Inductor Di/Dt Calculator . Enter sine or cosine values for the current. Learn how to calculate the voltage drop across an inductor using the equation v = l (di/dt), where l is the inductance and di/dt is the rate of current change. Calculate the voltage across an inductor based on the inductance and the current that flows across it. The calculator will compute the voltage across the inductor using the formula vi = l * (di/dt), where vi is the inductor voltage, l is. This calculator provides a tool for quickly determining the voltage across an inductor based on its inductance, the rate of change of. This calculator offers an accessible tool for students, educators, and professionals in electrical engineering to quickly compute. Enter the values of inductance, l(h) and rate of change of current (di/dt)(a) to determine the value of voltage across an inductor, vi(v). See how the inductor behaves. Calculate the change in current (di) by subtracting the initial current from the final current. Determine the time duration (dt). Calculate the actual relationship between voltage and current across inductance through advanced online voltage across inductance calculator by.
from www.chegg.com
Calculate the change in current (di) by subtracting the initial current from the final current. Learn how to calculate the voltage drop across an inductor using the equation v = l (di/dt), where l is the inductance and di/dt is the rate of current change. See how the inductor behaves. Calculate the actual relationship between voltage and current across inductance through advanced online voltage across inductance calculator by. This calculator offers an accessible tool for students, educators, and professionals in electrical engineering to quickly compute. Calculate the voltage across an inductor based on the inductance and the current that flows across it. Enter the values of inductance, l(h) and rate of change of current (di/dt)(a) to determine the value of voltage across an inductor, vi(v). Enter sine or cosine values for the current. Determine the time duration (dt). The calculator will compute the voltage across the inductor using the formula vi = l * (di/dt), where vi is the inductor voltage, l is.
Solved 30.9. The inductor in Fig. E30.9 L has inductance
Inductor Di/Dt Calculator Calculate the voltage across an inductor based on the inductance and the current that flows across it. Enter sine or cosine values for the current. This calculator provides a tool for quickly determining the voltage across an inductor based on its inductance, the rate of change of. Enter the values of inductance, l(h) and rate of change of current (di/dt)(a) to determine the value of voltage across an inductor, vi(v). Learn how to calculate the voltage drop across an inductor using the equation v = l (di/dt), where l is the inductance and di/dt is the rate of current change. This calculator offers an accessible tool for students, educators, and professionals in electrical engineering to quickly compute. Determine the time duration (dt). See how the inductor behaves. Calculate the voltage across an inductor based on the inductance and the current that flows across it. Calculate the actual relationship between voltage and current across inductance through advanced online voltage across inductance calculator by. Calculate the change in current (di) by subtracting the initial current from the final current. The calculator will compute the voltage across the inductor using the formula vi = l * (di/dt), where vi is the inductor voltage, l is.
From slideplayer.com
Fundamentals of Electric Circuits Chapter 6 ppt download Inductor Di/Dt Calculator Enter sine or cosine values for the current. Enter the values of inductance, l(h) and rate of change of current (di/dt)(a) to determine the value of voltage across an inductor, vi(v). The calculator will compute the voltage across the inductor using the formula vi = l * (di/dt), where vi is the inductor voltage, l is. Determine the time duration. Inductor Di/Dt Calculator.
From videos.mathtutordvd.com
Lesson 3 Current Through An Inductor, Part 1 (Engineering Circuits Inductor Di/Dt Calculator Calculate the actual relationship between voltage and current across inductance through advanced online voltage across inductance calculator by. This calculator provides a tool for quickly determining the voltage across an inductor based on its inductance, the rate of change of. Calculate the change in current (di) by subtracting the initial current from the final current. Enter sine or cosine values. Inductor Di/Dt Calculator.
From www.scienceabc.com
All You Need To Know About The Inductors And Induction Inductor Di/Dt Calculator Enter the values of inductance, l(h) and rate of change of current (di/dt)(a) to determine the value of voltage across an inductor, vi(v). See how the inductor behaves. Calculate the change in current (di) by subtracting the initial current from the final current. This calculator offers an accessible tool for students, educators, and professionals in electrical engineering to quickly compute.. Inductor Di/Dt Calculator.
From studylib.net
Ch. 32 Self Inductance A Inductor Di/Dt Calculator Calculate the actual relationship between voltage and current across inductance through advanced online voltage across inductance calculator by. Calculate the voltage across an inductor based on the inductance and the current that flows across it. Learn how to calculate the voltage drop across an inductor using the equation v = l (di/dt), where l is the inductance and di/dt is. Inductor Di/Dt Calculator.
From www.numerade.com
SOLVED A circuit with an inductor of inductance L, a resistor with Inductor Di/Dt Calculator Calculate the actual relationship between voltage and current across inductance through advanced online voltage across inductance calculator by. The calculator will compute the voltage across the inductor using the formula vi = l * (di/dt), where vi is the inductor voltage, l is. Enter the values of inductance, l(h) and rate of change of current (di/dt)(a) to determine the value. Inductor Di/Dt Calculator.
From www.slideserve.com
PPT Ch 35 AC Circuits PowerPoint Presentation, free download ID Inductor Di/Dt Calculator See how the inductor behaves. The calculator will compute the voltage across the inductor using the formula vi = l * (di/dt), where vi is the inductor voltage, l is. Calculate the actual relationship between voltage and current across inductance through advanced online voltage across inductance calculator by. This calculator provides a tool for quickly determining the voltage across an. Inductor Di/Dt Calculator.
From www.numerade.com
SOLVED The inductor in the figure (Figure 1) has inductance 0.260 H Inductor Di/Dt Calculator This calculator offers an accessible tool for students, educators, and professionals in electrical engineering to quickly compute. The calculator will compute the voltage across the inductor using the formula vi = l * (di/dt), where vi is the inductor voltage, l is. Determine the time duration (dt). Learn how to calculate the voltage drop across an inductor using the equation. Inductor Di/Dt Calculator.
From slideplayer.com
Ch. 31 Self Inductance Inductance A ppt download Inductor Di/Dt Calculator Calculate the actual relationship between voltage and current across inductance through advanced online voltage across inductance calculator by. See how the inductor behaves. Enter sine or cosine values for the current. Calculate the voltage across an inductor based on the inductance and the current that flows across it. Calculate the change in current (di) by subtracting the initial current from. Inductor Di/Dt Calculator.
From studylib.net
Mutual inductance Inductor Di/Dt Calculator Determine the time duration (dt). See how the inductor behaves. The calculator will compute the voltage across the inductor using the formula vi = l * (di/dt), where vi is the inductor voltage, l is. Calculate the actual relationship between voltage and current across inductance through advanced online voltage across inductance calculator by. Learn how to calculate the voltage drop. Inductor Di/Dt Calculator.
From angesizyb.blogspot.com
Inductor Equation V L Didt Inductor Di/Dt Calculator Enter sine or cosine values for the current. Calculate the voltage across an inductor based on the inductance and the current that flows across it. See how the inductor behaves. Calculate the change in current (di) by subtracting the initial current from the final current. This calculator offers an accessible tool for students, educators, and professionals in electrical engineering to. Inductor Di/Dt Calculator.
From www.toppr.com
b) The current flowing through an inductor of self inductance L is Inductor Di/Dt Calculator Calculate the change in current (di) by subtracting the initial current from the final current. This calculator provides a tool for quickly determining the voltage across an inductor based on its inductance, the rate of change of. Enter sine or cosine values for the current. The calculator will compute the voltage across the inductor using the formula vi = l. Inductor Di/Dt Calculator.
From angesizyb.blogspot.com
Inductor Equation V L Didt Inductor Di/Dt Calculator See how the inductor behaves. Enter the values of inductance, l(h) and rate of change of current (di/dt)(a) to determine the value of voltage across an inductor, vi(v). Calculate the actual relationship between voltage and current across inductance through advanced online voltage across inductance calculator by. Enter sine or cosine values for the current. Learn how to calculate the voltage. Inductor Di/Dt Calculator.
From www.toppr.com
b) The current flowing through an inductor of self inductance L is Inductor Di/Dt Calculator Enter sine or cosine values for the current. Calculate the change in current (di) by subtracting the initial current from the final current. Enter the values of inductance, l(h) and rate of change of current (di/dt)(a) to determine the value of voltage across an inductor, vi(v). Determine the time duration (dt). Learn how to calculate the voltage drop across an. Inductor Di/Dt Calculator.
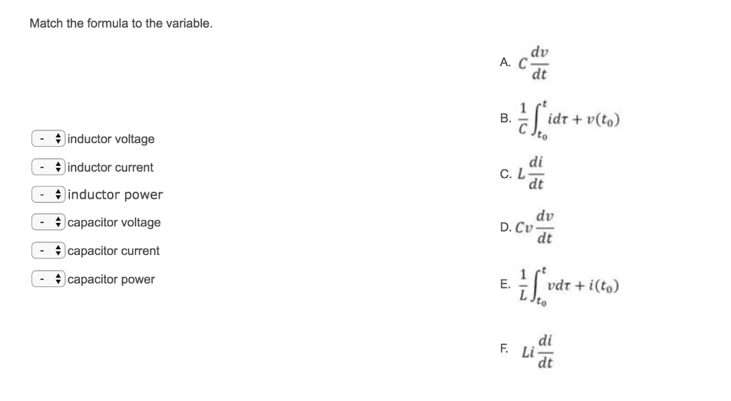
From www.chegg.com
Solved Match the formula to the variable. dv dt B. rid + Inductor Di/Dt Calculator This calculator provides a tool for quickly determining the voltage across an inductor based on its inductance, the rate of change of. Calculate the voltage across an inductor based on the inductance and the current that flows across it. Determine the time duration (dt). Enter sine or cosine values for the current. Calculate the change in current (di) by subtracting. Inductor Di/Dt Calculator.
From slidetodoc.com
Induction Mutual Inductance current and emf induced in Inductor Di/Dt Calculator See how the inductor behaves. This calculator provides a tool for quickly determining the voltage across an inductor based on its inductance, the rate of change of. The calculator will compute the voltage across the inductor using the formula vi = l * (di/dt), where vi is the inductor voltage, l is. Calculate the change in current (di) by subtracting. Inductor Di/Dt Calculator.
From lafisicayquimica.com
Inductores y Cálculo La fisica y quimica Inductor Di/Dt Calculator This calculator provides a tool for quickly determining the voltage across an inductor based on its inductance, the rate of change of. Calculate the actual relationship between voltage and current across inductance through advanced online voltage across inductance calculator by. Enter the values of inductance, l(h) and rate of change of current (di/dt)(a) to determine the value of voltage across. Inductor Di/Dt Calculator.
From www.numerade.com
SOLVED (a) Show that the two expressions for the selfinductance Inductor Di/Dt Calculator The calculator will compute the voltage across the inductor using the formula vi = l * (di/dt), where vi is the inductor voltage, l is. This calculator offers an accessible tool for students, educators, and professionals in electrical engineering to quickly compute. Calculate the voltage across an inductor based on the inductance and the current that flows across it. Enter. Inductor Di/Dt Calculator.
From hxejmxbpu.blob.core.windows.net
Inductor Calculation Formula at Norman Taylor blog Inductor Di/Dt Calculator Calculate the change in current (di) by subtracting the initial current from the final current. The calculator will compute the voltage across the inductor using the formula vi = l * (di/dt), where vi is the inductor voltage, l is. Enter sine or cosine values for the current. This calculator offers an accessible tool for students, educators, and professionals in. Inductor Di/Dt Calculator.
From www.toppr.com
b) The current flowing through an inductor of self inductance L is Inductor Di/Dt Calculator Calculate the actual relationship between voltage and current across inductance through advanced online voltage across inductance calculator by. This calculator offers an accessible tool for students, educators, and professionals in electrical engineering to quickly compute. Enter sine or cosine values for the current. Calculate the voltage across an inductor based on the inductance and the current that flows across it.. Inductor Di/Dt Calculator.
From www.chegg.com
Solved R L di dt dv dt V(t Output voltage across the Inductor Di/Dt Calculator Enter sine or cosine values for the current. See how the inductor behaves. Determine the time duration (dt). Enter the values of inductance, l(h) and rate of change of current (di/dt)(a) to determine the value of voltage across an inductor, vi(v). This calculator provides a tool for quickly determining the voltage across an inductor based on its inductance, the rate. Inductor Di/Dt Calculator.
From www.numerade.com
SOLVED The inductor in (Figure 1) has inductance 0.210 H and carries Inductor Di/Dt Calculator This calculator offers an accessible tool for students, educators, and professionals in electrical engineering to quickly compute. This calculator provides a tool for quickly determining the voltage across an inductor based on its inductance, the rate of change of. Calculate the voltage across an inductor based on the inductance and the current that flows across it. See how the inductor. Inductor Di/Dt Calculator.
From www.numerade.com
SOLVED Question 2 di R di Let L 30 be an equation representing Inductor Di/Dt Calculator Learn how to calculate the voltage drop across an inductor using the equation v = l (di/dt), where l is the inductance and di/dt is the rate of current change. Calculate the voltage across an inductor based on the inductance and the current that flows across it. The calculator will compute the voltage across the inductor using the formula vi. Inductor Di/Dt Calculator.
From www.chegg.com
Solved 30B Experiment EMF and di/dt Relationship in an Inductor Di/Dt Calculator Enter sine or cosine values for the current. Learn how to calculate the voltage drop across an inductor using the equation v = l (di/dt), where l is the inductance and di/dt is the rate of current change. Determine the time duration (dt). Enter the values of inductance, l(h) and rate of change of current (di/dt)(a) to determine the value. Inductor Di/Dt Calculator.
From www.bartleby.com
Answered inductor € == dI dt Lenz's Law The… bartleby Inductor Di/Dt Calculator Calculate the actual relationship between voltage and current across inductance through advanced online voltage across inductance calculator by. Learn how to calculate the voltage drop across an inductor using the equation v = l (di/dt), where l is the inductance and di/dt is the rate of current change. Enter sine or cosine values for the current. Calculate the voltage across. Inductor Di/Dt Calculator.
From slideplayer.com
Physics Electricity and Lecture 12 Inductance, RL Circuits Inductor Di/Dt Calculator This calculator provides a tool for quickly determining the voltage across an inductor based on its inductance, the rate of change of. Learn how to calculate the voltage drop across an inductor using the equation v = l (di/dt), where l is the inductance and di/dt is the rate of current change. The calculator will compute the voltage across the. Inductor Di/Dt Calculator.
From byjus.com
prove that half of work done by battery get stored in inductor Inductor Di/Dt Calculator Determine the time duration (dt). Calculate the change in current (di) by subtracting the initial current from the final current. Calculate the voltage across an inductor based on the inductance and the current that flows across it. Enter sine or cosine values for the current. This calculator provides a tool for quickly determining the voltage across an inductor based on. Inductor Di/Dt Calculator.
From slideplayer.com
Faraday’s Law of Induction ppt download Inductor Di/Dt Calculator Calculate the actual relationship between voltage and current across inductance through advanced online voltage across inductance calculator by. The calculator will compute the voltage across the inductor using the formula vi = l * (di/dt), where vi is the inductor voltage, l is. Calculate the voltage across an inductor based on the inductance and the current that flows across it.. Inductor Di/Dt Calculator.
From www.chegg.com
Solved 30.9. The inductor in Fig. E30.9 L has inductance Inductor Di/Dt Calculator Calculate the actual relationship between voltage and current across inductance through advanced online voltage across inductance calculator by. Enter the values of inductance, l(h) and rate of change of current (di/dt)(a) to determine the value of voltage across an inductor, vi(v). The calculator will compute the voltage across the inductor using the formula vi = l * (di/dt), where vi. Inductor Di/Dt Calculator.
From www.youtube.com
Differential Equations Practice 77 Ldi/dt + Ri = E YouTube Inductor Di/Dt Calculator Enter the values of inductance, l(h) and rate of change of current (di/dt)(a) to determine the value of voltage across an inductor, vi(v). Enter sine or cosine values for the current. Calculate the voltage across an inductor based on the inductance and the current that flows across it. Calculate the change in current (di) by subtracting the initial current from. Inductor Di/Dt Calculator.
From www.numerade.com
SOLVED E1 = L dI/dt 1 R(e^(t/RC)) = L(d^2I/dt^2) + R(dI/dt) Q Inductor Di/Dt Calculator See how the inductor behaves. Enter the values of inductance, l(h) and rate of change of current (di/dt)(a) to determine the value of voltage across an inductor, vi(v). Determine the time duration (dt). Calculate the voltage across an inductor based on the inductance and the current that flows across it. This calculator provides a tool for quickly determining the voltage. Inductor Di/Dt Calculator.
From www.yawin.in
A series circuit with resistance R, Inductance L and electromotive Inductor Di/Dt Calculator Calculate the actual relationship between voltage and current across inductance through advanced online voltage across inductance calculator by. This calculator offers an accessible tool for students, educators, and professionals in electrical engineering to quickly compute. Calculate the change in current (di) by subtracting the initial current from the final current. Calculate the voltage across an inductor based on the inductance. Inductor Di/Dt Calculator.
From hxejmxbpu.blob.core.windows.net
Inductor Calculation Formula at Norman Taylor blog Inductor Di/Dt Calculator See how the inductor behaves. Enter the values of inductance, l(h) and rate of change of current (di/dt)(a) to determine the value of voltage across an inductor, vi(v). This calculator offers an accessible tool for students, educators, and professionals in electrical engineering to quickly compute. Learn how to calculate the voltage drop across an inductor using the equation v =. Inductor Di/Dt Calculator.
From www.slideserve.com
PPT Inductors PowerPoint Presentation, free download ID392908 Inductor Di/Dt Calculator Learn how to calculate the voltage drop across an inductor using the equation v = l (di/dt), where l is the inductance and di/dt is the rate of current change. This calculator provides a tool for quickly determining the voltage across an inductor based on its inductance, the rate of change of. Enter sine or cosine values for the current.. Inductor Di/Dt Calculator.
From slideplayer.com
Physics Electricity and Lecture 12 Inductance, RL Circuits Inductor Di/Dt Calculator This calculator offers an accessible tool for students, educators, and professionals in electrical engineering to quickly compute. Enter the values of inductance, l(h) and rate of change of current (di/dt)(a) to determine the value of voltage across an inductor, vi(v). The calculator will compute the voltage across the inductor using the formula vi = l * (di/dt), where vi is. Inductor Di/Dt Calculator.
From www.studocu.com
Lecture 4 The inductor HW 2 to 2 L. di law du L di dt dt Ki Ndu L Inductor Di/Dt Calculator The calculator will compute the voltage across the inductor using the formula vi = l * (di/dt), where vi is the inductor voltage, l is. This calculator offers an accessible tool for students, educators, and professionals in electrical engineering to quickly compute. Learn how to calculate the voltage drop across an inductor using the equation v = l (di/dt), where. Inductor Di/Dt Calculator.