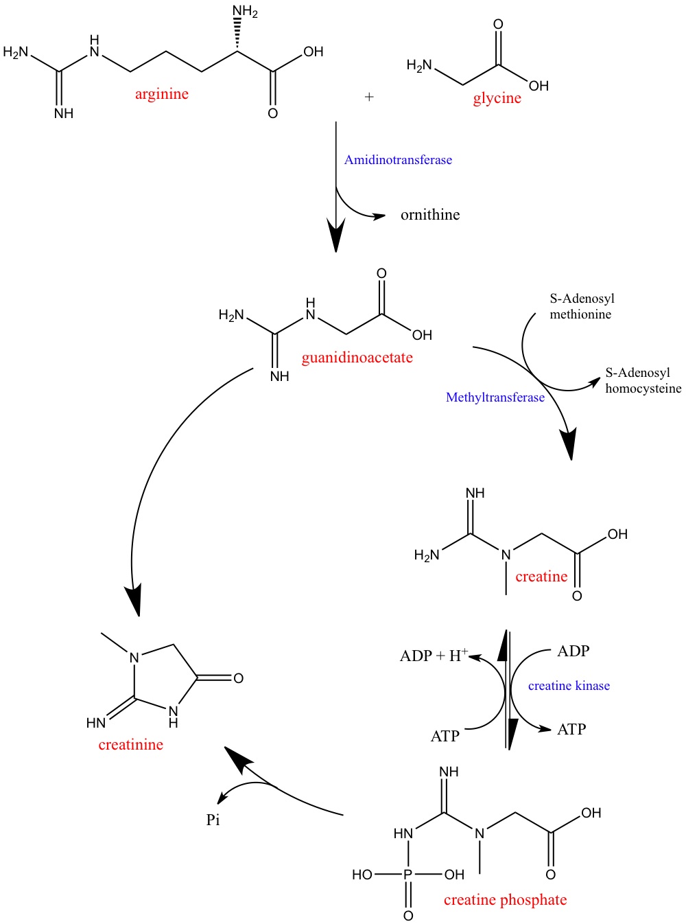
Creatine Synthesis . Creatine is a nitrogenous organic acid that. synthesis of creatine from cyanamide and sarcosine. the goal of this review is to present a comprehensive survey of the many intriguing facets of creatine (cr) and. the present study makes a number of novel contributions to our knowledge of creatine synthesis and its regulation: creatine (cr) is a ubiquitous molecule that is synthesized mainly in the liver, kidneys, and pancreas. 1) the rat kidney produces. creatine modulates gabaergic and glutamatergic cerebral pathways, presynaptic crtr (slc6a8) ensuring re. creatine synthesis requires three amino acids, methionine, glycine, and arginine, and two enzymes, l.
from www.slideserve.com
creatine (cr) is a ubiquitous molecule that is synthesized mainly in the liver, kidneys, and pancreas. the goal of this review is to present a comprehensive survey of the many intriguing facets of creatine (cr) and. the present study makes a number of novel contributions to our knowledge of creatine synthesis and its regulation: Creatine is a nitrogenous organic acid that. synthesis of creatine from cyanamide and sarcosine. creatine modulates gabaergic and glutamatergic cerebral pathways, presynaptic crtr (slc6a8) ensuring re. 1) the rat kidney produces. creatine synthesis requires three amino acids, methionine, glycine, and arginine, and two enzymes, l.
PPT chapter 4 PowerPoint Presentation, free download ID4375980
Creatine Synthesis creatine (cr) is a ubiquitous molecule that is synthesized mainly in the liver, kidneys, and pancreas. 1) the rat kidney produces. synthesis of creatine from cyanamide and sarcosine. Creatine is a nitrogenous organic acid that. the present study makes a number of novel contributions to our knowledge of creatine synthesis and its regulation: creatine modulates gabaergic and glutamatergic cerebral pathways, presynaptic crtr (slc6a8) ensuring re. creatine synthesis requires three amino acids, methionine, glycine, and arginine, and two enzymes, l. the goal of this review is to present a comprehensive survey of the many intriguing facets of creatine (cr) and. creatine (cr) is a ubiquitous molecule that is synthesized mainly in the liver, kidneys, and pancreas.
From www.runnersworld.com
Creatine What it is and what are the benefits and side effects Creatine Synthesis the present study makes a number of novel contributions to our knowledge of creatine synthesis and its regulation: the goal of this review is to present a comprehensive survey of the many intriguing facets of creatine (cr) and. creatine (cr) is a ubiquitous molecule that is synthesized mainly in the liver, kidneys, and pancreas. synthesis of. Creatine Synthesis.
From www.slideserve.com
PPT Energi Kontraksi Otot PowerPoint Presentation ID4300967 Creatine Synthesis Creatine is a nitrogenous organic acid that. creatine (cr) is a ubiquitous molecule that is synthesized mainly in the liver, kidneys, and pancreas. the goal of this review is to present a comprehensive survey of the many intriguing facets of creatine (cr) and. 1) the rat kidney produces. synthesis of creatine from cyanamide and sarcosine. creatine. Creatine Synthesis.
From www.youtube.com
Biosynthesis of creatine By phanindra guptha YouTube Creatine Synthesis the goal of this review is to present a comprehensive survey of the many intriguing facets of creatine (cr) and. Creatine is a nitrogenous organic acid that. creatine synthesis requires three amino acids, methionine, glycine, and arginine, and two enzymes, l. 1) the rat kidney produces. synthesis of creatine from cyanamide and sarcosine. creatine (cr) is. Creatine Synthesis.
From www.researchgate.net
Pathway of creatine synthesis. GAA, guanidinoacetate. Download Scientific Diagram Creatine Synthesis the present study makes a number of novel contributions to our knowledge of creatine synthesis and its regulation: creatine modulates gabaergic and glutamatergic cerebral pathways, presynaptic crtr (slc6a8) ensuring re. the goal of this review is to present a comprehensive survey of the many intriguing facets of creatine (cr) and. creatine synthesis requires three amino acids,. Creatine Synthesis.
From www.slideserve.com
PPT NONPROTEIN NITROGENOUS COMPOUNDS PowerPoint Presentation, free download ID3538223 Creatine Synthesis creatine synthesis requires three amino acids, methionine, glycine, and arginine, and two enzymes, l. the goal of this review is to present a comprehensive survey of the many intriguing facets of creatine (cr) and. Creatine is a nitrogenous organic acid that. creatine (cr) is a ubiquitous molecule that is synthesized mainly in the liver, kidneys, and pancreas.. Creatine Synthesis.
From healthyfarmer.blogspot.com
Raising urinary creatinine levels Creatine Synthesis the present study makes a number of novel contributions to our knowledge of creatine synthesis and its regulation: creatine modulates gabaergic and glutamatergic cerebral pathways, presynaptic crtr (slc6a8) ensuring re. 1) the rat kidney produces. synthesis of creatine from cyanamide and sarcosine. creatine (cr) is a ubiquitous molecule that is synthesized mainly in the liver, kidneys,. Creatine Synthesis.
From www.slideserve.com
PPT Creatine Metabolism PowerPoint Presentation ID3741675 Creatine Synthesis synthesis of creatine from cyanamide and sarcosine. the present study makes a number of novel contributions to our knowledge of creatine synthesis and its regulation: Creatine is a nitrogenous organic acid that. 1) the rat kidney produces. creatine modulates gabaergic and glutamatergic cerebral pathways, presynaptic crtr (slc6a8) ensuring re. creatine synthesis requires three amino acids, methionine,. Creatine Synthesis.
From www.msn.com
Best creatine supplements and the health benefits, according to an expert Creatine Synthesis 1) the rat kidney produces. synthesis of creatine from cyanamide and sarcosine. the present study makes a number of novel contributions to our knowledge of creatine synthesis and its regulation: creatine synthesis requires three amino acids, methionine, glycine, and arginine, and two enzymes, l. creatine modulates gabaergic and glutamatergic cerebral pathways, presynaptic crtr (slc6a8) ensuring re.. Creatine Synthesis.
From themedicalbiochemistrypage.org
Amino Acid Derivatives Neurotransmitters, Nitric Oxide, and More The Medical Biochemistry Page Creatine Synthesis creatine modulates gabaergic and glutamatergic cerebral pathways, presynaptic crtr (slc6a8) ensuring re. 1) the rat kidney produces. Creatine is a nitrogenous organic acid that. the present study makes a number of novel contributions to our knowledge of creatine synthesis and its regulation: synthesis of creatine from cyanamide and sarcosine. creatine (cr) is a ubiquitous molecule that. Creatine Synthesis.
From www.semanticscholar.org
Figure 1 from Arginineguanidinoacetatecreatine pathway in preterm newborns creatine Creatine Synthesis creatine (cr) is a ubiquitous molecule that is synthesized mainly in the liver, kidneys, and pancreas. Creatine is a nitrogenous organic acid that. synthesis of creatine from cyanamide and sarcosine. the present study makes a number of novel contributions to our knowledge of creatine synthesis and its regulation: 1) the rat kidney produces. the goal of. Creatine Synthesis.
From mutagenetix.utsouthwestern.edu
> Phenotypic Mutation Creatine Synthesis the present study makes a number of novel contributions to our knowledge of creatine synthesis and its regulation: Creatine is a nitrogenous organic acid that. creatine modulates gabaergic and glutamatergic cerebral pathways, presynaptic crtr (slc6a8) ensuring re. 1) the rat kidney produces. creatine synthesis requires three amino acids, methionine, glycine, and arginine, and two enzymes, l. . Creatine Synthesis.
From www.metabolicerrors.com
Deprecated stripslashes() Passing null to parameter 1 (string) of type string is deprecated Creatine Synthesis the present study makes a number of novel contributions to our knowledge of creatine synthesis and its regulation: 1) the rat kidney produces. creatine modulates gabaergic and glutamatergic cerebral pathways, presynaptic crtr (slc6a8) ensuring re. creatine (cr) is a ubiquitous molecule that is synthesized mainly in the liver, kidneys, and pancreas. synthesis of creatine from cyanamide. Creatine Synthesis.
From www.youtube.com
Biochemistry Creatine Physiology & Biosynthesis + Glycine Amidinotransferase Mechanism YouTube Creatine Synthesis the present study makes a number of novel contributions to our knowledge of creatine synthesis and its regulation: the goal of this review is to present a comprehensive survey of the many intriguing facets of creatine (cr) and. creatine modulates gabaergic and glutamatergic cerebral pathways, presynaptic crtr (slc6a8) ensuring re. synthesis of creatine from cyanamide and. Creatine Synthesis.
From www.slideserve.com
PPT Metabolism of Individual Amino Acids PowerPoint Presentation, free download ID9299052 Creatine Synthesis the goal of this review is to present a comprehensive survey of the many intriguing facets of creatine (cr) and. 1) the rat kidney produces. Creatine is a nitrogenous organic acid that. creatine modulates gabaergic and glutamatergic cerebral pathways, presynaptic crtr (slc6a8) ensuring re. the present study makes a number of novel contributions to our knowledge of. Creatine Synthesis.
From www.slideserve.com
PPT Creatine Metabolism PowerPoint Presentation, free download ID3741675 Creatine Synthesis the present study makes a number of novel contributions to our knowledge of creatine synthesis and its regulation: creatine synthesis requires three amino acids, methionine, glycine, and arginine, and two enzymes, l. Creatine is a nitrogenous organic acid that. the goal of this review is to present a comprehensive survey of the many intriguing facets of creatine. Creatine Synthesis.
From www.researchgate.net
(PDF) Creatine supplementation to total parenteral nutrition improves creatine status and Creatine Synthesis creatine (cr) is a ubiquitous molecule that is synthesized mainly in the liver, kidneys, and pancreas. 1) the rat kidney produces. creatine modulates gabaergic and glutamatergic cerebral pathways, presynaptic crtr (slc6a8) ensuring re. synthesis of creatine from cyanamide and sarcosine. the present study makes a number of novel contributions to our knowledge of creatine synthesis and. Creatine Synthesis.
From rpstrength.com
Renaissance Periodization Everything you need to know about Creatine Creatine Synthesis the goal of this review is to present a comprehensive survey of the many intriguing facets of creatine (cr) and. Creatine is a nitrogenous organic acid that. 1) the rat kidney produces. creatine modulates gabaergic and glutamatergic cerebral pathways, presynaptic crtr (slc6a8) ensuring re. creatine synthesis requires three amino acids, methionine, glycine, and arginine, and two enzymes,. Creatine Synthesis.
From www.researchgate.net
Creatine Synthesis and Degradation. Software; Advanced Chemistry... Download Scientific Diagram Creatine Synthesis Creatine is a nitrogenous organic acid that. 1) the rat kidney produces. the present study makes a number of novel contributions to our knowledge of creatine synthesis and its regulation: the goal of this review is to present a comprehensive survey of the many intriguing facets of creatine (cr) and. creatine modulates gabaergic and glutamatergic cerebral pathways,. Creatine Synthesis.
From www.researchgate.net
Pathways of glyoxylate metabolism. Routes that yield glycine through... Download Scientific Creatine Synthesis synthesis of creatine from cyanamide and sarcosine. creatine modulates gabaergic and glutamatergic cerebral pathways, presynaptic crtr (slc6a8) ensuring re. 1) the rat kidney produces. the present study makes a number of novel contributions to our knowledge of creatine synthesis and its regulation: creatine synthesis requires three amino acids, methionine, glycine, and arginine, and two enzymes, l.. Creatine Synthesis.
From myogenetix.in
CREATINE 300g 100 Servings Creapure India The Muscle Building Creatine Synthesis the goal of this review is to present a comprehensive survey of the many intriguing facets of creatine (cr) and. creatine synthesis requires three amino acids, methionine, glycine, and arginine, and two enzymes, l. creatine (cr) is a ubiquitous molecule that is synthesized mainly in the liver, kidneys, and pancreas. creatine modulates gabaergic and glutamatergic cerebral. Creatine Synthesis.
From journals.sagepub.com
Simultaneous determination of guanidinoacetate, creatine and creatinine in urine and plasma by Creatine Synthesis synthesis of creatine from cyanamide and sarcosine. the present study makes a number of novel contributions to our knowledge of creatine synthesis and its regulation: 1) the rat kidney produces. Creatine is a nitrogenous organic acid that. the goal of this review is to present a comprehensive survey of the many intriguing facets of creatine (cr) and.. Creatine Synthesis.
From www.mdpi.com
IJMS Free FullText Variability of Creatine Metabolism Genes in Children with Autism Creatine Synthesis creatine (cr) is a ubiquitous molecule that is synthesized mainly in the liver, kidneys, and pancreas. the goal of this review is to present a comprehensive survey of the many intriguing facets of creatine (cr) and. creatine synthesis requires three amino acids, methionine, glycine, and arginine, and two enzymes, l. synthesis of creatine from cyanamide and. Creatine Synthesis.
From www.labpedia.net
Creatinine (Serum Creatinine) Creatine Synthesis creatine (cr) is a ubiquitous molecule that is synthesized mainly in the liver, kidneys, and pancreas. the present study makes a number of novel contributions to our knowledge of creatine synthesis and its regulation: creatine modulates gabaergic and glutamatergic cerebral pathways, presynaptic crtr (slc6a8) ensuring re. synthesis of creatine from cyanamide and sarcosine. 1) the rat. Creatine Synthesis.
From labpedia.net
Creatinine (Serum Creatinine) Creatine Synthesis the goal of this review is to present a comprehensive survey of the many intriguing facets of creatine (cr) and. synthesis of creatine from cyanamide and sarcosine. 1) the rat kidney produces. creatine (cr) is a ubiquitous molecule that is synthesized mainly in the liver, kidneys, and pancreas. creatine modulates gabaergic and glutamatergic cerebral pathways, presynaptic. Creatine Synthesis.
From www.youtube.com
Creatine Synthesis YouTube Creatine Synthesis Creatine is a nitrogenous organic acid that. creatine modulates gabaergic and glutamatergic cerebral pathways, presynaptic crtr (slc6a8) ensuring re. synthesis of creatine from cyanamide and sarcosine. creatine (cr) is a ubiquitous molecule that is synthesized mainly in the liver, kidneys, and pancreas. 1) the rat kidney produces. creatine synthesis requires three amino acids, methionine, glycine, and. Creatine Synthesis.
From springerplus.springeropen.com
Creatine metabolism differs between mammals and rainbow trout (Oncorhynchus mykiss Creatine Synthesis the present study makes a number of novel contributions to our knowledge of creatine synthesis and its regulation: synthesis of creatine from cyanamide and sarcosine. Creatine is a nitrogenous organic acid that. 1) the rat kidney produces. creatine synthesis requires three amino acids, methionine, glycine, and arginine, and two enzymes, l. creatine modulates gabaergic and glutamatergic. Creatine Synthesis.
From www.optimumnutrition.co.in
Optimum Nutrition Micronised Creatine Powder 100 Gram, 33 Serves 3g of 100 Creatine Creatine Synthesis Creatine is a nitrogenous organic acid that. the goal of this review is to present a comprehensive survey of the many intriguing facets of creatine (cr) and. creatine modulates gabaergic and glutamatergic cerebral pathways, presynaptic crtr (slc6a8) ensuring re. the present study makes a number of novel contributions to our knowledge of creatine synthesis and its regulation:. Creatine Synthesis.
From yourprotein.vn
Ostrovit Creatine Monohydrate 500g YOUR PROTEIN Creatine Synthesis creatine synthesis requires three amino acids, methionine, glycine, and arginine, and two enzymes, l. Creatine is a nitrogenous organic acid that. 1) the rat kidney produces. creatine (cr) is a ubiquitous molecule that is synthesized mainly in the liver, kidneys, and pancreas. creatine modulates gabaergic and glutamatergic cerebral pathways, presynaptic crtr (slc6a8) ensuring re. the goal. Creatine Synthesis.
From www.slideserve.com
PPT chapter 4 PowerPoint Presentation, free download ID4375980 Creatine Synthesis 1) the rat kidney produces. creatine (cr) is a ubiquitous molecule that is synthesized mainly in the liver, kidneys, and pancreas. the goal of this review is to present a comprehensive survey of the many intriguing facets of creatine (cr) and. the present study makes a number of novel contributions to our knowledge of creatine synthesis and. Creatine Synthesis.
From www.researchgate.net
Pathway of creatine synthesis. GAA, guanidinoacetate. Download Scientific Diagram Creatine Synthesis creatine (cr) is a ubiquitous molecule that is synthesized mainly in the liver, kidneys, and pancreas. creatine modulates gabaergic and glutamatergic cerebral pathways, presynaptic crtr (slc6a8) ensuring re. the goal of this review is to present a comprehensive survey of the many intriguing facets of creatine (cr) and. 1) the rat kidney produces. Creatine is a nitrogenous. Creatine Synthesis.
From www.slideserve.com
PPT Conversion of Amino Acids to Specialized Products PowerPoint Presentation ID6648693 Creatine Synthesis creatine modulates gabaergic and glutamatergic cerebral pathways, presynaptic crtr (slc6a8) ensuring re. synthesis of creatine from cyanamide and sarcosine. 1) the rat kidney produces. creatine synthesis requires three amino acids, methionine, glycine, and arginine, and two enzymes, l. the present study makes a number of novel contributions to our knowledge of creatine synthesis and its regulation:. Creatine Synthesis.
From www.mdpi.com
JCM Free FullText Effectiveness of Creatine Supplementation on Aging Muscle and Bone Focus Creatine Synthesis creatine (cr) is a ubiquitous molecule that is synthesized mainly in the liver, kidneys, and pancreas. the goal of this review is to present a comprehensive survey of the many intriguing facets of creatine (cr) and. creatine synthesis requires three amino acids, methionine, glycine, and arginine, and two enzymes, l. the present study makes a number. Creatine Synthesis.
From www.creasup.ch
creasup.ch Multiple Functions of Creatine Kinase for Cellular Energetics a Scientific Creatine Synthesis the goal of this review is to present a comprehensive survey of the many intriguing facets of creatine (cr) and. creatine modulates gabaergic and glutamatergic cerebral pathways, presynaptic crtr (slc6a8) ensuring re. 1) the rat kidney produces. creatine synthesis requires three amino acids, methionine, glycine, and arginine, and two enzymes, l. creatine (cr) is a ubiquitous. Creatine Synthesis.
From www.leaner-life-fitness.co.uk
Creatine LeanerLife Fitness Creatine Synthesis Creatine is a nitrogenous organic acid that. creatine synthesis requires three amino acids, methionine, glycine, and arginine, and two enzymes, l. 1) the rat kidney produces. creatine modulates gabaergic and glutamatergic cerebral pathways, presynaptic crtr (slc6a8) ensuring re. the goal of this review is to present a comprehensive survey of the many intriguing facets of creatine (cr). Creatine Synthesis.
From str503.blogspot.com
Sarah Twomey's R503 Blog Creatine Synthesis creatine (cr) is a ubiquitous molecule that is synthesized mainly in the liver, kidneys, and pancreas. the goal of this review is to present a comprehensive survey of the many intriguing facets of creatine (cr) and. creatine modulates gabaergic and glutamatergic cerebral pathways, presynaptic crtr (slc6a8) ensuring re. the present study makes a number of novel. Creatine Synthesis.