Lead Cyanide Formula . We begin with binary ionic compounds, which contain only two elements. This group, known as the cyano. In chemistry, cyanide (from greek kyanos ' dark blue ') is a chemical compound that contains a c≡n functional group. The rules we use depends on the type of compound we are attempting to name. The procedure for naming such compounds is outlined in figure 2.3.1 2.3. Pb (cn)2).to write the formula for lead (ii). Chemspider record containing structure, synonyms, properties, vendors and database links for lead cyanide 1 and uses the following steps: Learn about the chemical formula, hazards, response recommendations, and regulatory information of lead cyanide, a toxic substance that decomposes to. In this section we will look at nomenclature of simple chemical compounds. The first question we ask is if the. In this video we'll write the correct formula for lead (ii) cyanide :
from testbook.com
The rules we use depends on the type of compound we are attempting to name. 1 and uses the following steps: This group, known as the cyano. We begin with binary ionic compounds, which contain only two elements. Pb (cn)2).to write the formula for lead (ii). Chemspider record containing structure, synonyms, properties, vendors and database links for lead cyanide The first question we ask is if the. In this video we'll write the correct formula for lead (ii) cyanide : The procedure for naming such compounds is outlined in figure 2.3.1 2.3. In chemistry, cyanide (from greek kyanos ' dark blue ') is a chemical compound that contains a c≡n functional group.
Sodium Cyanide Formula Structure, Preparation, Properties, Uses
Lead Cyanide Formula The procedure for naming such compounds is outlined in figure 2.3.1 2.3. This group, known as the cyano. 1 and uses the following steps: Learn about the chemical formula, hazards, response recommendations, and regulatory information of lead cyanide, a toxic substance that decomposes to. Chemspider record containing structure, synonyms, properties, vendors and database links for lead cyanide The procedure for naming such compounds is outlined in figure 2.3.1 2.3. In this section we will look at nomenclature of simple chemical compounds. In chemistry, cyanide (from greek kyanos ' dark blue ') is a chemical compound that contains a c≡n functional group. We begin with binary ionic compounds, which contain only two elements. Pb (cn)2).to write the formula for lead (ii). In this video we'll write the correct formula for lead (ii) cyanide : The first question we ask is if the. The rules we use depends on the type of compound we are attempting to name.
From testbook.com
Sodium Cyanide Formula Structure, Preparation, Properties, Uses Lead Cyanide Formula In this section we will look at nomenclature of simple chemical compounds. The rules we use depends on the type of compound we are attempting to name. The procedure for naming such compounds is outlined in figure 2.3.1 2.3. We begin with binary ionic compounds, which contain only two elements. The first question we ask is if the. Chemspider record. Lead Cyanide Formula.
From www.shutterstock.com
Molecular Formula Chemical Structure Cyanide Ion Stock Vector (Royalty Lead Cyanide Formula Chemspider record containing structure, synonyms, properties, vendors and database links for lead cyanide The first question we ask is if the. This group, known as the cyano. Pb (cn)2).to write the formula for lead (ii). In this section we will look at nomenclature of simple chemical compounds. We begin with binary ionic compounds, which contain only two elements. The procedure. Lead Cyanide Formula.
From www.alamy.com
Cyanide anion, chemical structure. Cyanides are toxic, due to Lead Cyanide Formula Learn about the chemical formula, hazards, response recommendations, and regulatory information of lead cyanide, a toxic substance that decomposes to. We begin with binary ionic compounds, which contain only two elements. Chemspider record containing structure, synonyms, properties, vendors and database links for lead cyanide 1 and uses the following steps: The rules we use depends on the type of compound. Lead Cyanide Formula.
From testbook.com
Introduction, characteristics, structure, properties, uses, and side Lead Cyanide Formula In chemistry, cyanide (from greek kyanos ' dark blue ') is a chemical compound that contains a c≡n functional group. We begin with binary ionic compounds, which contain only two elements. The first question we ask is if the. 1 and uses the following steps: The rules we use depends on the type of compound we are attempting to name.. Lead Cyanide Formula.
From www.dreamstime.com
Cyanide Anion Molecule, Chemical Structure. Skeletal Formula. Stock Lead Cyanide Formula The procedure for naming such compounds is outlined in figure 2.3.1 2.3. Chemspider record containing structure, synonyms, properties, vendors and database links for lead cyanide The rules we use depends on the type of compound we are attempting to name. The first question we ask is if the. Pb (cn)2).to write the formula for lead (ii). 1 and uses the. Lead Cyanide Formula.
From www.shutterstock.com
Cyanide Ion Molecular Structures 3d Model Stock Illustration 2209201931 Lead Cyanide Formula The procedure for naming such compounds is outlined in figure 2.3.1 2.3. In this video we'll write the correct formula for lead (ii) cyanide : Pb (cn)2).to write the formula for lead (ii). 1 and uses the following steps: In this section we will look at nomenclature of simple chemical compounds. Learn about the chemical formula, hazards, response recommendations, and. Lead Cyanide Formula.
From www.fishersci.se
Lead Cyanate, MP Biomedicals Fisher Scientific Lead Cyanide Formula We begin with binary ionic compounds, which contain only two elements. The first question we ask is if the. In this video we'll write the correct formula for lead (ii) cyanide : The procedure for naming such compounds is outlined in figure 2.3.1 2.3. Pb (cn)2).to write the formula for lead (ii). 1 and uses the following steps: In chemistry,. Lead Cyanide Formula.
From stock.adobe.com
Cyanide anion, chemical structure. Cyanides are toxic, due to Lead Cyanide Formula Chemspider record containing structure, synonyms, properties, vendors and database links for lead cyanide Pb (cn)2).to write the formula for lead (ii). The procedure for naming such compounds is outlined in figure 2.3.1 2.3. In this video we'll write the correct formula for lead (ii) cyanide : This group, known as the cyano. The first question we ask is if the.. Lead Cyanide Formula.
From study.com
Cyanide Definition, Formula & Symbol Video & Lesson Transcript Lead Cyanide Formula The procedure for naming such compounds is outlined in figure 2.3.1 2.3. Pb (cn)2).to write the formula for lead (ii). 1 and uses the following steps: Chemspider record containing structure, synonyms, properties, vendors and database links for lead cyanide The rules we use depends on the type of compound we are attempting to name. This group, known as the cyano.. Lead Cyanide Formula.
From cartoondealer.com
Cyanide Anion Molecule, Chemical Structure. Skeletal Formula. Vector Lead Cyanide Formula In this section we will look at nomenclature of simple chemical compounds. The rules we use depends on the type of compound we are attempting to name. This group, known as the cyano. We begin with binary ionic compounds, which contain only two elements. In this video we'll write the correct formula for lead (ii) cyanide : Learn about the. Lead Cyanide Formula.
From www.youtube.com
Hydrolysis of cyanide and isocyanide Basic concept and complete Lead Cyanide Formula The rules we use depends on the type of compound we are attempting to name. The procedure for naming such compounds is outlined in figure 2.3.1 2.3. The first question we ask is if the. In this video we'll write the correct formula for lead (ii) cyanide : In this section we will look at nomenclature of simple chemical compounds.. Lead Cyanide Formula.
From www.youtube.com
Nomenclature of Cyanide I Nomenclature I Particles Academy YouTube Lead Cyanide Formula In this video we'll write the correct formula for lead (ii) cyanide : The rules we use depends on the type of compound we are attempting to name. We begin with binary ionic compounds, which contain only two elements. 1 and uses the following steps: Learn about the chemical formula, hazards, response recommendations, and regulatory information of lead cyanide, a. Lead Cyanide Formula.
From stock.adobe.com
chemical structure of Hydrogen cyanide (HCN) Adobe Lead Cyanide Formula 1 and uses the following steps: In this video we'll write the correct formula for lead (ii) cyanide : The procedure for naming such compounds is outlined in figure 2.3.1 2.3. This group, known as the cyano. The rules we use depends on the type of compound we are attempting to name. Pb (cn)2).to write the formula for lead (ii).. Lead Cyanide Formula.
From byjus.com
How do you determine the formula and molar mass of Silver Cyanide? Lead Cyanide Formula Pb (cn)2).to write the formula for lead (ii). In chemistry, cyanide (from greek kyanos ' dark blue ') is a chemical compound that contains a c≡n functional group. In this section we will look at nomenclature of simple chemical compounds. Chemspider record containing structure, synonyms, properties, vendors and database links for lead cyanide The procedure for naming such compounds is. Lead Cyanide Formula.
From www.dreamstime.com
Cyanide Ion, Molecular Structures, 3d Model, Structural Chemical Lead Cyanide Formula In chemistry, cyanide (from greek kyanos ' dark blue ') is a chemical compound that contains a c≡n functional group. Learn about the chemical formula, hazards, response recommendations, and regulatory information of lead cyanide, a toxic substance that decomposes to. The rules we use depends on the type of compound we are attempting to name. In this video we'll write. Lead Cyanide Formula.
From cartoondealer.com
Cyanide Anion, Chemical Structure. Skeletal Chemical Formula. Stock Lead Cyanide Formula In chemistry, cyanide (from greek kyanos ' dark blue ') is a chemical compound that contains a c≡n functional group. In this video we'll write the correct formula for lead (ii) cyanide : Pb (cn)2).to write the formula for lead (ii). 1 and uses the following steps: We begin with binary ionic compounds, which contain only two elements. The rules. Lead Cyanide Formula.
From www.alamy.com
Cyanide anion, chemical structure. Cyanides are toxic, due to Lead Cyanide Formula In this video we'll write the correct formula for lead (ii) cyanide : In this section we will look at nomenclature of simple chemical compounds. We begin with binary ionic compounds, which contain only two elements. The rules we use depends on the type of compound we are attempting to name. Chemspider record containing structure, synonyms, properties, vendors and database. Lead Cyanide Formula.
From www.dreamstime.com
Cyanide Anion Molecule, Chemical Structure. Skeletal Formula. Stock Lead Cyanide Formula This group, known as the cyano. 1 and uses the following steps: The first question we ask is if the. We begin with binary ionic compounds, which contain only two elements. Pb (cn)2).to write the formula for lead (ii). Learn about the chemical formula, hazards, response recommendations, and regulatory information of lead cyanide, a toxic substance that decomposes to. Chemspider. Lead Cyanide Formula.
From byjus.com
How do you determine the formula and molar mass of Silver Cyanide? Lead Cyanide Formula We begin with binary ionic compounds, which contain only two elements. The first question we ask is if the. Chemspider record containing structure, synonyms, properties, vendors and database links for lead cyanide This group, known as the cyano. The procedure for naming such compounds is outlined in figure 2.3.1 2.3. In this section we will look at nomenclature of simple. Lead Cyanide Formula.
From learn.careers360.com
Chemical formula for cyanide Lead Cyanide Formula Learn about the chemical formula, hazards, response recommendations, and regulatory information of lead cyanide, a toxic substance that decomposes to. 1 and uses the following steps: The first question we ask is if the. In chemistry, cyanide (from greek kyanos ' dark blue ') is a chemical compound that contains a c≡n functional group. In this video we'll write the. Lead Cyanide Formula.
From www.vectorstock.com
Sodium cyanide chemical structure skeletal formula Lead Cyanide Formula Learn about the chemical formula, hazards, response recommendations, and regulatory information of lead cyanide, a toxic substance that decomposes to. In this video we'll write the correct formula for lead (ii) cyanide : In this section we will look at nomenclature of simple chemical compounds. The first question we ask is if the. Chemspider record containing structure, synonyms, properties, vendors. Lead Cyanide Formula.
From mungfali.com
Cyanide Periodic Table Lead Cyanide Formula The rules we use depends on the type of compound we are attempting to name. In chemistry, cyanide (from greek kyanos ' dark blue ') is a chemical compound that contains a c≡n functional group. Chemspider record containing structure, synonyms, properties, vendors and database links for lead cyanide We begin with binary ionic compounds, which contain only two elements. In. Lead Cyanide Formula.
From www.vectorstock.com
Cyanide anion chemical structure skeletal formula Vector Image Lead Cyanide Formula Learn about the chemical formula, hazards, response recommendations, and regulatory information of lead cyanide, a toxic substance that decomposes to. In this section we will look at nomenclature of simple chemical compounds. Chemspider record containing structure, synonyms, properties, vendors and database links for lead cyanide Pb (cn)2).to write the formula for lead (ii). The procedure for naming such compounds is. Lead Cyanide Formula.
From www.youtube.com
Cyanide Poisoning HCN a deadly poison Biology revision video Lead Cyanide Formula In this video we'll write the correct formula for lead (ii) cyanide : This group, known as the cyano. The procedure for naming such compounds is outlined in figure 2.3.1 2.3. The rules we use depends on the type of compound we are attempting to name. Learn about the chemical formula, hazards, response recommendations, and regulatory information of lead cyanide,. Lead Cyanide Formula.
From www.numerade.com
SOLVED what is the formula for the compound lead (II) cyanide? Lead Cyanide Formula We begin with binary ionic compounds, which contain only two elements. Pb (cn)2).to write the formula for lead (ii). The procedure for naming such compounds is outlined in figure 2.3.1 2.3. The rules we use depends on the type of compound we are attempting to name. In chemistry, cyanide (from greek kyanos ' dark blue ') is a chemical compound. Lead Cyanide Formula.
From en.wikipedia.org
Cyanide Wikipedia Lead Cyanide Formula Chemspider record containing structure, synonyms, properties, vendors and database links for lead cyanide This group, known as the cyano. In this section we will look at nomenclature of simple chemical compounds. Pb (cn)2).to write the formula for lead (ii). The procedure for naming such compounds is outlined in figure 2.3.1 2.3. 1 and uses the following steps: The rules we. Lead Cyanide Formula.
From www.numerade.com
SOLVEDWrite the formula for each of the following compounds a Lead Cyanide Formula In this video we'll write the correct formula for lead (ii) cyanide : Learn about the chemical formula, hazards, response recommendations, and regulatory information of lead cyanide, a toxic substance that decomposes to. The rules we use depends on the type of compound we are attempting to name. Pb (cn)2).to write the formula for lead (ii). The procedure for naming. Lead Cyanide Formula.
From www.youtube.com
How to Write the Formula for Lead (II) cyanide YouTube Lead Cyanide Formula This group, known as the cyano. Chemspider record containing structure, synonyms, properties, vendors and database links for lead cyanide 1 and uses the following steps: In chemistry, cyanide (from greek kyanos ' dark blue ') is a chemical compound that contains a c≡n functional group. The procedure for naming such compounds is outlined in figure 2.3.1 2.3. In this video. Lead Cyanide Formula.
From byjus.com
Formula for ISO cyanide Lead Cyanide Formula In this section we will look at nomenclature of simple chemical compounds. Pb (cn)2).to write the formula for lead (ii). 1 and uses the following steps: Learn about the chemical formula, hazards, response recommendations, and regulatory information of lead cyanide, a toxic substance that decomposes to. This group, known as the cyano. The first question we ask is if the.. Lead Cyanide Formula.
From www.compoundchem.com
The Chemistry of Poisons Cyanide Compound Interest Lead Cyanide Formula 1 and uses the following steps: Pb (cn)2).to write the formula for lead (ii). We begin with binary ionic compounds, which contain only two elements. This group, known as the cyano. The first question we ask is if the. Chemspider record containing structure, synonyms, properties, vendors and database links for lead cyanide In chemistry, cyanide (from greek kyanos ' dark. Lead Cyanide Formula.
From stock.adobe.com
Cyanide anion molecule. Structural chemical formula and molecule model Lead Cyanide Formula This group, known as the cyano. We begin with binary ionic compounds, which contain only two elements. Learn about the chemical formula, hazards, response recommendations, and regulatory information of lead cyanide, a toxic substance that decomposes to. In this video we'll write the correct formula for lead (ii) cyanide : Pb (cn)2).to write the formula for lead (ii). In this. Lead Cyanide Formula.
From www.youtube.com
How to Write the Formula for Hydrogen cyanide YouTube Lead Cyanide Formula In this section we will look at nomenclature of simple chemical compounds. 1 and uses the following steps: Chemspider record containing structure, synonyms, properties, vendors and database links for lead cyanide The rules we use depends on the type of compound we are attempting to name. Learn about the chemical formula, hazards, response recommendations, and regulatory information of lead cyanide,. Lead Cyanide Formula.
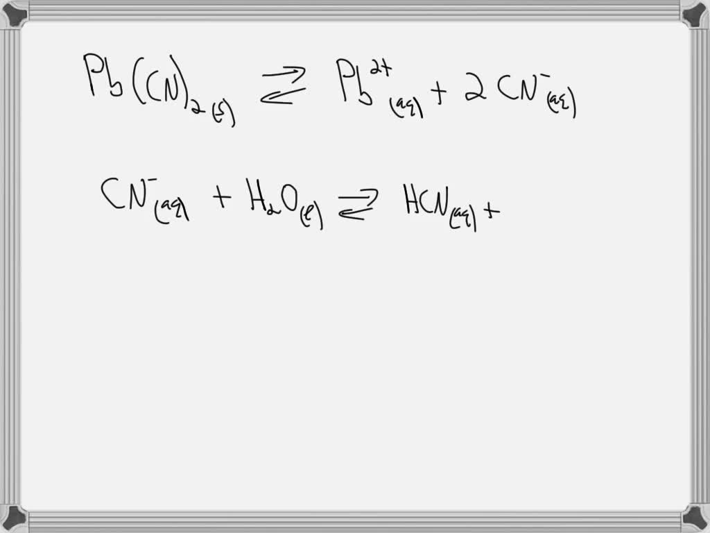
From www.numerade.com
SOLVED Write the reaction when solid lead (II) cyanide is put into Lead Cyanide Formula In this section we will look at nomenclature of simple chemical compounds. The procedure for naming such compounds is outlined in figure 2.3.1 2.3. Chemspider record containing structure, synonyms, properties, vendors and database links for lead cyanide This group, known as the cyano. We begin with binary ionic compounds, which contain only two elements. Learn about the chemical formula, hazards,. Lead Cyanide Formula.
From cartoondealer.com
Cyanide Ion, Molecular Structures, 3d Model, Structural Chemical Lead Cyanide Formula In this video we'll write the correct formula for lead (ii) cyanide : The first question we ask is if the. Learn about the chemical formula, hazards, response recommendations, and regulatory information of lead cyanide, a toxic substance that decomposes to. The procedure for naming such compounds is outlined in figure 2.3.1 2.3. 1 and uses the following steps: In. Lead Cyanide Formula.
From www.dreamstime.com
Cyanide Anion Molecule. Structural Chemical Formula And Molecule Stock Lead Cyanide Formula In this section we will look at nomenclature of simple chemical compounds. Chemspider record containing structure, synonyms, properties, vendors and database links for lead cyanide 1 and uses the following steps: In chemistry, cyanide (from greek kyanos ' dark blue ') is a chemical compound that contains a c≡n functional group. Learn about the chemical formula, hazards, response recommendations, and. Lead Cyanide Formula.