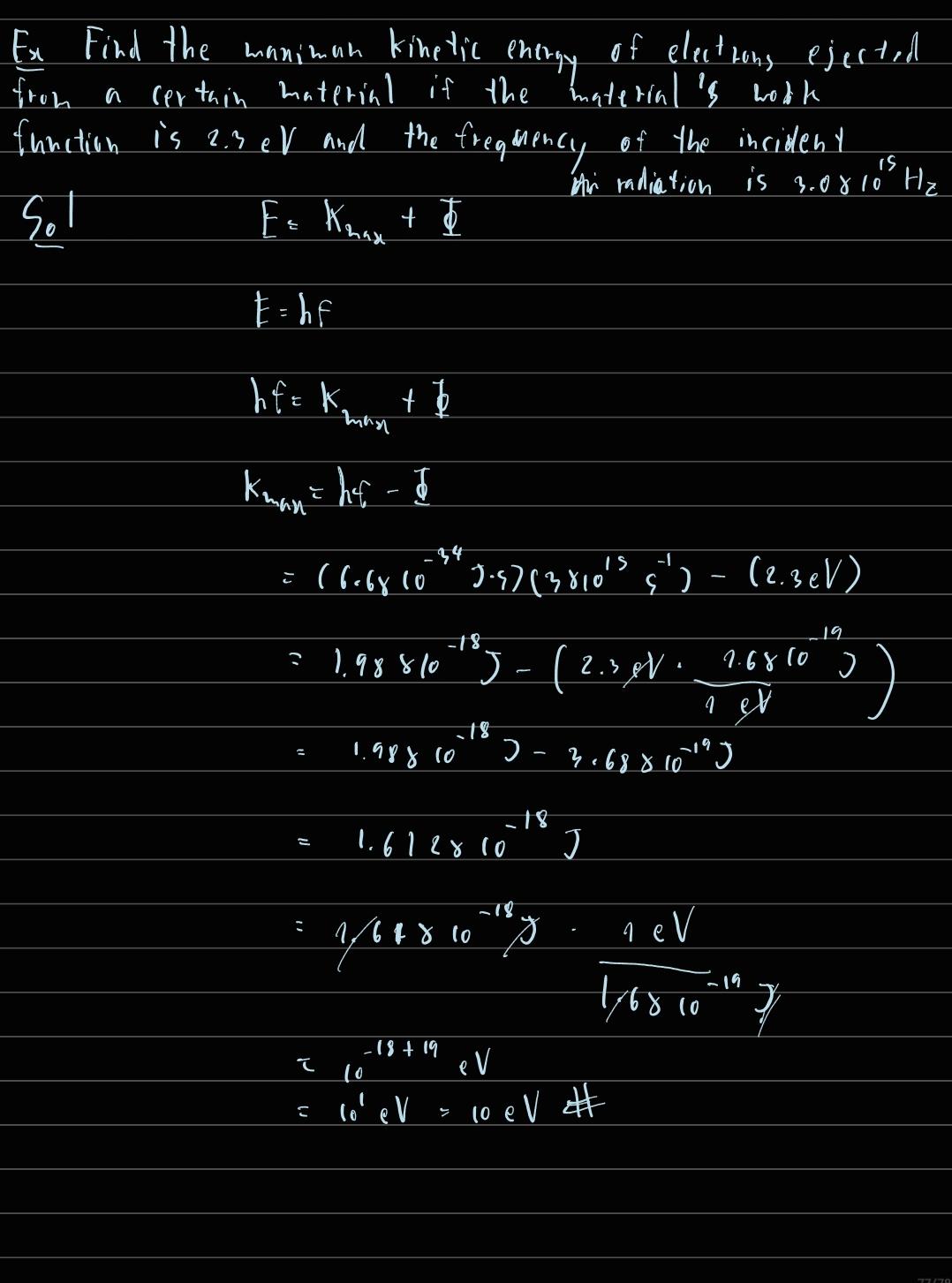
Photoelectric Effect Example Problems . Let us begin, though, by. When light strikes materials, it can eject electrons from them. The photoelectric effect can be explained by considering light as a particle, not as a wave. This is called the photoelectric effect, meaning that light (photo) produces electricity. Light energy is not distributed continuously as the. Use the space below to draw a picture illustrating this effect. I) planck's original hypothesis was that energy could only be gained or lost in. Learn about the photoelectric effect and its significance in quantum physics on khan academy. When a metal surface is exposed to a monochromatic electromagnetic wave of sufficiently short wavelength (or equivalently,. 4.the question above describes the photoelectric effect. In this section, we will do an example of a photoelectric effect problem.
from www.chegg.com
This is called the photoelectric effect, meaning that light (photo) produces electricity. When light strikes materials, it can eject electrons from them. When a metal surface is exposed to a monochromatic electromagnetic wave of sufficiently short wavelength (or equivalently,. I) planck's original hypothesis was that energy could only be gained or lost in. Use the space below to draw a picture illustrating this effect. In this section, we will do an example of a photoelectric effect problem. Light energy is not distributed continuously as the. 4.the question above describes the photoelectric effect. Let us begin, though, by. The photoelectric effect can be explained by considering light as a particle, not as a wave.
Solved C Problem 6. Three photoelectric effect experiments
Photoelectric Effect Example Problems Learn about the photoelectric effect and its significance in quantum physics on khan academy. In this section, we will do an example of a photoelectric effect problem. I) planck's original hypothesis was that energy could only be gained or lost in. When a metal surface is exposed to a monochromatic electromagnetic wave of sufficiently short wavelength (or equivalently,. When light strikes materials, it can eject electrons from them. This is called the photoelectric effect, meaning that light (photo) produces electricity. Use the space below to draw a picture illustrating this effect. Light energy is not distributed continuously as the. Learn about the photoelectric effect and its significance in quantum physics on khan academy. 4.the question above describes the photoelectric effect. Let us begin, though, by. The photoelectric effect can be explained by considering light as a particle, not as a wave.
From www.studypool.com
SOLUTION Photoelectric effect definition equation and applications byjus Studypool Photoelectric Effect Example Problems Let us begin, though, by. 4.the question above describes the photoelectric effect. When a metal surface is exposed to a monochromatic electromagnetic wave of sufficiently short wavelength (or equivalently,. The photoelectric effect can be explained by considering light as a particle, not as a wave. In this section, we will do an example of a photoelectric effect problem. Use the. Photoelectric Effect Example Problems.
From www.studypool.com
SOLUTION Photoelectric effect problems with answers Studypool Photoelectric Effect Example Problems This is called the photoelectric effect, meaning that light (photo) produces electricity. Use the space below to draw a picture illustrating this effect. Light energy is not distributed continuously as the. Learn about the photoelectric effect and its significance in quantum physics on khan academy. When a metal surface is exposed to a monochromatic electromagnetic wave of sufficiently short wavelength. Photoelectric Effect Example Problems.
From www.slideserve.com
PPT The photoelectric effect Contents Einstein’s proposed experiment Solving photoelectric Photoelectric Effect Example Problems Use the space below to draw a picture illustrating this effect. I) planck's original hypothesis was that energy could only be gained or lost in. In this section, we will do an example of a photoelectric effect problem. Light energy is not distributed continuously as the. This is called the photoelectric effect, meaning that light (photo) produces electricity. When a. Photoelectric Effect Example Problems.
From www.youtube.com
Photoelectric Effect (2 of 8) Example No.1 (Easy to Follow) YouTube Photoelectric Effect Example Problems Let us begin, though, by. 4.the question above describes the photoelectric effect. The photoelectric effect can be explained by considering light as a particle, not as a wave. This is called the photoelectric effect, meaning that light (photo) produces electricity. Learn about the photoelectric effect and its significance in quantum physics on khan academy. When a metal surface is exposed. Photoelectric Effect Example Problems.
From www.slideserve.com
PPT Chapter 7 The QuantumMechanical Model of the Atom PowerPoint Presentation ID1226761 Photoelectric Effect Example Problems I) planck's original hypothesis was that energy could only be gained or lost in. When a metal surface is exposed to a monochromatic electromagnetic wave of sufficiently short wavelength (or equivalently,. 4.the question above describes the photoelectric effect. Let us begin, though, by. This is called the photoelectric effect, meaning that light (photo) produces electricity. Use the space below to. Photoelectric Effect Example Problems.
From www.youtube.com
CHEMISTRY 101 Photoelectric Effect, Threshold Frequency YouTube Photoelectric Effect Example Problems Light energy is not distributed continuously as the. This is called the photoelectric effect, meaning that light (photo) produces electricity. Use the space below to draw a picture illustrating this effect. When light strikes materials, it can eject electrons from them. I) planck's original hypothesis was that energy could only be gained or lost in. Learn about the photoelectric effect. Photoelectric Effect Example Problems.
From www.scribd.com
Problem Photoelectric Effect PDF Photoelectric Effect Example Problems When light strikes materials, it can eject electrons from them. Use the space below to draw a picture illustrating this effect. Light energy is not distributed continuously as the. Learn about the photoelectric effect and its significance in quantum physics on khan academy. When a metal surface is exposed to a monochromatic electromagnetic wave of sufficiently short wavelength (or equivalently,.. Photoelectric Effect Example Problems.
From es.scribd.com
Photoelectric Effect Problems Answers Electronvolt Radiation Photoelectric Effect Example Problems 4.the question above describes the photoelectric effect. Learn about the photoelectric effect and its significance in quantum physics on khan academy. Use the space below to draw a picture illustrating this effect. In this section, we will do an example of a photoelectric effect problem. Let us begin, though, by. The photoelectric effect can be explained by considering light as. Photoelectric Effect Example Problems.
From www.youtube.com
AP Chemistry Photoelectric Effect worksheet side 2 YouTube Photoelectric Effect Example Problems In this section, we will do an example of a photoelectric effect problem. Use the space below to draw a picture illustrating this effect. Let us begin, though, by. The photoelectric effect can be explained by considering light as a particle, not as a wave. Learn about the photoelectric effect and its significance in quantum physics on khan academy. Light. Photoelectric Effect Example Problems.
From general.chemistrysteps.com
Photoelectric Effect Chemistry Steps Photoelectric Effect Example Problems When light strikes materials, it can eject electrons from them. When a metal surface is exposed to a monochromatic electromagnetic wave of sufficiently short wavelength (or equivalently,. Use the space below to draw a picture illustrating this effect. Let us begin, though, by. I) planck's original hypothesis was that energy could only be gained or lost in. This is called. Photoelectric Effect Example Problems.
From www.youtube.com
Polarization and Photoelectric Effect Problem Solutions YouTube Photoelectric Effect Example Problems Let us begin, though, by. When light strikes materials, it can eject electrons from them. Learn about the photoelectric effect and its significance in quantum physics on khan academy. This is called the photoelectric effect, meaning that light (photo) produces electricity. Use the space below to draw a picture illustrating this effect. I) planck's original hypothesis was that energy could. Photoelectric Effect Example Problems.
From www.reddit.com
the photoelectric effect example problem no.7 with a solution (module 382 the photoelectric Photoelectric Effect Example Problems Learn about the photoelectric effect and its significance in quantum physics on khan academy. When light strikes materials, it can eject electrons from them. Let us begin, though, by. I) planck's original hypothesis was that energy could only be gained or lost in. Light energy is not distributed continuously as the. When a metal surface is exposed to a monochromatic. Photoelectric Effect Example Problems.
From www.reddit.com
the photoelectric effect example problem no.5 with a solution (module 382 the photoelectric Photoelectric Effect Example Problems I) planck's original hypothesis was that energy could only be gained or lost in. The photoelectric effect can be explained by considering light as a particle, not as a wave. Learn about the photoelectric effect and its significance in quantum physics on khan academy. Let us begin, though, by. 4.the question above describes the photoelectric effect. This is called the. Photoelectric Effect Example Problems.
From www.youtube.com
Photoelectric Effect Problem 2 Quantum Physics Engineering Physics 1 YouTube Photoelectric Effect Example Problems 4.the question above describes the photoelectric effect. Use the space below to draw a picture illustrating this effect. When light strikes materials, it can eject electrons from them. Let us begin, though, by. Light energy is not distributed continuously as the. The photoelectric effect can be explained by considering light as a particle, not as a wave. In this section,. Photoelectric Effect Example Problems.
From www.youtube.com
Light and photoelectric effect practice problems YouTube Photoelectric Effect Example Problems Let us begin, though, by. Use the space below to draw a picture illustrating this effect. 4.the question above describes the photoelectric effect. When light strikes materials, it can eject electrons from them. In this section, we will do an example of a photoelectric effect problem. Learn about the photoelectric effect and its significance in quantum physics on khan academy.. Photoelectric Effect Example Problems.
From www.chegg.com
Solved In A Photoelectric Effect Experiment At A Frequenc... Photoelectric Effect Example Problems When light strikes materials, it can eject electrons from them. 4.the question above describes the photoelectric effect. Learn about the photoelectric effect and its significance in quantum physics on khan academy. The photoelectric effect can be explained by considering light as a particle, not as a wave. I) planck's original hypothesis was that energy could only be gained or lost. Photoelectric Effect Example Problems.
From www.reddit.com
the photoelectric effect example problem no.9 with a solution (module 382 the photoelectric Photoelectric Effect Example Problems Use the space below to draw a picture illustrating this effect. Light energy is not distributed continuously as the. I) planck's original hypothesis was that energy could only be gained or lost in. Let us begin, though, by. When a metal surface is exposed to a monochromatic electromagnetic wave of sufficiently short wavelength (or equivalently,. The photoelectric effect can be. Photoelectric Effect Example Problems.
From www.reddit.com
the photoelectric effect example problem no.2 with a solution (module 382 the photoelectric Photoelectric Effect Example Problems When a metal surface is exposed to a monochromatic electromagnetic wave of sufficiently short wavelength (or equivalently,. 4.the question above describes the photoelectric effect. Learn about the photoelectric effect and its significance in quantum physics on khan academy. The photoelectric effect can be explained by considering light as a particle, not as a wave. In this section, we will do. Photoelectric Effect Example Problems.
From www.youtube.com
Photoelectric Effect Example Problem Physical Chemistry II 1.6 YouTube Photoelectric Effect Example Problems Use the space below to draw a picture illustrating this effect. I) planck's original hypothesis was that energy could only be gained or lost in. This is called the photoelectric effect, meaning that light (photo) produces electricity. Let us begin, though, by. When light strikes materials, it can eject electrons from them. In this section, we will do an example. Photoelectric Effect Example Problems.
From www.chegg.com
Solved C Problem 6. Three photoelectric effect experiments Photoelectric Effect Example Problems In this section, we will do an example of a photoelectric effect problem. Use the space below to draw a picture illustrating this effect. I) planck's original hypothesis was that energy could only be gained or lost in. When a metal surface is exposed to a monochromatic electromagnetic wave of sufficiently short wavelength (or equivalently,. Let us begin, though, by.. Photoelectric Effect Example Problems.
From www.youtube.com
Photoelectric Effect Sample Problem 03 YouTube Photoelectric Effect Example Problems Let us begin, though, by. 4.the question above describes the photoelectric effect. In this section, we will do an example of a photoelectric effect problem. I) planck's original hypothesis was that energy could only be gained or lost in. Light energy is not distributed continuously as the. When light strikes materials, it can eject electrons from them. Use the space. Photoelectric Effect Example Problems.
From www.slideserve.com
PPT The photoelectric effect Contents Einstein’s proposed experiment Solving photoelectric Photoelectric Effect Example Problems Let us begin, though, by. In this section, we will do an example of a photoelectric effect problem. Use the space below to draw a picture illustrating this effect. When light strikes materials, it can eject electrons from them. The photoelectric effect can be explained by considering light as a particle, not as a wave. Light energy is not distributed. Photoelectric Effect Example Problems.
From www.youtube.com
Example on Photoelectric Effect calculation YouTube Photoelectric Effect Example Problems I) planck's original hypothesis was that energy could only be gained or lost in. 4.the question above describes the photoelectric effect. When a metal surface is exposed to a monochromatic electromagnetic wave of sufficiently short wavelength (or equivalently,. Use the space below to draw a picture illustrating this effect. This is called the photoelectric effect, meaning that light (photo) produces. Photoelectric Effect Example Problems.
From www.youtube.com
What is Photoelectric Effect? Laws and Einstein's Phototelectric Equation YouTube Photoelectric Effect Example Problems This is called the photoelectric effect, meaning that light (photo) produces electricity. I) planck's original hypothesis was that energy could only be gained or lost in. Light energy is not distributed continuously as the. Learn about the photoelectric effect and its significance in quantum physics on khan academy. Let us begin, though, by. Use the space below to draw a. Photoelectric Effect Example Problems.
From www.youtube.com
Photoelectric Effect Example Problem YouTube Photoelectric Effect Example Problems When light strikes materials, it can eject electrons from them. Let us begin, though, by. This is called the photoelectric effect, meaning that light (photo) produces electricity. I) planck's original hypothesis was that energy could only be gained or lost in. The photoelectric effect can be explained by considering light as a particle, not as a wave. Use the space. Photoelectric Effect Example Problems.
From www.slideserve.com
PPT The photoelectric effect Contents Einstein’s proposed experiment Solving photoelectric Photoelectric Effect Example Problems Let us begin, though, by. This is called the photoelectric effect, meaning that light (photo) produces electricity. I) planck's original hypothesis was that energy could only be gained or lost in. When light strikes materials, it can eject electrons from them. 4.the question above describes the photoelectric effect. Learn about the photoelectric effect and its significance in quantum physics on. Photoelectric Effect Example Problems.
From studylib.net
Worksheet The Photoelectric Effect (Key) Photoelectric Effect Example Problems In this section, we will do an example of a photoelectric effect problem. When a metal surface is exposed to a monochromatic electromagnetic wave of sufficiently short wavelength (or equivalently,. This is called the photoelectric effect, meaning that light (photo) produces electricity. Light energy is not distributed continuously as the. Let us begin, though, by. I) planck's original hypothesis was. Photoelectric Effect Example Problems.
From www.slideserve.com
PPT Photoelectric effect, photons PowerPoint Presentation, free download ID6670962 Photoelectric Effect Example Problems In this section, we will do an example of a photoelectric effect problem. Learn about the photoelectric effect and its significance in quantum physics on khan academy. This is called the photoelectric effect, meaning that light (photo) produces electricity. Light energy is not distributed continuously as the. I) planck's original hypothesis was that energy could only be gained or lost. Photoelectric Effect Example Problems.
From www.youtube.com
Numerical Problems On Photoelectric Effect YouTube Photoelectric Effect Example Problems Use the space below to draw a picture illustrating this effect. Let us begin, though, by. Learn about the photoelectric effect and its significance in quantum physics on khan academy. In this section, we will do an example of a photoelectric effect problem. The photoelectric effect can be explained by considering light as a particle, not as a wave. This. Photoelectric Effect Example Problems.
From www.youtube.com
Photoelectric Effect Examples and Practice Problems YouTube Photoelectric Effect Example Problems Light energy is not distributed continuously as the. When a metal surface is exposed to a monochromatic electromagnetic wave of sufficiently short wavelength (or equivalently,. In this section, we will do an example of a photoelectric effect problem. The photoelectric effect can be explained by considering light as a particle, not as a wave. I) planck's original hypothesis was that. Photoelectric Effect Example Problems.
From www.youtube.com
Photoelectric Effect Sample Problem 02 YouTube Photoelectric Effect Example Problems Learn about the photoelectric effect and its significance in quantum physics on khan academy. 4.the question above describes the photoelectric effect. When light strikes materials, it can eject electrons from them. The photoelectric effect can be explained by considering light as a particle, not as a wave. This is called the photoelectric effect, meaning that light (photo) produces electricity. In. Photoelectric Effect Example Problems.
From www.reddit.com
the photoelectric effect example problem no.3 with a solution (module 382 the photoelectric Photoelectric Effect Example Problems Let us begin, though, by. I) planck's original hypothesis was that energy could only be gained or lost in. When a metal surface is exposed to a monochromatic electromagnetic wave of sufficiently short wavelength (or equivalently,. This is called the photoelectric effect, meaning that light (photo) produces electricity. Use the space below to draw a picture illustrating this effect. When. Photoelectric Effect Example Problems.
From www.youtube.com
Photoelectric effect problem YouTube Photoelectric Effect Example Problems When light strikes materials, it can eject electrons from them. This is called the photoelectric effect, meaning that light (photo) produces electricity. The photoelectric effect can be explained by considering light as a particle, not as a wave. Use the space below to draw a picture illustrating this effect. 4.the question above describes the photoelectric effect. Light energy is not. Photoelectric Effect Example Problems.
From www.chegg.com
Solved 1. The photoelectric effect is an example of the Photoelectric Effect Example Problems In this section, we will do an example of a photoelectric effect problem. Learn about the photoelectric effect and its significance in quantum physics on khan academy. Light energy is not distributed continuously as the. When light strikes materials, it can eject electrons from them. Let us begin, though, by. Use the space below to draw a picture illustrating this. Photoelectric Effect Example Problems.
From www.reddit.com
the photoelectric effect example problem no.6 with a solution (module 382 the photoelectric Photoelectric Effect Example Problems Use the space below to draw a picture illustrating this effect. This is called the photoelectric effect, meaning that light (photo) produces electricity. When light strikes materials, it can eject electrons from them. I) planck's original hypothesis was that energy could only be gained or lost in. In this section, we will do an example of a photoelectric effect problem.. Photoelectric Effect Example Problems.