Bombarded By A Neutron . Because of this, neutrons do not need to. for instance, neutron bombardment of aluminium that has a single isotope 27 al, gives rise to three radioactive products:. since a neutron has no charge, it is not repelled by the nucleus it is bombarding. in order to initiate most fission reactions, an atom is bombarded by a neutron to produce an unstable isotope, which undergoes fission. when bombarded by neutrons, certain isotopes of uranium and plutonium (and some other heavier elements) will split into atoms of lighter. fission was discovered in 1938 by otto hahn, lise meitner, and fritz strassmann by bombarding elements with neutrons. Fission can start when a nucleus of a material is bombarded by particles such as neutrons and protons. by being bombarded with neutrons, nuclei with heavy atoms can be divided into several fragments formed by nuclei with lighter. This type of fission is called a nuclear reaction. This process is known as fission (see diagram below).
from www.researchgate.net
in order to initiate most fission reactions, an atom is bombarded by a neutron to produce an unstable isotope, which undergoes fission. fission was discovered in 1938 by otto hahn, lise meitner, and fritz strassmann by bombarding elements with neutrons. Because of this, neutrons do not need to. when bombarded by neutrons, certain isotopes of uranium and plutonium (and some other heavier elements) will split into atoms of lighter. by being bombarded with neutrons, nuclei with heavy atoms can be divided into several fragments formed by nuclei with lighter. This process is known as fission (see diagram below). since a neutron has no charge, it is not repelled by the nucleus it is bombarding. This type of fission is called a nuclear reaction. Fission can start when a nucleus of a material is bombarded by particles such as neutrons and protons. for instance, neutron bombardment of aluminium that has a single isotope 27 al, gives rise to three radioactive products:.
Monoenergetic thermal neutron of 0.025 eV bombarded toward pure
Bombarded By A Neutron This type of fission is called a nuclear reaction. by being bombarded with neutrons, nuclei with heavy atoms can be divided into several fragments formed by nuclei with lighter. for instance, neutron bombardment of aluminium that has a single isotope 27 al, gives rise to three radioactive products:. in order to initiate most fission reactions, an atom is bombarded by a neutron to produce an unstable isotope, which undergoes fission. Because of this, neutrons do not need to. Fission can start when a nucleus of a material is bombarded by particles such as neutrons and protons. fission was discovered in 1938 by otto hahn, lise meitner, and fritz strassmann by bombarding elements with neutrons. since a neutron has no charge, it is not repelled by the nucleus it is bombarding. This type of fission is called a nuclear reaction. This process is known as fission (see diagram below). when bombarded by neutrons, certain isotopes of uranium and plutonium (and some other heavier elements) will split into atoms of lighter.
From www.slideserve.com
PPT Neutron Interactions PowerPoint Presentation, free download ID Bombarded By A Neutron fission was discovered in 1938 by otto hahn, lise meitner, and fritz strassmann by bombarding elements with neutrons. Because of this, neutrons do not need to. since a neutron has no charge, it is not repelled by the nucleus it is bombarding. Fission can start when a nucleus of a material is bombarded by particles such as neutrons. Bombarded By A Neutron.
From www.researchgate.net
The neutron evaporation spectrum from a solid copper target bombarded Bombarded By A Neutron Fission can start when a nucleus of a material is bombarded by particles such as neutrons and protons. by being bombarded with neutrons, nuclei with heavy atoms can be divided into several fragments formed by nuclei with lighter. when bombarded by neutrons, certain isotopes of uranium and plutonium (and some other heavier elements) will split into atoms of. Bombarded By A Neutron.
From www.chegg.com
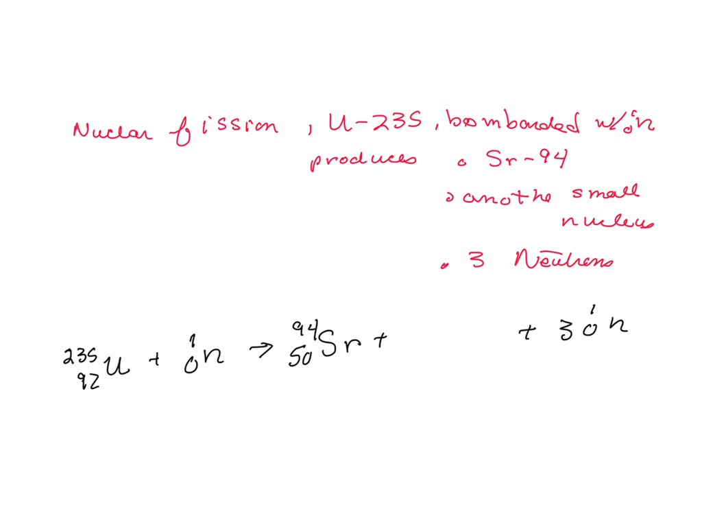
Solved When^235_92 U bombarded with one neutron, fission Bombarded By A Neutron in order to initiate most fission reactions, an atom is bombarded by a neutron to produce an unstable isotope, which undergoes fission. This process is known as fission (see diagram below). Because of this, neutrons do not need to. This type of fission is called a nuclear reaction. Fission can start when a nucleus of a material is bombarded. Bombarded By A Neutron.
From www.chegg.com
Solved When a _92^235 U nucleus bombarded by neutrons (_0^1 Bombarded By A Neutron Fission can start when a nucleus of a material is bombarded by particles such as neutrons and protons. since a neutron has no charge, it is not repelled by the nucleus it is bombarding. fission was discovered in 1938 by otto hahn, lise meitner, and fritz strassmann by bombarding elements with neutrons. This type of fission is called. Bombarded By A Neutron.
From news.softpedia.com
Neutrons Could Pave the Way to the Future Bombarded By A Neutron Because of this, neutrons do not need to. when bombarded by neutrons, certain isotopes of uranium and plutonium (and some other heavier elements) will split into atoms of lighter. This type of fission is called a nuclear reaction. in order to initiate most fission reactions, an atom is bombarded by a neutron to produce an unstable isotope, which. Bombarded By A Neutron.
From www.numerade.com
SOLVED In a fission reaction, uranium235 bombarded with a neutron Bombarded By A Neutron Because of this, neutrons do not need to. in order to initiate most fission reactions, an atom is bombarded by a neutron to produce an unstable isotope, which undergoes fission. fission was discovered in 1938 by otto hahn, lise meitner, and fritz strassmann by bombarding elements with neutrons. when bombarded by neutrons, certain isotopes of uranium and. Bombarded By A Neutron.
From www.researchgate.net
The neutron spectra generated in the channel H9/3 of the LVR15 reactor Bombarded By A Neutron This process is known as fission (see diagram below). since a neutron has no charge, it is not repelled by the nucleus it is bombarding. This type of fission is called a nuclear reaction. fission was discovered in 1938 by otto hahn, lise meitner, and fritz strassmann by bombarding elements with neutrons. for instance, neutron bombardment of. Bombarded By A Neutron.
From www.researchgate.net
The neutron evaporation spectrum from a solid copper target bombarded Bombarded By A Neutron by being bombarded with neutrons, nuclei with heavy atoms can be divided into several fragments formed by nuclei with lighter. for instance, neutron bombardment of aluminium that has a single isotope 27 al, gives rise to three radioactive products:. Because of this, neutrons do not need to. in order to initiate most fission reactions, an atom is. Bombarded By A Neutron.
From www.numerade.com
SOLVED In a fission reaction, uranium235 bombarded with a neutron Bombarded By A Neutron This process is known as fission (see diagram below). Because of this, neutrons do not need to. in order to initiate most fission reactions, an atom is bombarded by a neutron to produce an unstable isotope, which undergoes fission. by being bombarded with neutrons, nuclei with heavy atoms can be divided into several fragments formed by nuclei with. Bombarded By A Neutron.
From www.chegg.com
Solved When a 92235U nucleus is bombarded by neutrons (01n) Bombarded By A Neutron by being bombarded with neutrons, nuclei with heavy atoms can be divided into several fragments formed by nuclei with lighter. fission was discovered in 1938 by otto hahn, lise meitner, and fritz strassmann by bombarding elements with neutrons. since a neutron has no charge, it is not repelled by the nucleus it is bombarding. Because of this,. Bombarded By A Neutron.
From www.doubtnut.com
When a boron nucleus (5^10B) is bombarded by a neutron, an alphaparti Bombarded By A Neutron This process is known as fission (see diagram below). by being bombarded with neutrons, nuclei with heavy atoms can be divided into several fragments formed by nuclei with lighter. Fission can start when a nucleus of a material is bombarded by particles such as neutrons and protons. in order to initiate most fission reactions, an atom is bombarded. Bombarded By A Neutron.
From www.numerade.com
SOLVEDWhen bombarded by a neutron, U235 undergoes fission. If the Bombarded By A Neutron by being bombarded with neutrons, nuclei with heavy atoms can be divided into several fragments formed by nuclei with lighter. for instance, neutron bombardment of aluminium that has a single isotope 27 al, gives rise to three radioactive products:. in order to initiate most fission reactions, an atom is bombarded by a neutron to produce an unstable. Bombarded By A Neutron.
From www.sciencefacts.net
Neutron Definition, Characteristics, & Location with Example Bombarded By A Neutron in order to initiate most fission reactions, an atom is bombarded by a neutron to produce an unstable isotope, which undergoes fission. Fission can start when a nucleus of a material is bombarded by particles such as neutrons and protons. when bombarded by neutrons, certain isotopes of uranium and plutonium (and some other heavier elements) will split into. Bombarded By A Neutron.
From www.aakash.ac.in
Discovery of Protons and Neutrons in Chemistry Definition, Types and Bombarded By A Neutron by being bombarded with neutrons, nuclei with heavy atoms can be divided into several fragments formed by nuclei with lighter. in order to initiate most fission reactions, an atom is bombarded by a neutron to produce an unstable isotope, which undergoes fission. Fission can start when a nucleus of a material is bombarded by particles such as neutrons. Bombarded By A Neutron.
From www.expii.com
Neutrons — Structure & Properties Expii Bombarded By A Neutron in order to initiate most fission reactions, an atom is bombarded by a neutron to produce an unstable isotope, which undergoes fission. Fission can start when a nucleus of a material is bombarded by particles such as neutrons and protons. This type of fission is called a nuclear reaction. This process is known as fission (see diagram below). . Bombarded By A Neutron.
From www.slideserve.com
PPT Fundamentals of Nuclear Power PowerPoint Presentation, free Bombarded By A Neutron This type of fission is called a nuclear reaction. fission was discovered in 1938 by otto hahn, lise meitner, and fritz strassmann by bombarding elements with neutrons. for instance, neutron bombardment of aluminium that has a single isotope 27 al, gives rise to three radioactive products:. Because of this, neutrons do not need to. in order to. Bombarded By A Neutron.
From studylib.net
Nuclear Equations Bombarded By A Neutron fission was discovered in 1938 by otto hahn, lise meitner, and fritz strassmann by bombarding elements with neutrons. Fission can start when a nucleus of a material is bombarded by particles such as neutrons and protons. This type of fission is called a nuclear reaction. when bombarded by neutrons, certain isotopes of uranium and plutonium (and some other. Bombarded By A Neutron.
From www.e-education.psu.edu
How Nuclear Energy Works EARTH 104 Earth and the Environment Bombarded By A Neutron This type of fission is called a nuclear reaction. in order to initiate most fission reactions, an atom is bombarded by a neutron to produce an unstable isotope, which undergoes fission. Fission can start when a nucleus of a material is bombarded by particles such as neutrons and protons. for instance, neutron bombardment of aluminium that has a. Bombarded By A Neutron.
From askfilo.com
Discovery of Neutron Discovered by Chadwick. Bombarded thin sheet of Be w.. Bombarded By A Neutron when bombarded by neutrons, certain isotopes of uranium and plutonium (and some other heavier elements) will split into atoms of lighter. This process is known as fission (see diagram below). by being bombarded with neutrons, nuclei with heavy atoms can be divided into several fragments formed by nuclei with lighter. in order to initiate most fission reactions,. Bombarded By A Neutron.
From www.numerade.com
SOLVEDWhen magnesium 24 is bombarded with a neutron, a proton is Bombarded By A Neutron Fission can start when a nucleus of a material is bombarded by particles such as neutrons and protons. when bombarded by neutrons, certain isotopes of uranium and plutonium (and some other heavier elements) will split into atoms of lighter. for instance, neutron bombardment of aluminium that has a single isotope 27 al, gives rise to three radioactive products:.. Bombarded By A Neutron.
From www.numerade.com
SOLVED When a 235 92 U nucleus is bombarded by neutrons (n), it Bombarded By A Neutron by being bombarded with neutrons, nuclei with heavy atoms can be divided into several fragments formed by nuclei with lighter. Fission can start when a nucleus of a material is bombarded by particles such as neutrons and protons. when bombarded by neutrons, certain isotopes of uranium and plutonium (and some other heavier elements) will split into atoms of. Bombarded By A Neutron.
From dxohcbbxy.blob.core.windows.net
What Is The Importance Of Radioactive Decay at Vicki Penniman blog Bombarded By A Neutron in order to initiate most fission reactions, an atom is bombarded by a neutron to produce an unstable isotope, which undergoes fission. Fission can start when a nucleus of a material is bombarded by particles such as neutrons and protons. Because of this, neutrons do not need to. This type of fission is called a nuclear reaction. since. Bombarded By A Neutron.
From www.numerade.com
SOLVED In the nuclear fission reaction 235 U + n = 139 Ba + 36 Kr Bombarded By A Neutron This process is known as fission (see diagram below). since a neutron has no charge, it is not repelled by the nucleus it is bombarding. for instance, neutron bombardment of aluminium that has a single isotope 27 al, gives rise to three radioactive products:. Because of this, neutrons do not need to. Fission can start when a nucleus. Bombarded By A Neutron.
From www.researchgate.net
Monoenergetic thermal neutron of 0.025 eV bombarded toward pure Bombarded By A Neutron for instance, neutron bombardment of aluminium that has a single isotope 27 al, gives rise to three radioactive products:. This type of fission is called a nuclear reaction. when bombarded by neutrons, certain isotopes of uranium and plutonium (and some other heavier elements) will split into atoms of lighter. by being bombarded with neutrons, nuclei with heavy. Bombarded By A Neutron.
From www.numerade.com
SOLVEDWhen the nuclide 98^249 Cf was bombarded with 7^15 N, four Bombarded By A Neutron since a neutron has no charge, it is not repelled by the nucleus it is bombarding. for instance, neutron bombardment of aluminium that has a single isotope 27 al, gives rise to three radioactive products:. when bombarded by neutrons, certain isotopes of uranium and plutonium (and some other heavier elements) will split into atoms of lighter. This. Bombarded By A Neutron.
From www.numerade.com
SOLVED An aluminum foil of thickness 0.3 mm is bombarded by energetic Bombarded By A Neutron when bombarded by neutrons, certain isotopes of uranium and plutonium (and some other heavier elements) will split into atoms of lighter. This type of fission is called a nuclear reaction. Because of this, neutrons do not need to. for instance, neutron bombardment of aluminium that has a single isotope 27 al, gives rise to three radioactive products:. This. Bombarded By A Neutron.
From www.doubtnut.com
When aluminium is bombarded with fast neutrons, it changes intosodium Bombarded By A Neutron for instance, neutron bombardment of aluminium that has a single isotope 27 al, gives rise to three radioactive products:. Fission can start when a nucleus of a material is bombarded by particles such as neutrons and protons. in order to initiate most fission reactions, an atom is bombarded by a neutron to produce an unstable isotope, which undergoes. Bombarded By A Neutron.
From www.researchgate.net
Schematic diagram of fission event showing prompt neutrons being Bombarded By A Neutron since a neutron has no charge, it is not repelled by the nucleus it is bombarding. Fission can start when a nucleus of a material is bombarded by particles such as neutrons and protons. Because of this, neutrons do not need to. by being bombarded with neutrons, nuclei with heavy atoms can be divided into several fragments formed. Bombarded By A Neutron.
From www.chegg.com
Solved When uranium235 is bombarded with neutrons, one Bombarded By A Neutron since a neutron has no charge, it is not repelled by the nucleus it is bombarding. for instance, neutron bombardment of aluminium that has a single isotope 27 al, gives rise to three radioactive products:. in order to initiate most fission reactions, an atom is bombarded by a neutron to produce an unstable isotope, which undergoes fission.. Bombarded By A Neutron.
From www.researchgate.net
(PDF) Neutron production from thick targets bombarded by alpha Bombarded By A Neutron Because of this, neutrons do not need to. in order to initiate most fission reactions, an atom is bombarded by a neutron to produce an unstable isotope, which undergoes fission. This type of fission is called a nuclear reaction. fission was discovered in 1938 by otto hahn, lise meitner, and fritz strassmann by bombarding elements with neutrons. This. Bombarded By A Neutron.
From www.numerade.com
Cobalt59 is bombarded with neutrons to produce cobalt60, which is Bombarded By A Neutron Because of this, neutrons do not need to. when bombarded by neutrons, certain isotopes of uranium and plutonium (and some other heavier elements) will split into atoms of lighter. fission was discovered in 1938 by otto hahn, lise meitner, and fritz strassmann by bombarding elements with neutrons. This process is known as fission (see diagram below). in. Bombarded By A Neutron.
From www.chegg.com
Solved When U235 is bombarded with a neutron and breaks Bombarded By A Neutron This process is known as fission (see diagram below). by being bombarded with neutrons, nuclei with heavy atoms can be divided into several fragments formed by nuclei with lighter. fission was discovered in 1938 by otto hahn, lise meitner, and fritz strassmann by bombarding elements with neutrons. in order to initiate most fission reactions, an atom is. Bombarded By A Neutron.
From askfilo.com
1) In nuclear fission, neutron is bombarded on atom of. Filo Bombarded By A Neutron This type of fission is called a nuclear reaction. since a neutron has no charge, it is not repelled by the nucleus it is bombarding. for instance, neutron bombardment of aluminium that has a single isotope 27 al, gives rise to three radioactive products:. This process is known as fission (see diagram below). by being bombarded with. Bombarded By A Neutron.
From www.chegg.com
Solved In a fission reaction, uranium235 bombarded with a Bombarded By A Neutron when bombarded by neutrons, certain isotopes of uranium and plutonium (and some other heavier elements) will split into atoms of lighter. since a neutron has no charge, it is not repelled by the nucleus it is bombarding. in order to initiate most fission reactions, an atom is bombarded by a neutron to produce an unstable isotope, which. Bombarded By A Neutron.
From www.chegg.com
Solved When a 02235U nucleus is bombarded by neutrons (01n) Bombarded By A Neutron Because of this, neutrons do not need to. in order to initiate most fission reactions, an atom is bombarded by a neutron to produce an unstable isotope, which undergoes fission. by being bombarded with neutrons, nuclei with heavy atoms can be divided into several fragments formed by nuclei with lighter. This process is known as fission (see diagram. Bombarded By A Neutron.