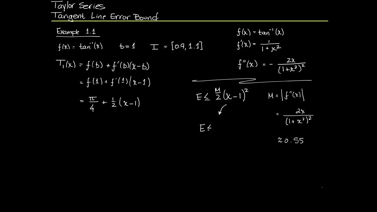
Tangent Line Error Bound . On a given interval [a,b], if | β²β²β²(π₯)| β€ π, then (| π₯)βπ2(π₯)|β€ π 6 |π₯β |3 example:. The values of the function are close to the values of the linear function whose graph is the tangent line. If we know the function value at some point (say f (a )) and the value of the derivative at the same point (f a ) we can use these to find the tangent line, and then use the tangent line to. The quadratic error bound theorem (taylorβs inequality) states: On a given interval [a,b], if |πβ²β²β²(π₯)| β€ π, then |π(π₯)βπ2(π₯)|β€ π 6 |π₯βπ|3 example:. For this reason, the linear function whose graph is the tangent line to $y = f(x)$ at a. Find a bound for the error in approximating the function f(x) = tanβ1(x) by the ο¬rst taylor polynomial (tangent line. I have already computed the. The quadratic error bound theorem (taylorβs inequality) states: In order to compute the error bound, follow these steps: Compute the \((n+1)^\text{th}\) derivative of \(f(x).\) step 2:
from www.youtube.com
The values of the function are close to the values of the linear function whose graph is the tangent line. In order to compute the error bound, follow these steps: Find a bound for the error in approximating the function f(x) = tanβ1(x) by the ο¬rst taylor polynomial (tangent line. On a given interval [a,b], if | β²β²β²(π₯)| β€ π, then (| π₯)βπ2(π₯)|β€ π 6 |π₯β |3 example:. The quadratic error bound theorem (taylorβs inequality) states: I have already computed the. If we know the function value at some point (say f (a )) and the value of the derivative at the same point (f a ) we can use these to find the tangent line, and then use the tangent line to. The quadratic error bound theorem (taylorβs inequality) states: On a given interval [a,b], if |πβ²β²β²(π₯)| β€ π, then |π(π₯)βπ2(π₯)|β€ π 6 |π₯βπ|3 example:. For this reason, the linear function whose graph is the tangent line to $y = f(x)$ at a.
Tangent Line and Chain Rule Finding Equation of Tangent line and Horizontal tangent line
Tangent Line Error Bound The values of the function are close to the values of the linear function whose graph is the tangent line. The quadratic error bound theorem (taylorβs inequality) states: Compute the \((n+1)^\text{th}\) derivative of \(f(x).\) step 2: I have already computed the. On a given interval [a,b], if | β²β²β²(π₯)| β€ π, then (| π₯)βπ2(π₯)|β€ π 6 |π₯β |3 example:. The quadratic error bound theorem (taylorβs inequality) states: If we know the function value at some point (say f (a )) and the value of the derivative at the same point (f a ) we can use these to find the tangent line, and then use the tangent line to. For this reason, the linear function whose graph is the tangent line to $y = f(x)$ at a. Find a bound for the error in approximating the function f(x) = tanβ1(x) by the ο¬rst taylor polynomial (tangent line. On a given interval [a,b], if |πβ²β²β²(π₯)| β€ π, then |π(π₯)βπ2(π₯)|β€ π 6 |π₯βπ|3 example:. The values of the function are close to the values of the linear function whose graph is the tangent line. In order to compute the error bound, follow these steps:
From www.numerade.com
SOLVEDFind an equation of the tangent line shown in red in FIGURE 3.1.6. What is f^'(3) ? What Tangent Line Error Bound If we know the function value at some point (say f (a )) and the value of the derivative at the same point (f a ) we can use these to find the tangent line, and then use the tangent line to. The values of the function are close to the values of the linear function whose graph is the. Tangent Line Error Bound.
From www.slideserve.com
PPT Tangent Line Problems PowerPoint Presentation, free download ID1857224 Tangent Line Error Bound The quadratic error bound theorem (taylorβs inequality) states: The values of the function are close to the values of the linear function whose graph is the tangent line. On a given interval [a,b], if |πβ²β²β²(π₯)| β€ π, then |π(π₯)βπ2(π₯)|β€ π 6 |π₯βπ|3 example:. I have already computed the. In order to compute the error bound, follow these steps: For this. Tangent Line Error Bound.
From www.youtube.com
Equation of the Tangent Line with Implicit Differentiation arctan(x + y) = y^2 + pi/4 at (1,0 Tangent Line Error Bound The values of the function are close to the values of the linear function whose graph is the tangent line. The quadratic error bound theorem (taylorβs inequality) states: On a given interval [a,b], if |πβ²β²β²(π₯)| β€ π, then |π(π₯)βπ2(π₯)|β€ π 6 |π₯βπ|3 example:. The quadratic error bound theorem (taylorβs inequality) states: Find a bound for the error in approximating the. Tangent Line Error Bound.
From www.numerade.com
SOLVED Find the Taylor polynomial T(x) for the function f(x) = cos(x) based at b. Ti(x) Let b Tangent Line Error Bound For this reason, the linear function whose graph is the tangent line to $y = f(x)$ at a. On a given interval [a,b], if |πβ²β²β²(π₯)| β€ π, then |π(π₯)βπ2(π₯)|β€ π 6 |π₯βπ|3 example:. The values of the function are close to the values of the linear function whose graph is the tangent line. The quadratic error bound theorem (taylorβs inequality). Tangent Line Error Bound.
From www.numerade.com
SOLVEDFind an equation for the tangent line to the curve at the given point. Then sketch the Tangent Line Error Bound For this reason, the linear function whose graph is the tangent line to $y = f(x)$ at a. Find a bound for the error in approximating the function f(x) = tanβ1(x) by the ο¬rst taylor polynomial (tangent line. On a given interval [a,b], if | β²β²β²(π₯)| β€ π, then (| π₯)βπ2(π₯)|β€ π 6 |π₯β |3 example:. The quadratic error bound. Tangent Line Error Bound.
From www.slideserve.com
PPT Ch 8.1 Numerical Methods The Euler or Tangent Line Method PowerPoint Presentation ID324002 Tangent Line Error Bound On a given interval [a,b], if | β²β²β²(π₯)| β€ π, then (| π₯)βπ2(π₯)|β€ π 6 |π₯β |3 example:. Compute the \((n+1)^\text{th}\) derivative of \(f(x).\) step 2: On a given interval [a,b], if |πβ²β²β²(π₯)| β€ π, then |π(π₯)βπ2(π₯)|β€ π 6 |π₯βπ|3 example:. In order to compute the error bound, follow these steps: Find a bound for the error in approximating the. Tangent Line Error Bound.
From www.coursehero.com
[Solved] Q1. Write down the linear (tangent line) approximation to y = Course Hero Tangent Line Error Bound The quadratic error bound theorem (taylorβs inequality) states: Find a bound for the error in approximating the function f(x) = tanβ1(x) by the ο¬rst taylor polynomial (tangent line. The values of the function are close to the values of the linear function whose graph is the tangent line. For this reason, the linear function whose graph is the tangent line. Tangent Line Error Bound.
From www.numerade.com
SOLVEDFind equations for the tangent line and normal line to the circle at the given points Tangent Line Error Bound The values of the function are close to the values of the linear function whose graph is the tangent line. On a given interval [a,b], if | β²β²β²(π₯)| β€ π, then (| π₯)βπ2(π₯)|β€ π 6 |π₯β |3 example:. The quadratic error bound theorem (taylorβs inequality) states: In order to compute the error bound, follow these steps: If we know the. Tangent Line Error Bound.
From www.numerade.com
SOLVEDFind an equation of the tangent line to the graph of the function at the given point Tangent Line Error Bound In order to compute the error bound, follow these steps: The values of the function are close to the values of the linear function whose graph is the tangent line. I have already computed the. On a given interval [a,b], if |πβ²β²β²(π₯)| β€ π, then |π(π₯)βπ2(π₯)|β€ π 6 |π₯βπ|3 example:. For this reason, the linear function whose graph is the. Tangent Line Error Bound.
From www.numerade.com
SOLVED Find the first Taylor polynomial T(x) for f(x) = e^x based at b=0 Use the Tangent Line Tangent Line Error Bound I have already computed the. The quadratic error bound theorem (taylorβs inequality) states: If we know the function value at some point (say f (a )) and the value of the derivative at the same point (f a ) we can use these to find the tangent line, and then use the tangent line to. The values of the function. Tangent Line Error Bound.
From www.researchgate.net
The inverse tangent function and its bounds from Theorem II.1 are... Download Scientific Diagram Tangent Line Error Bound Find a bound for the error in approximating the function f(x) = tanβ1(x) by the ο¬rst taylor polynomial (tangent line. The values of the function are close to the values of the linear function whose graph is the tangent line. The quadratic error bound theorem (taylorβs inequality) states: The quadratic error bound theorem (taylorβs inequality) states: In order to compute. Tangent Line Error Bound.
From hardimancerezas.blogspot.com
How To Find Slope Of Tangent Line Calculator Tangent Line Error Bound Compute the \((n+1)^\text{th}\) derivative of \(f(x).\) step 2: On a given interval [a,b], if |πβ²β²β²(π₯)| β€ π, then |π(π₯)βπ2(π₯)|β€ π 6 |π₯βπ|3 example:. If we know the function value at some point (say f (a )) and the value of the derivative at the same point (f a ) we can use these to find the tangent line, and then. Tangent Line Error Bound.
From www.researchgate.net
The relative errors of the bounds for the inverse tangent function are... Download Scientific Tangent Line Error Bound The quadratic error bound theorem (taylorβs inequality) states: In order to compute the error bound, follow these steps: I have already computed the. Compute the \((n+1)^\text{th}\) derivative of \(f(x).\) step 2: For this reason, the linear function whose graph is the tangent line to $y = f(x)$ at a. Find a bound for the error in approximating the function f(x). Tangent Line Error Bound.
From mathsathome.com
How to Find the Equation of a Tangent Line Tangent Line Error Bound Find a bound for the error in approximating the function f(x) = tanβ1(x) by the ο¬rst taylor polynomial (tangent line. The quadratic error bound theorem (taylorβs inequality) states: I have already computed the. On a given interval [a,b], if |πβ²β²β²(π₯)| β€ π, then |π(π₯)βπ2(π₯)|β€ π 6 |π₯βπ|3 example:. On a given interval [a,b], if | β²β²β²(π₯)| β€ π, then (|. Tangent Line Error Bound.
From www.youtube.com
Tangent Line and Chain Rule Finding Equation of Tangent line and Horizontal tangent line Tangent Line Error Bound I have already computed the. On a given interval [a,b], if | β²β²β²(π₯)| β€ π, then (| π₯)βπ2(π₯)|β€ π 6 |π₯β |3 example:. The quadratic error bound theorem (taylorβs inequality) states: The quadratic error bound theorem (taylorβs inequality) states: In order to compute the error bound, follow these steps: If we know the function value at some point (say f. Tangent Line Error Bound.
From www.slideserve.com
PPT Ch 8.1 Numerical Methods The Euler or Tangent Line Method PowerPoint Presentation ID324002 Tangent Line Error Bound On a given interval [a,b], if |πβ²β²β²(π₯)| β€ π, then |π(π₯)βπ2(π₯)|β€ π 6 |π₯βπ|3 example:. Compute the \((n+1)^\text{th}\) derivative of \(f(x).\) step 2: If we know the function value at some point (say f (a )) and the value of the derivative at the same point (f a ) we can use these to find the tangent line, and then. Tangent Line Error Bound.
From www.chegg.com
Solved Find a formula for the error E(x) in the tangent line Tangent Line Error Bound On a given interval [a,b], if |πβ²β²β²(π₯)| β€ π, then |π(π₯)βπ2(π₯)|β€ π 6 |π₯βπ|3 example:. The quadratic error bound theorem (taylorβs inequality) states: For this reason, the linear function whose graph is the tangent line to $y = f(x)$ at a. I have already computed the. In order to compute the error bound, follow these steps: The quadratic error bound. Tangent Line Error Bound.
From www.youtube.com
Math 1A 2.6 Example of Finding a Tangent Line on a Curve YouTube Tangent Line Error Bound I have already computed the. The quadratic error bound theorem (taylorβs inequality) states: In order to compute the error bound, follow these steps: On a given interval [a,b], if |πβ²β²β²(π₯)| β€ π, then |π(π₯)βπ2(π₯)|β€ π 6 |π₯βπ|3 example:. The quadratic error bound theorem (taylorβs inequality) states: For this reason, the linear function whose graph is the tangent line to $y. Tangent Line Error Bound.
From www.youtube.com
Taylor Series Tangent Line Error Bound (2 of 2) YouTube Tangent Line Error Bound For this reason, the linear function whose graph is the tangent line to $y = f(x)$ at a. The quadratic error bound theorem (taylorβs inequality) states: The values of the function are close to the values of the linear function whose graph is the tangent line. Compute the \((n+1)^\text{th}\) derivative of \(f(x).\) step 2: The quadratic error bound theorem (taylorβs. Tangent Line Error Bound.
From studylib.net
Finding the Equation of a Tangent Line Tangent Line Error Bound If we know the function value at some point (say f (a )) and the value of the derivative at the same point (f a ) we can use these to find the tangent line, and then use the tangent line to. The values of the function are close to the values of the linear function whose graph is the. Tangent Line Error Bound.
From www.chegg.com
Solved Find the first Taylor polynomial T_(x) for f(x)=e^x Tangent Line Error Bound The quadratic error bound theorem (taylorβs inequality) states: For this reason, the linear function whose graph is the tangent line to $y = f(x)$ at a. On a given interval [a,b], if |πβ²β²β²(π₯)| β€ π, then |π(π₯)βπ2(π₯)|β€ π 6 |π₯βπ|3 example:. In order to compute the error bound, follow these steps: Find a bound for the error in approximating the. Tangent Line Error Bound.
From www.youtube.com
HOW TO Find the EQUATION OF A TANGENT LINE at a given point Jake's Math Lessons YouTube Tangent Line Error Bound On a given interval [a,b], if | β²β²β²(π₯)| β€ π, then (| π₯)βπ2(π₯)|β€ π 6 |π₯β |3 example:. If we know the function value at some point (say f (a )) and the value of the derivative at the same point (f a ) we can use these to find the tangent line, and then use the tangent line to.. Tangent Line Error Bound.
From www.slideserve.com
PPT Ch 8.1 Numerical Methods The Euler or Tangent Line Method PowerPoint Presentation ID324002 Tangent Line Error Bound If we know the function value at some point (say f (a )) and the value of the derivative at the same point (f a ) we can use these to find the tangent line, and then use the tangent line to. The quadratic error bound theorem (taylorβs inequality) states: The quadratic error bound theorem (taylorβs inequality) states: On a. Tangent Line Error Bound.
From www.youtube.com
The Tangent Line Problem YouTube Tangent Line Error Bound The quadratic error bound theorem (taylorβs inequality) states: On a given interval [a,b], if |πβ²β²β²(π₯)| β€ π, then |π(π₯)βπ2(π₯)|β€ π 6 |π₯βπ|3 example:. In order to compute the error bound, follow these steps: The values of the function are close to the values of the linear function whose graph is the tangent line. Compute the \((n+1)^\text{th}\) derivative of \(f(x).\) step. Tangent Line Error Bound.
From slideplayer.com
1 Limits and Their Properties ppt download Tangent Line Error Bound On a given interval [a,b], if | β²β²β²(π₯)| β€ π, then (| π₯)βπ2(π₯)|β€ π 6 |π₯β |3 example:. For this reason, the linear function whose graph is the tangent line to $y = f(x)$ at a. If we know the function value at some point (say f (a )) and the value of the derivative at the same point (f. Tangent Line Error Bound.
From www.nagwa.com
Question Video Finding a Bound on the Error When Approximating a Trigonometric Function at a Tangent Line Error Bound On a given interval [a,b], if | β²β²β²(π₯)| β€ π, then (| π₯)βπ2(π₯)|β€ π 6 |π₯β |3 example:. I have already computed the. On a given interval [a,b], if |πβ²β²β²(π₯)| β€ π, then |π(π₯)βπ2(π₯)|β€ π 6 |π₯βπ|3 example:. In order to compute the error bound, follow these steps: If we know the function value at some point (say f (a. Tangent Line Error Bound.
From www.researchgate.net
The inverse tangent function and its bounds from Theorem II.1 are... Download Scientific Diagram Tangent Line Error Bound I have already computed the. For this reason, the linear function whose graph is the tangent line to $y = f(x)$ at a. Find a bound for the error in approximating the function f(x) = tanβ1(x) by the ο¬rst taylor polynomial (tangent line. On a given interval [a,b], if |πβ²β²β²(π₯)| β€ π, then |π(π₯)βπ2(π₯)|β€ π 6 |π₯βπ|3 example:. If we. Tangent Line Error Bound.
From sumantmath.wordpress.com
Finding equation of tangent line to an implicit function Sumant's 1 page of Math Tangent Line Error Bound The quadratic error bound theorem (taylorβs inequality) states: If we know the function value at some point (say f (a )) and the value of the derivative at the same point (f a ) we can use these to find the tangent line, and then use the tangent line to. In order to compute the error bound, follow these steps:. Tangent Line Error Bound.
From www.storyofmathematics.com
Tangent Line Definition & Meaning Tangent Line Error Bound In order to compute the error bound, follow these steps: I have already computed the. The values of the function are close to the values of the linear function whose graph is the tangent line. If we know the function value at some point (say f (a )) and the value of the derivative at the same point (f a. Tangent Line Error Bound.
From calcworkshop.com
What is Lagrange Error Bound? (Explained w/ 9 Examples!) Tangent Line Error Bound If we know the function value at some point (say f (a )) and the value of the derivative at the same point (f a ) we can use these to find the tangent line, and then use the tangent line to. Find a bound for the error in approximating the function f(x) = tanβ1(x) by the ο¬rst taylor polynomial. Tangent Line Error Bound.
From www.lessonplanet.com
Center of Mass, Tangent Line Error Bound Worksheet for 10th 12th Grade Lesson Tangent Line Error Bound On a given interval [a,b], if | β²β²β²(π₯)| β€ π, then (| π₯)βπ2(π₯)|β€ π 6 |π₯β |3 example:. If we know the function value at some point (say f (a )) and the value of the derivative at the same point (f a ) we can use these to find the tangent line, and then use the tangent line to.. Tangent Line Error Bound.
From www.slideserve.com
PPT Derivatives of Inverse Trigonometric Functions PowerPoint Presentation ID8841976 Tangent Line Error Bound In order to compute the error bound, follow these steps: On a given interval [a,b], if |πβ²β²β²(π₯)| β€ π, then |π(π₯)βπ2(π₯)|β€ π 6 |π₯βπ|3 example:. On a given interval [a,b], if | β²β²β²(π₯)| β€ π, then (| π₯)βπ2(π₯)|β€ π 6 |π₯β |3 example:. The values of the function are close to the values of the linear function whose graph is. Tangent Line Error Bound.
From www.wikihow.com
How to Find the Equation of a Tangent Line 8 Steps Tangent Line Error Bound If we know the function value at some point (say f (a )) and the value of the derivative at the same point (f a ) we can use these to find the tangent line, and then use the tangent line to. The quadratic error bound theorem (taylorβs inequality) states: On a given interval [a,b], if |πβ²β²β²(π₯)| β€ π, then. Tangent Line Error Bound.
From www.supsalv.org
How to Find Equation of Tangent Line A StepbyStep Guide The Cognition Sentinel Tangent Line Error Bound Find a bound for the error in approximating the function f(x) = tanβ1(x) by the ο¬rst taylor polynomial (tangent line. The quadratic error bound theorem (taylorβs inequality) states: For this reason, the linear function whose graph is the tangent line to $y = f(x)$ at a. If we know the function value at some point (say f (a )) and. Tangent Line Error Bound.
From www.chegg.com
Solved Find the Taylor polynomial T1(x) for the function Tangent Line Error Bound The quadratic error bound theorem (taylorβs inequality) states: I have already computed the. The quadratic error bound theorem (taylorβs inequality) states: If we know the function value at some point (say f (a )) and the value of the derivative at the same point (f a ) we can use these to find the tangent line, and then use the. Tangent Line Error Bound.