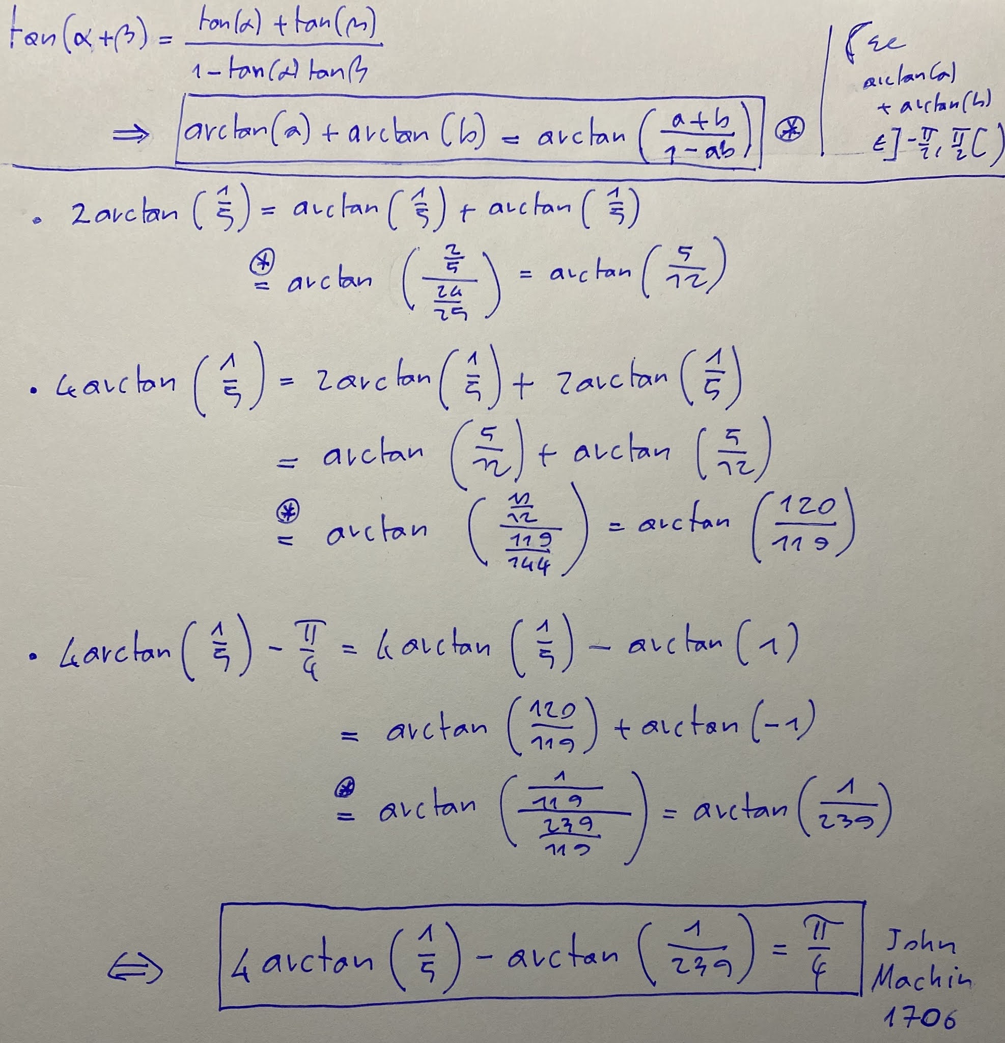
Pi Machin Formula . In 1706 john machin came up with the first really fast method of calculating π and used it to calculate π to 100 decimal places. \[ \pi = 16 \tan^{. Machin's formula for computing pi. Frederick rickey department of mathematical sciences united states military academy west point, ny.
from www.cuemath.com
Machin's formula for computing pi. Frederick rickey department of mathematical sciences united states military academy west point, ny. In 1706 john machin came up with the first really fast method of calculating π and used it to calculate π to 100 decimal places. \[ \pi = 16 \tan^{.
Pi Formula What Is Pi Formula? Examples
Pi Machin Formula \[ \pi = 16 \tan^{. Machin's formula for computing pi. In 1706 john machin came up with the first really fast method of calculating π and used it to calculate π to 100 decimal places. \[ \pi = 16 \tan^{. Frederick rickey department of mathematical sciences united states military academy west point, ny.
From www.semanticscholar.org
Figure 1 from An iteration procedure for a twoterm Machinlike formula Pi Machin Formula Frederick rickey department of mathematical sciences united states military academy west point, ny. In 1706 john machin came up with the first really fast method of calculating π and used it to calculate π to 100 decimal places. \[ \pi = 16 \tan^{. Machin's formula for computing pi. Pi Machin Formula.
From demonstrations.wolfram.com
Machin's Computation of Pi Wolfram Demonstrations Project Pi Machin Formula In 1706 john machin came up with the first really fast method of calculating π and used it to calculate π to 100 decimal places. Machin's formula for computing pi. Frederick rickey department of mathematical sciences united states military academy west point, ny. \[ \pi = 16 \tan^{. Pi Machin Formula.
From www.youtube.com
Calculating Pi By Hand Machin's Method YouTube Pi Machin Formula \[ \pi = 16 \tan^{. In 1706 john machin came up with the first really fast method of calculating π and used it to calculate π to 100 decimal places. Machin's formula for computing pi. Frederick rickey department of mathematical sciences united states military academy west point, ny. Pi Machin Formula.
From www.numerade.com
SOLVED(a) In 1706 the British astronomer and mathematician John Machin Pi Machin Formula Frederick rickey department of mathematical sciences united states military academy west point, ny. \[ \pi = 16 \tan^{. Machin's formula for computing pi. In 1706 john machin came up with the first really fast method of calculating π and used it to calculate π to 100 decimal places. Pi Machin Formula.
From www.youtube.com
Machin’s Formula prove of pi YouTube Pi Machin Formula In 1706 john machin came up with the first really fast method of calculating π and used it to calculate π to 100 decimal places. Machin's formula for computing pi. \[ \pi = 16 \tan^{. Frederick rickey department of mathematical sciences united states military academy west point, ny. Pi Machin Formula.
From www.youtube.com
Pi. Series rápidas que convergen a Pi, con GeoGebra. YouTube Pi Machin Formula \[ \pi = 16 \tan^{. Frederick rickey department of mathematical sciences united states military academy west point, ny. In 1706 john machin came up with the first really fast method of calculating π and used it to calculate π to 100 decimal places. Machin's formula for computing pi. Pi Machin Formula.
From www.researchgate.net
(PDF) A new form of the Machinlike formula for pi by iteration with Pi Machin Formula Machin's formula for computing pi. In 1706 john machin came up with the first really fast method of calculating π and used it to calculate π to 100 decimal places. \[ \pi = 16 \tan^{. Frederick rickey department of mathematical sciences united states military academy west point, ny. Pi Machin Formula.
From www.researchgate.net
new formula of pi by dr. abdelghani ferdi Download Scientific Diagram Pi Machin Formula Frederick rickey department of mathematical sciences united states military academy west point, ny. Machin's formula for computing pi. \[ \pi = 16 \tan^{. In 1706 john machin came up with the first really fast method of calculating π and used it to calculate π to 100 decimal places. Pi Machin Formula.
From www.slideserve.com
PPT Pi Facts and History of Pi PowerPoint Presentation, free download Pi Machin Formula In 1706 john machin came up with the first really fast method of calculating π and used it to calculate π to 100 decimal places. \[ \pi = 16 \tan^{. Frederick rickey department of mathematical sciences united states military academy west point, ny. Machin's formula for computing pi. Pi Machin Formula.
From www.slideserve.com
PPT On Machinlike formulas and Gaussian integers PowerPoint Pi Machin Formula In 1706 john machin came up with the first really fast method of calculating π and used it to calculate π to 100 decimal places. \[ \pi = 16 \tan^{. Frederick rickey department of mathematical sciences united states military academy west point, ny. Machin's formula for computing pi. Pi Machin Formula.
From www.youtube.com
Calculating First 10 Digits of Pi By Hand (No Calculator) Using Machin Pi Machin Formula Frederick rickey department of mathematical sciences united states military academy west point, ny. Machin's formula for computing pi. In 1706 john machin came up with the first really fast method of calculating π and used it to calculate π to 100 decimal places. \[ \pi = 16 \tan^{. Pi Machin Formula.
From demonstrations.wolfram.com
Machin's Computation of Pi Wolfram Demonstrations Project Pi Machin Formula \[ \pi = 16 \tan^{. Machin's formula for computing pi. In 1706 john machin came up with the first really fast method of calculating π and used it to calculate π to 100 decimal places. Frederick rickey department of mathematical sciences united states military academy west point, ny. Pi Machin Formula.
From commons.wikimedia.org
FileMachin Formula.svg Wikimedia Commons Pi Machin Formula In 1706 john machin came up with the first really fast method of calculating π and used it to calculate π to 100 decimal places. Frederick rickey department of mathematical sciences united states military academy west point, ny. \[ \pi = 16 \tan^{. Machin's formula for computing pi. Pi Machin Formula.
From www.youtube.com
Pack's Maths Classics 26 Formule de Machin YouTube Pi Machin Formula \[ \pi = 16 \tan^{. In 1706 john machin came up with the first really fast method of calculating π and used it to calculate π to 100 decimal places. Frederick rickey department of mathematical sciences united states military academy west point, ny. Machin's formula for computing pi. Pi Machin Formula.
From www.scribd.com
Numerical Approximation of Pi using Machin's Formula, Taylor Series Pi Machin Formula Machin's formula for computing pi. Frederick rickey department of mathematical sciences united states military academy west point, ny. \[ \pi = 16 \tan^{. In 1706 john machin came up with the first really fast method of calculating π and used it to calculate π to 100 decimal places. Pi Machin Formula.
From www.youtube.com
AMAZING Formula For Pi (π) The Wallis Product YouTube Pi Machin Formula Frederick rickey department of mathematical sciences united states military academy west point, ny. \[ \pi = 16 \tan^{. In 1706 john machin came up with the first really fast method of calculating π and used it to calculate π to 100 decimal places. Machin's formula for computing pi. Pi Machin Formula.
From www.youtube.com
Machin Formula Visualization (Pi day special) YouTube Pi Machin Formula In 1706 john machin came up with the first really fast method of calculating π and used it to calculate π to 100 decimal places. Machin's formula for computing pi. \[ \pi = 16 \tan^{. Frederick rickey department of mathematical sciences united states military academy west point, ny. Pi Machin Formula.
From www.youtube.com
Computing π Machinlike formula YouTube Pi Machin Formula In 1706 john machin came up with the first really fast method of calculating π and used it to calculate π to 100 decimal places. Frederick rickey department of mathematical sciences united states military academy west point, ny. Machin's formula for computing pi. \[ \pi = 16 \tan^{. Pi Machin Formula.
From www.slideserve.com
PPT Three Ways to Compute Pi PowerPoint Presentation, free download Pi Machin Formula \[ \pi = 16 \tan^{. Machin's formula for computing pi. Frederick rickey department of mathematical sciences united states military academy west point, ny. In 1706 john machin came up with the first really fast method of calculating π and used it to calculate π to 100 decimal places. Pi Machin Formula.
From www.youtube.com
Calculating pi to ten decimal places with Machin's formula YouTube Pi Machin Formula \[ \pi = 16 \tan^{. Frederick rickey department of mathematical sciences united states military academy west point, ny. In 1706 john machin came up with the first really fast method of calculating π and used it to calculate π to 100 decimal places. Machin's formula for computing pi. Pi Machin Formula.
From twitter.com
Nick CraigWood on Twitter "Gizmo_The_Cat0 cool_golang Machin's Pi Machin Formula In 1706 john machin came up with the first really fast method of calculating π and used it to calculate π to 100 decimal places. Frederick rickey department of mathematical sciences united states military academy west point, ny. \[ \pi = 16 \tan^{. Machin's formula for computing pi. Pi Machin Formula.
From www.cuemath.com
Pi Formula What Is Pi Formula? Examples Pi Machin Formula Frederick rickey department of mathematical sciences united states military academy west point, ny. In 1706 john machin came up with the first really fast method of calculating π and used it to calculate π to 100 decimal places. \[ \pi = 16 \tan^{. Machin's formula for computing pi. Pi Machin Formula.
From www.researchgate.net
(PDF) Machin's formula and Pi Pi Machin Formula In 1706 john machin came up with the first really fast method of calculating π and used it to calculate π to 100 decimal places. Machin's formula for computing pi. \[ \pi = 16 \tan^{. Frederick rickey department of mathematical sciences united states military academy west point, ny. Pi Machin Formula.
From www.slideshare.net
pi to a trillion digits How and Why? Pi Machin Formula \[ \pi = 16 \tan^{. In 1706 john machin came up with the first really fast method of calculating π and used it to calculate π to 100 decimal places. Frederick rickey department of mathematical sciences united states military academy west point, ny. Machin's formula for computing pi. Pi Machin Formula.
From www.semanticscholar.org
Table 1 from A new form of the Machinlike formula for pi by iteration Pi Machin Formula Frederick rickey department of mathematical sciences united states military academy west point, ny. Machin's formula for computing pi. \[ \pi = 16 \tan^{. In 1706 john machin came up with the first really fast method of calculating π and used it to calculate π to 100 decimal places. Pi Machin Formula.
From www.slideshare.net
pi to a trillion digits How and Why? Pi Machin Formula Frederick rickey department of mathematical sciences united states military academy west point, ny. \[ \pi = 16 \tan^{. In 1706 john machin came up with the first really fast method of calculating π and used it to calculate π to 100 decimal places. Machin's formula for computing pi. Pi Machin Formula.
From demonstrations.wolfram.com
Machin's Computation of Pi Wolfram Demonstrations Project Pi Machin Formula \[ \pi = 16 \tan^{. Frederick rickey department of mathematical sciences united states military academy west point, ny. In 1706 john machin came up with the first really fast method of calculating π and used it to calculate π to 100 decimal places. Machin's formula for computing pi. Pi Machin Formula.
From www.dreamstime.com
The Pi Symbol Mathematical Constant Irrational Number and Many Formulas Pi Machin Formula \[ \pi = 16 \tan^{. In 1706 john machin came up with the first really fast method of calculating π and used it to calculate π to 100 decimal places. Machin's formula for computing pi. Frederick rickey department of mathematical sciences united states military academy west point, ny. Pi Machin Formula.
From mateecc.blogspot.com
Matematica ecc. febbraio 2021 Pi Machin Formula Frederick rickey department of mathematical sciences united states military academy west point, ny. \[ \pi = 16 \tan^{. Machin's formula for computing pi. In 1706 john machin came up with the first really fast method of calculating π and used it to calculate π to 100 decimal places. Pi Machin Formula.
From www.slideserve.com
PPT Pi Facts and History of Pi PowerPoint Presentation, free download Pi Machin Formula In 1706 john machin came up with the first really fast method of calculating π and used it to calculate π to 100 decimal places. \[ \pi = 16 \tan^{. Machin's formula for computing pi. Frederick rickey department of mathematical sciences united states military academy west point, ny. Pi Machin Formula.
From www.mk-mode.com
C++ 円周率計算(マチンの公式)! mkmode BLOG Pi Machin Formula In 1706 john machin came up with the first really fast method of calculating π and used it to calculate π to 100 decimal places. \[ \pi = 16 \tan^{. Frederick rickey department of mathematical sciences united states military academy west point, ny. Machin's formula for computing pi. Pi Machin Formula.
From www.youtube.com
Two Amazing Machinlike Formulas for Pi/4 (Pi Approximation Day Visual Pi Machin Formula Machin's formula for computing pi. Frederick rickey department of mathematical sciences united states military academy west point, ny. \[ \pi = 16 \tan^{. In 1706 john machin came up with the first really fast method of calculating π and used it to calculate π to 100 decimal places. Pi Machin Formula.
From slideplayer.com
On Machinlike formulas and Gaussian integers ppt download Pi Machin Formula In 1706 john machin came up with the first really fast method of calculating π and used it to calculate π to 100 decimal places. Machin's formula for computing pi. Frederick rickey department of mathematical sciences united states military academy west point, ny. \[ \pi = 16 \tan^{. Pi Machin Formula.
From www.gizmodo.com.au
Pi, And Its Part In The Most Beautiful Formula In Maths Gizmodo Australia Pi Machin Formula Frederick rickey department of mathematical sciences united states military academy west point, ny. Machin's formula for computing pi. \[ \pi = 16 \tan^{. In 1706 john machin came up with the first really fast method of calculating π and used it to calculate π to 100 decimal places. Pi Machin Formula.
From blog.wolframalpha.com
Pi Day 2011 in WolframAlpha—WolframAlpha Blog Pi Machin Formula In 1706 john machin came up with the first really fast method of calculating π and used it to calculate π to 100 decimal places. Frederick rickey department of mathematical sciences united states military academy west point, ny. Machin's formula for computing pi. \[ \pi = 16 \tan^{. Pi Machin Formula.