantages: How do templates work in c++? C++ templates enable you to define a family of functions or classes that can operate on different types of information. The c++ standard template library (stl) is a set of template classes and functions that provides the implementation. Advantages Of Templates In C++.
From www.studocu.com
c++ using ecllipse IDE OBJECTIVES Study the concept of class Advantages Of Templates In C++ Let’s start by pointing out the advantages: The templates are one of the most powerful and widely used methods added to c++, allowing us to write generic programs. Templates in c++ works in such a way that it gets expanded at compiler time, just like macros. How do templates work in c++? Just like function templates, class templates are typically. Advantages Of Templates In C++.
From www.techyv.com
Top 10 Advantages Of Java Over C++ In 2022 Advantages Of Templates In C++ Just like function templates, class templates are typically defined in header files so they can be included into any code file that. Templates in c++ works in such a way that it gets expanded at compiler time, just like macros. The templates are one of the most powerful and widely used methods added to c++, allowing us to write generic. Advantages Of Templates In C++.
From www.mygreatlearning.com
Templates in C++ C++ Template All You Need to Know Advantages Of Templates In C++ It allow us to define generic functions and classes. Just like function templates, class templates are typically defined in header files so they can be included into any code file that. Templates in c++ works in such a way that it gets expanded at compiler time, just like macros. C++ templates enable you to define a family of functions or. Advantages Of Templates In C++.
From www.techyv.com
Top 10 Advantages Of Java Over C++ In 2022 Advantages Of Templates In C++ Templates help us avoid writing repetitive code. Templates are a very powerful mechanism which can simplify many things. Templates in c++ works in such a way that it gets expanded at compiler time, just like macros. C++ templates enable you to define a family of functions or classes that can operate on different types of information. Let’s start by pointing. Advantages Of Templates In C++.
From www.wikitechy.com
What are the advantages and disadvantages of C++ Advantages Of Templates In C++ How do templates work in c++? Templates in c++ works in such a way that it gets expanded at compiler time, just like macros. Templates are a very powerful mechanism which can simplify many things. Templates help us avoid writing repetitive code. Just like function templates, class templates are typically defined in header files so they can be included into. Advantages Of Templates In C++.
From waseempedia.com
Importance and Advantages of Computer Programming in C++ Advantages Of Templates In C++ Just like function templates, class templates are typically defined in header files so they can be included into any code file that. Let’s start by pointing out the advantages: Templates help us avoid writing repetitive code. Templates in c++ works in such a way that it gets expanded at compiler time, just like macros. How do templates work in c++?. Advantages Of Templates In C++.
From www.scaler.com
What are the Advantages of Data Structure? Scaler Topics Advantages Of Templates In C++ The templates are one of the most powerful and widely used methods added to c++, allowing us to write generic programs. It allow us to define generic functions and classes. Templates in c++ works in such a way that it gets expanded at compiler time, just like macros. How do templates work in c++? C++ templates enable you to define. Advantages Of Templates In C++.
From solwit.com
C and C++ overview of the most popular programming languages 2 Advantages Of Templates In C++ Templates help us avoid writing repetitive code. Templates are a very powerful mechanism which can simplify many things. How do templates work in c++? The templates are one of the most powerful and widely used methods added to c++, allowing us to write generic programs. Templates in c++ works in such a way that it gets expanded at compiler time,. Advantages Of Templates In C++.
From www.youtube.com
C++ What are the advantages of using consteval instead of constexpr Advantages Of Templates In C++ Just like function templates, class templates are typically defined in header files so they can be included into any code file that. The templates are one of the most powerful and widely used methods added to c++, allowing us to write generic programs. The c++ standard template library (stl) is a set of template classes and functions that provides the. Advantages Of Templates In C++.
From templates.esad.edu.br
Pros And Cons Template Advantages Of Templates In C++ C++ templates enable you to define a family of functions or classes that can operate on different types of information. The templates are one of the most powerful and widely used methods added to c++, allowing us to write generic programs. Templates help us avoid writing repetitive code. Templates are a very powerful mechanism which can simplify many things. Let’s. Advantages Of Templates In C++.