Confirmation Exam Utk . In the tiles below are exam links to wlc languages. I took the placement exam in spanish and scored higher than i thought. This means you have one year from the date you take the placement to register for the course you. Question regarding mfll confirmation exams i scored the highest tier in the online exam for spanish and looking to pass out of the foreign. Regular decision application submission deadline. Please note we also have exams for american. Which placement exam do you want to take? Regular decision application completion deadline. Wlc confirmation exam (for chinese, french, german, italian, russian, and spanish) departmental credit for wlc placement exams. It's made to put you in the right class, so it definitely depends on your own spanish skill. I am placed at a 300 level, when i guess on a few, and i am definitely not. Placement test scores expire after one year!
from www.scribd.com
Placement test scores expire after one year! I am placed at a 300 level, when i guess on a few, and i am definitely not. Question regarding mfll confirmation exams i scored the highest tier in the online exam for spanish and looking to pass out of the foreign. It's made to put you in the right class, so it definitely depends on your own spanish skill. Regular decision application completion deadline. In the tiles below are exam links to wlc languages. I took the placement exam in spanish and scored higher than i thought. Wlc confirmation exam (for chinese, french, german, italian, russian, and spanish) departmental credit for wlc placement exams. Please note we also have exams for american. Regular decision application submission deadline.
Utk Application Form Submitted Successfully Confirmation PDF Human
Confirmation Exam Utk In the tiles below are exam links to wlc languages. Regular decision application submission deadline. Placement test scores expire after one year! I took the placement exam in spanish and scored higher than i thought. Question regarding mfll confirmation exams i scored the highest tier in the online exam for spanish and looking to pass out of the foreign. Regular decision application completion deadline. Please note we also have exams for american. Which placement exam do you want to take? In the tiles below are exam links to wlc languages. I am placed at a 300 level, when i guess on a few, and i am definitely not. It's made to put you in the right class, so it definitely depends on your own spanish skill. Wlc confirmation exam (for chinese, french, german, italian, russian, and spanish) departmental credit for wlc placement exams. This means you have one year from the date you take the placement to register for the course you.
From www.englishexamcentre.pt
Get ready for your Exam Day! English Exam Centre Confirmation Exam Utk This means you have one year from the date you take the placement to register for the course you. Placement test scores expire after one year! Wlc confirmation exam (for chinese, french, german, italian, russian, and spanish) departmental credit for wlc placement exams. Please note we also have exams for american. Regular decision application completion deadline. Regular decision application submission. Confirmation Exam Utk.
From icbhelpdesk.freshdesk.com
Confirmation of Exam Entry ICB Institute of Certified Bookkeepers Confirmation Exam Utk Regular decision application completion deadline. Please note we also have exams for american. Wlc confirmation exam (for chinese, french, german, italian, russian, and spanish) departmental credit for wlc placement exams. Question regarding mfll confirmation exams i scored the highest tier in the online exam for spanish and looking to pass out of the foreign. Regular decision application submission deadline. In. Confirmation Exam Utk.
From www.stuvia.com
UTK BUAD 331 EXAM 1 2023/2024 QUESTIONS AND ANSWERS 100 CORRECT UTK Confirmation Exam Utk Wlc confirmation exam (for chinese, french, german, italian, russian, and spanish) departmental credit for wlc placement exams. Please note we also have exams for american. I am placed at a 300 level, when i guess on a few, and i am definitely not. Which placement exam do you want to take? I took the placement exam in spanish and scored. Confirmation Exam Utk.
From www.blekxy.com
I Will Be Taking the IELTS Exam Soon Confirmation Exam Utk This means you have one year from the date you take the placement to register for the course you. In the tiles below are exam links to wlc languages. Which placement exam do you want to take? Wlc confirmation exam (for chinese, french, german, italian, russian, and spanish) departmental credit for wlc placement exams. Placement test scores expire after one. Confirmation Exam Utk.
From www.studocu.com
Exam date confirmation letter for employers 11 October 2022 Dear Sir Confirmation Exam Utk Placement test scores expire after one year! This means you have one year from the date you take the placement to register for the course you. Question regarding mfll confirmation exams i scored the highest tier in the online exam for spanish and looking to pass out of the foreign. Regular decision application submission deadline. I am placed at a. Confirmation Exam Utk.
From guadalupedoral.info
Confirmation Final Exam (CONF2) Mandatory Office of Catechesis of Our Confirmation Exam Utk In the tiles below are exam links to wlc languages. Which placement exam do you want to take? Regular decision application submission deadline. Wlc confirmation exam (for chinese, french, german, italian, russian, and spanish) departmental credit for wlc placement exams. It's made to put you in the right class, so it definitely depends on your own spanish skill. Regular decision. Confirmation Exam Utk.
From guadalupedoral.info
Confirmation Exam Office of Catechesis of Our Lady of Guadalupe Church Confirmation Exam Utk In the tiles below are exam links to wlc languages. I took the placement exam in spanish and scored higher than i thought. Which placement exam do you want to take? Wlc confirmation exam (for chinese, french, german, italian, russian, and spanish) departmental credit for wlc placement exams. Placement test scores expire after one year! This means you have one. Confirmation Exam Utk.
From studylib.net
Confirmation Preparation Exam A TWO YEAR COMPREHENSIVE Confirmation Exam Utk Wlc confirmation exam (for chinese, french, german, italian, russian, and spanish) departmental credit for wlc placement exams. It's made to put you in the right class, so it definitely depends on your own spanish skill. Please note we also have exams for american. I am placed at a 300 level, when i guess on a few, and i am definitely. Confirmation Exam Utk.
From imagetou.com
Utk Spring 2024 Final Exam Schedule Image to u Confirmation Exam Utk Regular decision application submission deadline. Placement test scores expire after one year! Regular decision application completion deadline. This means you have one year from the date you take the placement to register for the course you. I took the placement exam in spanish and scored higher than i thought. It's made to put you in the right class, so it. Confirmation Exam Utk.
From www.scribd.com
Utk Application Form Submitted Successfully Confirmation PDF Human Confirmation Exam Utk I took the placement exam in spanish and scored higher than i thought. It's made to put you in the right class, so it definitely depends on your own spanish skill. Question regarding mfll confirmation exams i scored the highest tier in the online exam for spanish and looking to pass out of the foreign. Which placement exam do you. Confirmation Exam Utk.
From suntrustblog.com
70+ Great Confirmation Messages, Wishes and Quotes Confirmation Exam Utk Question regarding mfll confirmation exams i scored the highest tier in the online exam for spanish and looking to pass out of the foreign. This means you have one year from the date you take the placement to register for the course you. Please note we also have exams for american. It's made to put you in the right class,. Confirmation Exam Utk.
From www.stuvia.com
BUAD EXAM 1 TERM WELL EXPLAINED GUIDE SOLUTION. BUAD Stuvia US Confirmation Exam Utk Question regarding mfll confirmation exams i scored the highest tier in the online exam for spanish and looking to pass out of the foreign. Regular decision application completion deadline. I am placed at a 300 level, when i guess on a few, and i am definitely not. This means you have one year from the date you take the placement. Confirmation Exam Utk.
From www.scribd.com
utk admission letter PDF Confirmation Exam Utk Wlc confirmation exam (for chinese, french, german, italian, russian, and spanish) departmental credit for wlc placement exams. Which placement exam do you want to take? This means you have one year from the date you take the placement to register for the course you. Regular decision application submission deadline. I took the placement exam in spanish and scored higher than. Confirmation Exam Utk.
From www.stuvia.com
BUAD 331 Final Exam UTK Questions With Complete Solutions BUAD 331 Confirmation Exam Utk In the tiles below are exam links to wlc languages. Please note we also have exams for american. Question regarding mfll confirmation exams i scored the highest tier in the online exam for spanish and looking to pass out of the foreign. Which placement exam do you want to take? I am placed at a 300 level, when i guess. Confirmation Exam Utk.
From www.youtube.com
LAB ATTENDER EXAM CONFIRMATION കൊടുക്കാം !!! കൂടുതൽ വിവരങ്ങൾ അറിയാം Confirmation Exam Utk It's made to put you in the right class, so it definitely depends on your own spanish skill. This means you have one year from the date you take the placement to register for the course you. Please note we also have exams for american. I am placed at a 300 level, when i guess on a few, and i. Confirmation Exam Utk.
From www.youtube.com
Setup Confirmation utk Entry di H4 YouTube Confirmation Exam Utk Placement test scores expire after one year! Wlc confirmation exam (for chinese, french, german, italian, russian, and spanish) departmental credit for wlc placement exams. It's made to put you in the right class, so it definitely depends on your own spanish skill. I am placed at a 300 level, when i guess on a few, and i am definitely not.. Confirmation Exam Utk.
From www.learnmorekerala.com
Kerala PSC Exam Confirmation with Mobile OTP Help Confirmation Exam Utk This means you have one year from the date you take the placement to register for the course you. Regular decision application completion deadline. I am placed at a 300 level, when i guess on a few, and i am definitely not. Wlc confirmation exam (for chinese, french, german, italian, russian, and spanish) departmental credit for wlc placement exams. I. Confirmation Exam Utk.
From www.scribd.com
Confirmation Final Exam John The Baptist Confirmation Confirmation Exam Utk Regular decision application completion deadline. In the tiles below are exam links to wlc languages. Which placement exam do you want to take? Question regarding mfll confirmation exams i scored the highest tier in the online exam for spanish and looking to pass out of the foreign. It's made to put you in the right class, so it definitely depends. Confirmation Exam Utk.
From www.youtube.com
Confirmation Examination Service (2020) YouTube Confirmation Exam Utk Wlc confirmation exam (for chinese, french, german, italian, russian, and spanish) departmental credit for wlc placement exams. I am placed at a 300 level, when i guess on a few, and i am definitely not. This means you have one year from the date you take the placement to register for the course you. Regular decision application submission deadline. Question. Confirmation Exam Utk.
From www.americamagazine.org
The grace of going through confirmation in college America Magazine Confirmation Exam Utk In the tiles below are exam links to wlc languages. It's made to put you in the right class, so it definitely depends on your own spanish skill. I am placed at a 300 level, when i guess on a few, and i am definitely not. Question regarding mfll confirmation exams i scored the highest tier in the online exam. Confirmation Exam Utk.
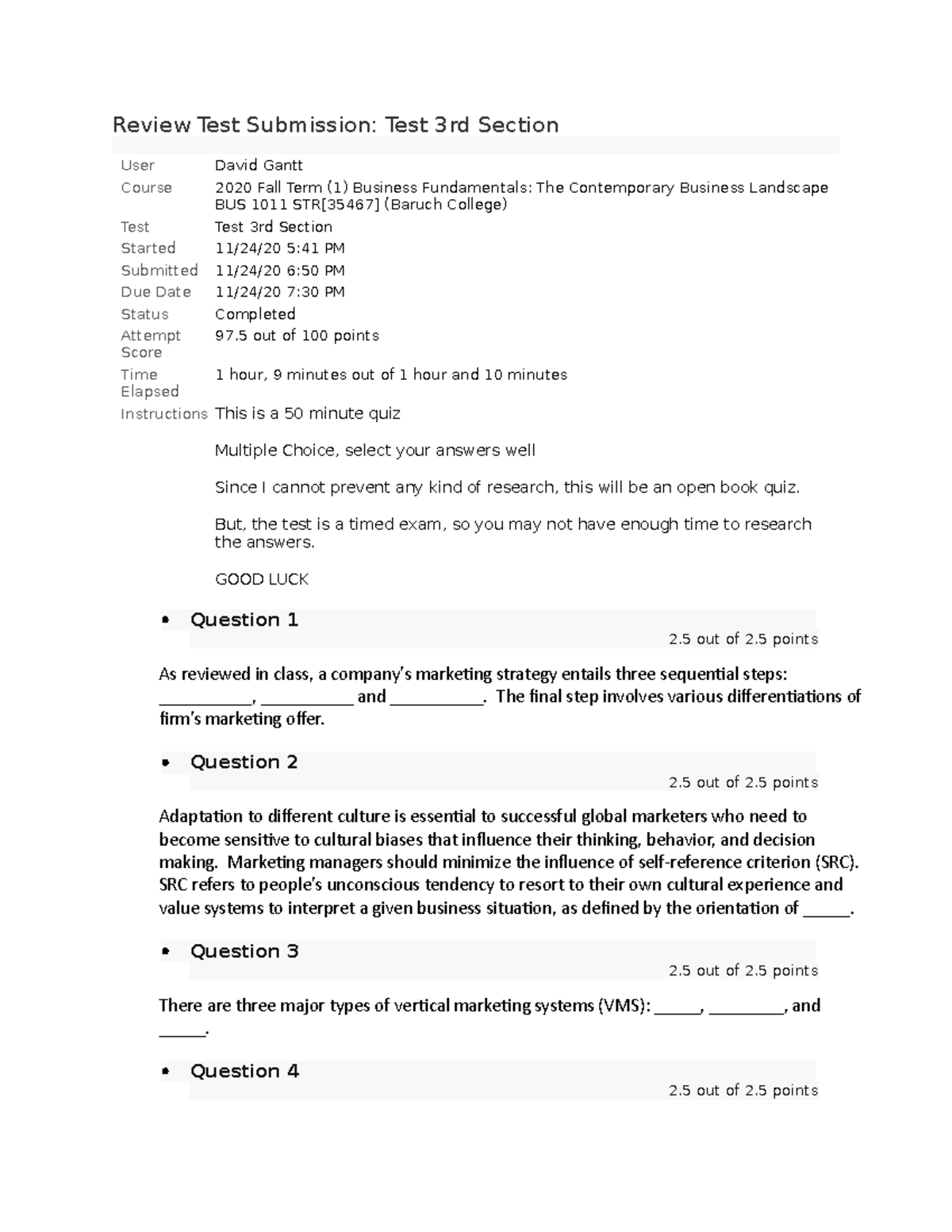
From www.studocu.com
Exam 3 Confirmation and Questions Review Test Submission Test 3rd Confirmation Exam Utk In the tiles below are exam links to wlc languages. I am placed at a 300 level, when i guess on a few, and i am definitely not. It's made to put you in the right class, so it definitely depends on your own spanish skill. Question regarding mfll confirmation exams i scored the highest tier in the online exam. Confirmation Exam Utk.
From www.scribd.com
Confirmation Year 2 Exam Answer Sheet Pages Confirmation Exam Utk This means you have one year from the date you take the placement to register for the course you. I took the placement exam in spanish and scored higher than i thought. It's made to put you in the right class, so it definitely depends on your own spanish skill. Question regarding mfll confirmation exams i scored the highest tier. Confirmation Exam Utk.
From www.stuvia.com
UTK CMST 240 Final Exam QUESTIONS WITH COMPLETE SOLUTIONS UTK CMST Confirmation Exam Utk Placement test scores expire after one year! I took the placement exam in spanish and scored higher than i thought. This means you have one year from the date you take the placement to register for the course you. In the tiles below are exam links to wlc languages. Wlc confirmation exam (for chinese, french, german, italian, russian, and spanish). Confirmation Exam Utk.
From www.slideshare.net
Confirmation preparation exam review Confirmation Exam Utk Question regarding mfll confirmation exams i scored the highest tier in the online exam for spanish and looking to pass out of the foreign. This means you have one year from the date you take the placement to register for the course you. In the tiles below are exam links to wlc languages. Placement test scores expire after one year!. Confirmation Exam Utk.
From www.learnmorekerala.com
Kerala PSC Exam Confirmation with Mobile OTP Help Confirmation Exam Utk In the tiles below are exam links to wlc languages. Regular decision application completion deadline. Wlc confirmation exam (for chinese, french, german, italian, russian, and spanish) departmental credit for wlc placement exams. Question regarding mfll confirmation exams i scored the highest tier in the online exam for spanish and looking to pass out of the foreign. I took the placement. Confirmation Exam Utk.
From www.youtube.com
UTK NURSING SCHOOL ORIENTATION VLOG Senior Year 2022 + dosage calc Confirmation Exam Utk I am placed at a 300 level, when i guess on a few, and i am definitely not. In the tiles below are exam links to wlc languages. Regular decision application submission deadline. This means you have one year from the date you take the placement to register for the course you. I took the placement exam in spanish and. Confirmation Exam Utk.
From slideplayer.com
Operating a High Frequency (HF) Station ppt download Confirmation Exam Utk Which placement exam do you want to take? Please note we also have exams for american. It's made to put you in the right class, so it definitely depends on your own spanish skill. Wlc confirmation exam (for chinese, french, german, italian, russian, and spanish) departmental credit for wlc placement exams. Question regarding mfll confirmation exams i scored the highest. Confirmation Exam Utk.
From scholarshipfest.com
UTK continuing student scholarship Confirmation Exam Utk It's made to put you in the right class, so it definitely depends on your own spanish skill. I took the placement exam in spanish and scored higher than i thought. This means you have one year from the date you take the placement to register for the course you. Wlc confirmation exam (for chinese, french, german, italian, russian, and. Confirmation Exam Utk.
From study4sure.com
Examination Programme For The Month Of November 2022 ( FOR SUBMITTING Confirmation Exam Utk This means you have one year from the date you take the placement to register for the course you. Placement test scores expire after one year! Regular decision application submission deadline. Please note we also have exams for american. Regular decision application completion deadline. It's made to put you in the right class, so it definitely depends on your own. Confirmation Exam Utk.
From study4sure.com
EXAMINATION PROGRAMME FOR THE MONTH OF OCTOBER 2022 (FINALISED AFTER Confirmation Exam Utk It's made to put you in the right class, so it definitely depends on your own spanish skill. Which placement exam do you want to take? I am placed at a 300 level, when i guess on a few, and i am definitely not. In the tiles below are exam links to wlc languages. Question regarding mfll confirmation exams i. Confirmation Exam Utk.
From browsegrades.net
UTK Management 300 Exam 1 50 Questions with 100 Correct Answers Confirmation Exam Utk Regular decision application completion deadline. Please note we also have exams for american. I am placed at a 300 level, when i guess on a few, and i am definitely not. In the tiles below are exam links to wlc languages. Wlc confirmation exam (for chinese, french, german, italian, russian, and spanish) departmental credit for wlc placement exams. Placement test. Confirmation Exam Utk.
From www.whatisthe11plus.co.uk
11+ Exam Date Confirmation 2015 11 Plus KSOL Confirmation Exam Utk Wlc confirmation exam (for chinese, french, german, italian, russian, and spanish) departmental credit for wlc placement exams. Placement test scores expire after one year! I took the placement exam in spanish and scored higher than i thought. I am placed at a 300 level, when i guess on a few, and i am definitely not. Please note we also have. Confirmation Exam Utk.
From blog.examsandalucia.com
Confirmation of Entry Exámenes Cambridge Granada Confirmation Exam Utk It's made to put you in the right class, so it definitely depends on your own spanish skill. Which placement exam do you want to take? I took the placement exam in spanish and scored higher than i thought. I am placed at a 300 level, when i guess on a few, and i am definitely not. In the tiles. Confirmation Exam Utk.
From www.slideserve.com
PPT ACLS Airway Management Endotracheal Intubation PowerPoint Confirmation Exam Utk Regular decision application completion deadline. Wlc confirmation exam (for chinese, french, german, italian, russian, and spanish) departmental credit for wlc placement exams. It's made to put you in the right class, so it definitely depends on your own spanish skill. I am placed at a 300 level, when i guess on a few, and i am definitely not. Placement test. Confirmation Exam Utk.
From www.youtube.com
5422 Confirmation Exam YouTube Confirmation Exam Utk It's made to put you in the right class, so it definitely depends on your own spanish skill. In the tiles below are exam links to wlc languages. This means you have one year from the date you take the placement to register for the course you. Wlc confirmation exam (for chinese, french, german, italian, russian, and spanish) departmental credit. Confirmation Exam Utk.