Barometric Formula Differential Equation . Learn how to derive the barometric formula for the hydrostatic pressure of gases using the ideal gas equation and the density of the gas. The barometric formula, relating the pressure p(z) of an isothermal, ideal gas of molecular mass m at some height z to its pressure p~0! Learn how to calculate the atmospheric pressure at any altitude using the barometric formula, which depends on the temperature and the. The levels of air pressure and air density in the atmosphere as used in the barometric formula depend on the altitude, the amount and. Learn how to derive the barometric formula, which relates atmospheric pressure to altitude, using different. The basic idea is to consider a volume element of unit transverse area and vertical extent $dh$.
from www.tec-science.com
Learn how to calculate the atmospheric pressure at any altitude using the barometric formula, which depends on the temperature and the. The barometric formula, relating the pressure p(z) of an isothermal, ideal gas of molecular mass m at some height z to its pressure p~0! Learn how to derive the barometric formula for the hydrostatic pressure of gases using the ideal gas equation and the density of the gas. The basic idea is to consider a volume element of unit transverse area and vertical extent $dh$. The levels of air pressure and air density in the atmosphere as used in the barometric formula depend on the altitude, the amount and. Learn how to derive the barometric formula, which relates atmospheric pressure to altitude, using different.
Derivation of the barometric formula (adiabatic atmosphere) tecscience
Barometric Formula Differential Equation Learn how to derive the barometric formula for the hydrostatic pressure of gases using the ideal gas equation and the density of the gas. The barometric formula, relating the pressure p(z) of an isothermal, ideal gas of molecular mass m at some height z to its pressure p~0! Learn how to calculate the atmospheric pressure at any altitude using the barometric formula, which depends on the temperature and the. The basic idea is to consider a volume element of unit transverse area and vertical extent $dh$. Learn how to derive the barometric formula, which relates atmospheric pressure to altitude, using different. Learn how to derive the barometric formula for the hydrostatic pressure of gases using the ideal gas equation and the density of the gas. The levels of air pressure and air density in the atmosphere as used in the barometric formula depend on the altitude, the amount and.
From www.tec-science.com
Derivation of the barometric formula (isothermal atmosphere) tecscience Barometric Formula Differential Equation Learn how to calculate the atmospheric pressure at any altitude using the barometric formula, which depends on the temperature and the. Learn how to derive the barometric formula, which relates atmospheric pressure to altitude, using different. The basic idea is to consider a volume element of unit transverse area and vertical extent $dh$. The barometric formula, relating the pressure p(z). Barometric Formula Differential Equation.
From slidetodoc.com
Lecture 4 Barometric formula and the Boltzmann equation Barometric Formula Differential Equation Learn how to derive the barometric formula, which relates atmospheric pressure to altitude, using different. The levels of air pressure and air density in the atmosphere as used in the barometric formula depend on the altitude, the amount and. The barometric formula, relating the pressure p(z) of an isothermal, ideal gas of molecular mass m at some height z to. Barometric Formula Differential Equation.
From www.tec-science.com
Derivation of the barometric formula (adiabatic atmosphere) tecscience Barometric Formula Differential Equation Learn how to derive the barometric formula for the hydrostatic pressure of gases using the ideal gas equation and the density of the gas. The barometric formula, relating the pressure p(z) of an isothermal, ideal gas of molecular mass m at some height z to its pressure p~0! Learn how to calculate the atmospheric pressure at any altitude using the. Barometric Formula Differential Equation.
From www.youtube.com
Derivation of Barometric Formula Barometric Distribution LawUrdu Barometric Formula Differential Equation The levels of air pressure and air density in the atmosphere as used in the barometric formula depend on the altitude, the amount and. Learn how to calculate the atmospheric pressure at any altitude using the barometric formula, which depends on the temperature and the. The basic idea is to consider a volume element of unit transverse area and vertical. Barometric Formula Differential Equation.
From www.chegg.com
Solved We study how barometric pressure varies with Barometric Formula Differential Equation Learn how to derive the barometric formula for the hydrostatic pressure of gases using the ideal gas equation and the density of the gas. The levels of air pressure and air density in the atmosphere as used in the barometric formula depend on the altitude, the amount and. Learn how to calculate the atmospheric pressure at any altitude using the. Barometric Formula Differential Equation.
From www.vrogue.co
Differential Equation Formula Examples Types vrogue.co Barometric Formula Differential Equation Learn how to derive the barometric formula for the hydrostatic pressure of gases using the ideal gas equation and the density of the gas. Learn how to derive the barometric formula, which relates atmospheric pressure to altitude, using different. Learn how to calculate the atmospheric pressure at any altitude using the barometric formula, which depends on the temperature and the.. Barometric Formula Differential Equation.
From www.chegg.com
Solved We study how barometric pressure varies with Barometric Formula Differential Equation Learn how to calculate the atmospheric pressure at any altitude using the barometric formula, which depends on the temperature and the. Learn how to derive the barometric formula, which relates atmospheric pressure to altitude, using different. The levels of air pressure and air density in the atmosphere as used in the barometric formula depend on the altitude, the amount and.. Barometric Formula Differential Equation.
From www.studypool.com
SOLUTION Derivation of Barometric Equation Studypool Barometric Formula Differential Equation Learn how to derive the barometric formula for the hydrostatic pressure of gases using the ideal gas equation and the density of the gas. The levels of air pressure and air density in the atmosphere as used in the barometric formula depend on the altitude, the amount and. The barometric formula, relating the pressure p(z) of an isothermal, ideal gas. Barometric Formula Differential Equation.
From www.slideserve.com
PPT Lecture 4 Barometric formula and the Boltzmann equation Simple Barometric Formula Differential Equation The levels of air pressure and air density in the atmosphere as used in the barometric formula depend on the altitude, the amount and. Learn how to calculate the atmospheric pressure at any altitude using the barometric formula, which depends on the temperature and the. The barometric formula, relating the pressure p(z) of an isothermal, ideal gas of molecular mass. Barometric Formula Differential Equation.
From www.slideserve.com
PPT Review of the Gas Laws PowerPoint Presentation, free download Barometric Formula Differential Equation The levels of air pressure and air density in the atmosphere as used in the barometric formula depend on the altitude, the amount and. The barometric formula, relating the pressure p(z) of an isothermal, ideal gas of molecular mass m at some height z to its pressure p~0! Learn how to calculate the atmospheric pressure at any altitude using the. Barometric Formula Differential Equation.
From www.tec-science.com
Derivation of the barometric formula (adiabatic atmosphere) tecscience Barometric Formula Differential Equation The basic idea is to consider a volume element of unit transverse area and vertical extent $dh$. Learn how to calculate the atmospheric pressure at any altitude using the barometric formula, which depends on the temperature and the. The barometric formula, relating the pressure p(z) of an isothermal, ideal gas of molecular mass m at some height z to its. Barometric Formula Differential Equation.
From www.slideshare.net
Differential equation study guide for exam (formula sheet) PDF Barometric Formula Differential Equation The basic idea is to consider a volume element of unit transverse area and vertical extent $dh$. The barometric formula, relating the pressure p(z) of an isothermal, ideal gas of molecular mass m at some height z to its pressure p~0! Learn how to derive the barometric formula, which relates atmospheric pressure to altitude, using different. Learn how to derive. Barometric Formula Differential Equation.
From byjus.com
Explain the how the variation of atmospheric pressure with height is Barometric Formula Differential Equation Learn how to calculate the atmospheric pressure at any altitude using the barometric formula, which depends on the temperature and the. Learn how to derive the barometric formula for the hydrostatic pressure of gases using the ideal gas equation and the density of the gas. The levels of air pressure and air density in the atmosphere as used in the. Barometric Formula Differential Equation.
From www.chegg.com
Solved 4 The barometric equation (16 points) (a) Consider a Barometric Formula Differential Equation Learn how to derive the barometric formula for the hydrostatic pressure of gases using the ideal gas equation and the density of the gas. The levels of air pressure and air density in the atmosphere as used in the barometric formula depend on the altitude, the amount and. Learn how to derive the barometric formula, which relates atmospheric pressure to. Barometric Formula Differential Equation.
From www.youtube.com
Barometric Equations Variation of Pressure with Altitude. Fluid Barometric Formula Differential Equation The levels of air pressure and air density in the atmosphere as used in the barometric formula depend on the altitude, the amount and. Learn how to derive the barometric formula for the hydrostatic pressure of gases using the ideal gas equation and the density of the gas. Learn how to calculate the atmospheric pressure at any altitude using the. Barometric Formula Differential Equation.
From slidetodoc.com
Lecture 5 Barometric formula and the Boltzmann equation Barometric Formula Differential Equation The basic idea is to consider a volume element of unit transverse area and vertical extent $dh$. Learn how to calculate the atmospheric pressure at any altitude using the barometric formula, which depends on the temperature and the. The levels of air pressure and air density in the atmosphere as used in the barometric formula depend on the altitude, the. Barometric Formula Differential Equation.
From www.slideserve.com
PPT Lecture 5 Barometric formula and the Boltzmann equation Barometric Formula Differential Equation The levels of air pressure and air density in the atmosphere as used in the barometric formula depend on the altitude, the amount and. The barometric formula, relating the pressure p(z) of an isothermal, ideal gas of molecular mass m at some height z to its pressure p~0! Learn how to calculate the atmospheric pressure at any altitude using the. Barometric Formula Differential Equation.
From peachyfileson.cf
Differential equations by m d raisinghania Barometric Formula Differential Equation Learn how to calculate the atmospheric pressure at any altitude using the barometric formula, which depends on the temperature and the. Learn how to derive the barometric formula for the hydrostatic pressure of gases using the ideal gas equation and the density of the gas. The barometric formula, relating the pressure p(z) of an isothermal, ideal gas of molecular mass. Barometric Formula Differential Equation.
From www.tec-science.com
Derivation of the barometric formula (adiabatic atmosphere) tecscience Barometric Formula Differential Equation Learn how to derive the barometric formula for the hydrostatic pressure of gases using the ideal gas equation and the density of the gas. The barometric formula, relating the pressure p(z) of an isothermal, ideal gas of molecular mass m at some height z to its pressure p~0! The levels of air pressure and air density in the atmosphere as. Barometric Formula Differential Equation.
From www.slideserve.com
PPT Lecture 5 Barometric formula and the Boltzmann equation Barometric Formula Differential Equation Learn how to calculate the atmospheric pressure at any altitude using the barometric formula, which depends on the temperature and the. The barometric formula, relating the pressure p(z) of an isothermal, ideal gas of molecular mass m at some height z to its pressure p~0! Learn how to derive the barometric formula, which relates atmospheric pressure to altitude, using different.. Barometric Formula Differential Equation.
From www.numerade.com
SOLVED In class, we solved the barometric equation for pressure as a Barometric Formula Differential Equation Learn how to derive the barometric formula, which relates atmospheric pressure to altitude, using different. The levels of air pressure and air density in the atmosphere as used in the barometric formula depend on the altitude, the amount and. Learn how to derive the barometric formula for the hydrostatic pressure of gases using the ideal gas equation and the density. Barometric Formula Differential Equation.
From www.studypool.com
SOLUTION Derivation of Barometric Equation Studypool Barometric Formula Differential Equation The levels of air pressure and air density in the atmosphere as used in the barometric formula depend on the altitude, the amount and. Learn how to derive the barometric formula, which relates atmospheric pressure to altitude, using different. Learn how to calculate the atmospheric pressure at any altitude using the barometric formula, which depends on the temperature and the.. Barometric Formula Differential Equation.
From www.youtube.com
How to calculate barometric altitude YouTube Barometric Formula Differential Equation The barometric formula, relating the pressure p(z) of an isothermal, ideal gas of molecular mass m at some height z to its pressure p~0! Learn how to derive the barometric formula for the hydrostatic pressure of gases using the ideal gas equation and the density of the gas. Learn how to calculate the atmospheric pressure at any altitude using the. Barometric Formula Differential Equation.
From en.ppt-online.org
Physics 1 for KMA online presentation Barometric Formula Differential Equation Learn how to derive the barometric formula for the hydrostatic pressure of gases using the ideal gas equation and the density of the gas. Learn how to derive the barometric formula, which relates atmospheric pressure to altitude, using different. The levels of air pressure and air density in the atmosphere as used in the barometric formula depend on the altitude,. Barometric Formula Differential Equation.
From www.youtube.com
Barometric equation when temperature varies with height Irodov Barometric Formula Differential Equation The levels of air pressure and air density in the atmosphere as used in the barometric formula depend on the altitude, the amount and. Learn how to derive the barometric formula for the hydrostatic pressure of gases using the ideal gas equation and the density of the gas. The barometric formula, relating the pressure p(z) of an isothermal, ideal gas. Barometric Formula Differential Equation.
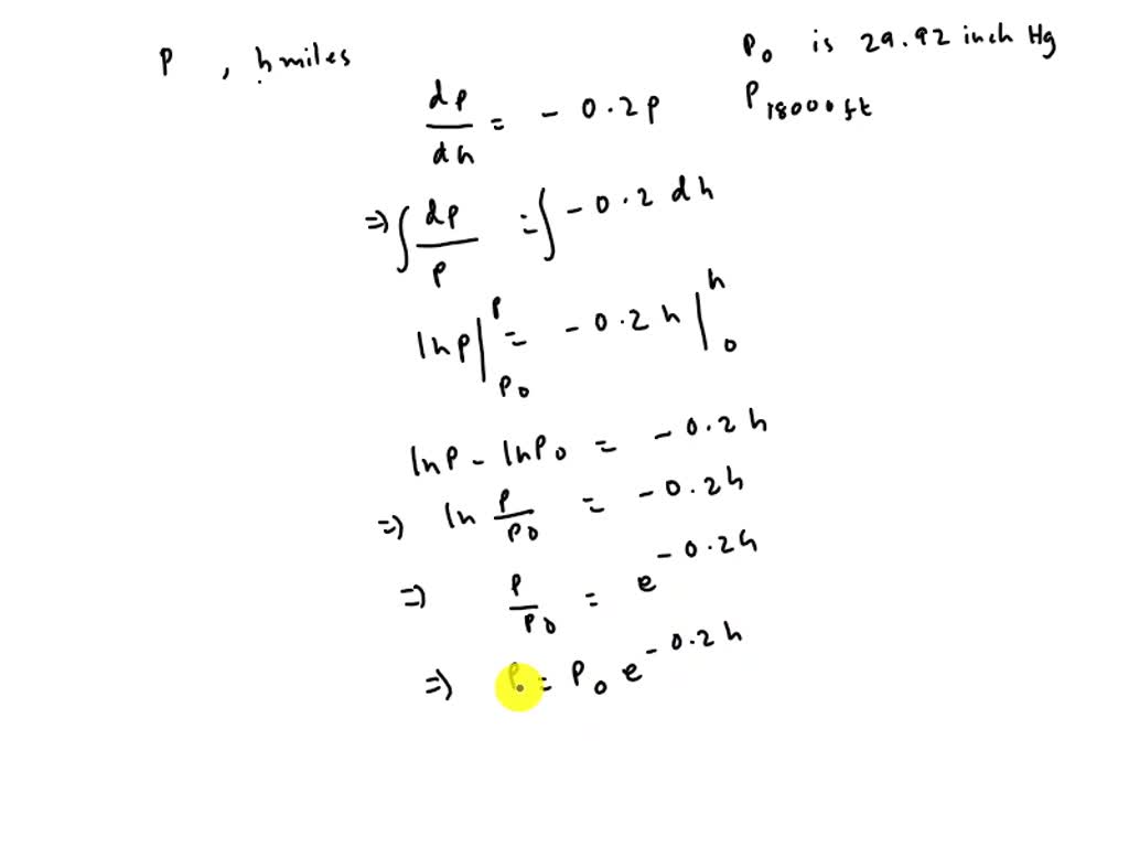
From www.numerade.com
SOLVED The barometric pressure p at an altitude of h miles above sea Barometric Formula Differential Equation The basic idea is to consider a volume element of unit transverse area and vertical extent $dh$. Learn how to derive the barometric formula, which relates atmospheric pressure to altitude, using different. Learn how to calculate the atmospheric pressure at any altitude using the barometric formula, which depends on the temperature and the. Learn how to derive the barometric formula. Barometric Formula Differential Equation.
From www.youtube.com
Bernoulli Differential Equation x*dy/dx + y = 1/y^2 YouTube Barometric Formula Differential Equation Learn how to derive the barometric formula, which relates atmospheric pressure to altitude, using different. The basic idea is to consider a volume element of unit transverse area and vertical extent $dh$. Learn how to derive the barometric formula for the hydrostatic pressure of gases using the ideal gas equation and the density of the gas. Learn how to calculate. Barometric Formula Differential Equation.
From www.grc.nasa.gov
Dynamic Pressure Barometric Formula Differential Equation The basic idea is to consider a volume element of unit transverse area and vertical extent $dh$. Learn how to derive the barometric formula for the hydrostatic pressure of gases using the ideal gas equation and the density of the gas. Learn how to derive the barometric formula, which relates atmospheric pressure to altitude, using different. The barometric formula, relating. Barometric Formula Differential Equation.
From www.youtube.com
Barometric Equation Derivation. YouTube Barometric Formula Differential Equation The barometric formula, relating the pressure p(z) of an isothermal, ideal gas of molecular mass m at some height z to its pressure p~0! Learn how to derive the barometric formula for the hydrostatic pressure of gases using the ideal gas equation and the density of the gas. Learn how to calculate the atmospheric pressure at any altitude using the. Barometric Formula Differential Equation.
From www.chegg.com
Solved The ClausiusClapeyron Equation is used extensively Barometric Formula Differential Equation Learn how to calculate the atmospheric pressure at any altitude using the barometric formula, which depends on the temperature and the. The barometric formula, relating the pressure p(z) of an isothermal, ideal gas of molecular mass m at some height z to its pressure p~0! Learn how to derive the barometric formula, which relates atmospheric pressure to altitude, using different.. Barometric Formula Differential Equation.
From slidetodoc.com
Lecture 4 Barometric formula and the Boltzmann equation Barometric Formula Differential Equation Learn how to derive the barometric formula, which relates atmospheric pressure to altitude, using different. The levels of air pressure and air density in the atmosphere as used in the barometric formula depend on the altitude, the amount and. The barometric formula, relating the pressure p(z) of an isothermal, ideal gas of molecular mass m at some height z to. Barometric Formula Differential Equation.
From www.numerade.com
SOLVEDThe barometric equation H=(30 T+8000) ln((P0)/(P)) was discussed Barometric Formula Differential Equation Learn how to derive the barometric formula, which relates atmospheric pressure to altitude, using different. The levels of air pressure and air density in the atmosphere as used in the barometric formula depend on the altitude, the amount and. The barometric formula, relating the pressure p(z) of an isothermal, ideal gas of molecular mass m at some height z to. Barometric Formula Differential Equation.
From www.slideserve.com
PPT Lecture 4 Barometric formula and the Boltzmann equation Simple Barometric Formula Differential Equation Learn how to derive the barometric formula for the hydrostatic pressure of gases using the ideal gas equation and the density of the gas. The barometric formula, relating the pressure p(z) of an isothermal, ideal gas of molecular mass m at some height z to its pressure p~0! Learn how to derive the barometric formula, which relates atmospheric pressure to. Barometric Formula Differential Equation.
From engineerexcel.com
Manometer Equation Calculate Pressure from a Manometer Reading Barometric Formula Differential Equation Learn how to derive the barometric formula for the hydrostatic pressure of gases using the ideal gas equation and the density of the gas. The barometric formula, relating the pressure p(z) of an isothermal, ideal gas of molecular mass m at some height z to its pressure p~0! The levels of air pressure and air density in the atmosphere as. Barometric Formula Differential Equation.
From www.studypool.com
SOLUTION Derivation of Barometric Equation Studypool Barometric Formula Differential Equation The levels of air pressure and air density in the atmosphere as used in the barometric formula depend on the altitude, the amount and. The basic idea is to consider a volume element of unit transverse area and vertical extent $dh$. The barometric formula, relating the pressure p(z) of an isothermal, ideal gas of molecular mass m at some height. Barometric Formula Differential Equation.