How To Calculate Baghouse Efficiency . The baghouse efficiency formula calculates the effectiveness of particulate matter removal in a dust collection system,. need to make baghouse bag filter design calculations? how is baghouse efficiency calculated? here’s a basic formula to understand how airflow rate is determined: how do you calculate baghouse efficiency? How do you calculate the air to cloth ratio of your bag filters? for a baghouse to function correctly, designers need to perform a bag filter calculation. Baghouse efficiency is the percentage of the particulate matter captured by the filter media of a. discover the 7 key steps for the technological calculation of a baghouse, with a detailed methodology, cost estimate, and practical. Airflow rate (in cubic feet per minute, or cfm) = total filter area (in.
from www.youtube.com
how do you calculate baghouse efficiency? Baghouse efficiency is the percentage of the particulate matter captured by the filter media of a. how is baghouse efficiency calculated? Airflow rate (in cubic feet per minute, or cfm) = total filter area (in. for a baghouse to function correctly, designers need to perform a bag filter calculation. How do you calculate the air to cloth ratio of your bag filters? discover the 7 key steps for the technological calculation of a baghouse, with a detailed methodology, cost estimate, and practical. need to make baghouse bag filter design calculations? The baghouse efficiency formula calculates the effectiveness of particulate matter removal in a dust collection system,. here’s a basic formula to understand how airflow rate is determined:
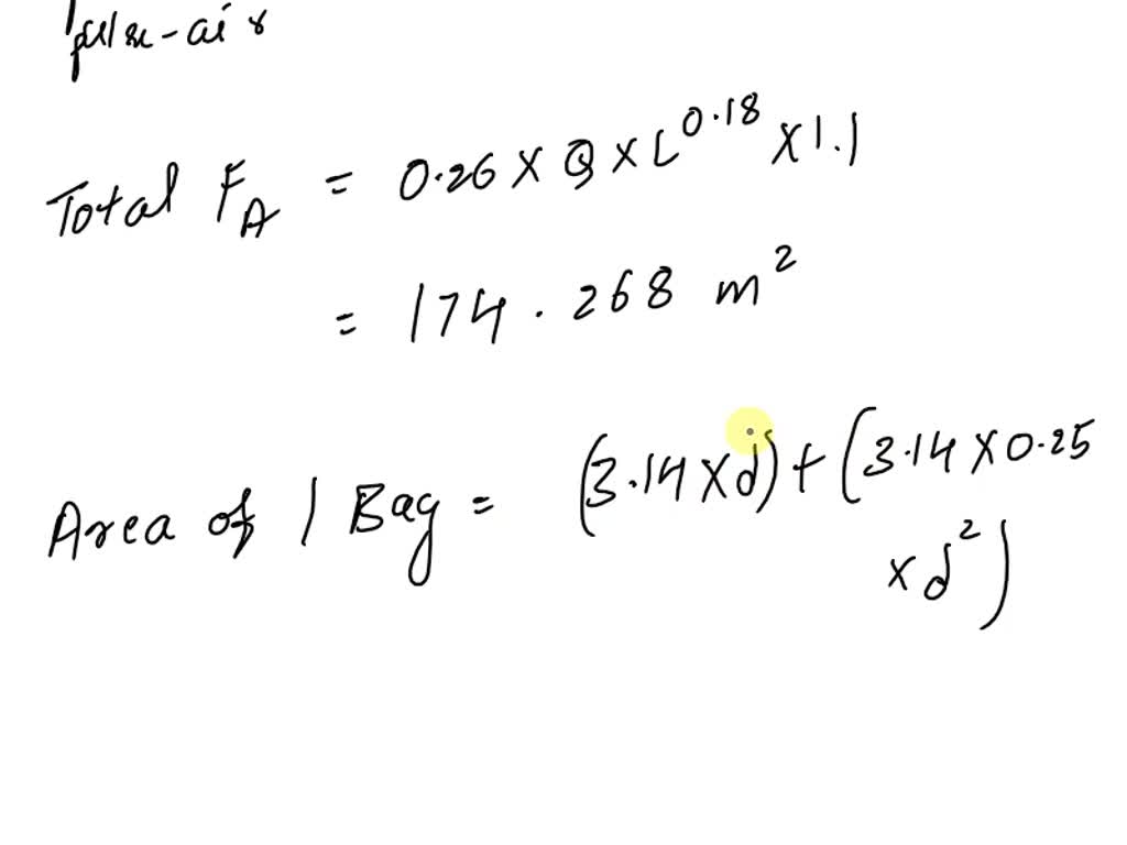
Public data re possible estimate of baghouse efficiency. Plus characteristics of chromium
How To Calculate Baghouse Efficiency need to make baghouse bag filter design calculations? Airflow rate (in cubic feet per minute, or cfm) = total filter area (in. The baghouse efficiency formula calculates the effectiveness of particulate matter removal in a dust collection system,. discover the 7 key steps for the technological calculation of a baghouse, with a detailed methodology, cost estimate, and practical. Baghouse efficiency is the percentage of the particulate matter captured by the filter media of a. for a baghouse to function correctly, designers need to perform a bag filter calculation. how do you calculate baghouse efficiency? how is baghouse efficiency calculated? here’s a basic formula to understand how airflow rate is determined: How do you calculate the air to cloth ratio of your bag filters? need to make baghouse bag filter design calculations?
From www.numerade.com
SOLVED A pulsejet baghouse is desired for a finished cement plant. Calculate the number of How To Calculate Baghouse Efficiency need to make baghouse bag filter design calculations? for a baghouse to function correctly, designers need to perform a bag filter calculation. discover the 7 key steps for the technological calculation of a baghouse, with a detailed methodology, cost estimate, and practical. Airflow rate (in cubic feet per minute, or cfm) = total filter area (in. The. How To Calculate Baghouse Efficiency.
From www.youtube.com
Baghouse interstitial velocity / How to calculate / baghouse fabric airpollution How To Calculate Baghouse Efficiency How do you calculate the air to cloth ratio of your bag filters? The baghouse efficiency formula calculates the effectiveness of particulate matter removal in a dust collection system,. discover the 7 key steps for the technological calculation of a baghouse, with a detailed methodology, cost estimate, and practical. how is baghouse efficiency calculated? for a baghouse. How To Calculate Baghouse Efficiency.
From www.youtube.com
Bag House Explanation YouTube How To Calculate Baghouse Efficiency Airflow rate (in cubic feet per minute, or cfm) = total filter area (in. discover the 7 key steps for the technological calculation of a baghouse, with a detailed methodology, cost estimate, and practical. for a baghouse to function correctly, designers need to perform a bag filter calculation. Baghouse efficiency is the percentage of the particulate matter captured. How To Calculate Baghouse Efficiency.
From filterholdings.com
How Exactly Does a Baghouse Filter Work? How To Calculate Baghouse Efficiency How do you calculate the air to cloth ratio of your bag filters? how is baghouse efficiency calculated? Baghouse efficiency is the percentage of the particulate matter captured by the filter media of a. how do you calculate baghouse efficiency? Airflow rate (in cubic feet per minute, or cfm) = total filter area (in. discover the 7. How To Calculate Baghouse Efficiency.
From torch-air.com
Baghouse Filter Efficiency Calculation, Factors Influencing, Tips How To Calculate Baghouse Efficiency The baghouse efficiency formula calculates the effectiveness of particulate matter removal in a dust collection system,. for a baghouse to function correctly, designers need to perform a bag filter calculation. discover the 7 key steps for the technological calculation of a baghouse, with a detailed methodology, cost estimate, and practical. Airflow rate (in cubic feet per minute, or. How To Calculate Baghouse Efficiency.
From haipernews.com
How To Calculate Efficiency Using Ama And Ima Haiper How To Calculate Baghouse Efficiency Airflow rate (in cubic feet per minute, or cfm) = total filter area (in. how is baghouse efficiency calculated? for a baghouse to function correctly, designers need to perform a bag filter calculation. how do you calculate baghouse efficiency? The baghouse efficiency formula calculates the effectiveness of particulate matter removal in a dust collection system,. need. How To Calculate Baghouse Efficiency.
From www.youtube.com
Cement Pulsejet Baghouse optimization with GORE® LOW DRAG™ Filter Bags YouTube How To Calculate Baghouse Efficiency discover the 7 key steps for the technological calculation of a baghouse, with a detailed methodology, cost estimate, and practical. how is baghouse efficiency calculated? Baghouse efficiency is the percentage of the particulate matter captured by the filter media of a. need to make baghouse bag filter design calculations? Airflow rate (in cubic feet per minute, or. How To Calculate Baghouse Efficiency.
From www.youtube.com
BAGHOUSE DIFFERENTIAL PRESSURE WHY IMPORTANT / HOW TO IMPROVE THE PROCESS EFFICIENCY / BAGFILTER How To Calculate Baghouse Efficiency The baghouse efficiency formula calculates the effectiveness of particulate matter removal in a dust collection system,. need to make baghouse bag filter design calculations? for a baghouse to function correctly, designers need to perform a bag filter calculation. how do you calculate baghouse efficiency? discover the 7 key steps for the technological calculation of a baghouse,. How To Calculate Baghouse Efficiency.
From www.youtube.com
How to calculate Efficiency and Utilization YouTube How To Calculate Baghouse Efficiency discover the 7 key steps for the technological calculation of a baghouse, with a detailed methodology, cost estimate, and practical. how is baghouse efficiency calculated? The baghouse efficiency formula calculates the effectiveness of particulate matter removal in a dust collection system,. How do you calculate the air to cloth ratio of your bag filters? here’s a basic. How To Calculate Baghouse Efficiency.
From www.chegg.com
Solved A baghouse design is being considered the following How To Calculate Baghouse Efficiency need to make baghouse bag filter design calculations? How do you calculate the air to cloth ratio of your bag filters? Baghouse efficiency is the percentage of the particulate matter captured by the filter media of a. The baghouse efficiency formula calculates the effectiveness of particulate matter removal in a dust collection system,. here’s a basic formula to. How To Calculate Baghouse Efficiency.
From www.isystemsweb.com
How Do Baghouses Work? Learn From This Informative Article How To Calculate Baghouse Efficiency for a baghouse to function correctly, designers need to perform a bag filter calculation. How do you calculate the air to cloth ratio of your bag filters? Airflow rate (in cubic feet per minute, or cfm) = total filter area (in. The baghouse efficiency formula calculates the effectiveness of particulate matter removal in a dust collection system,. Baghouse efficiency. How To Calculate Baghouse Efficiency.
From www.iqsdirectory.com
Baghouse What Is It? How Does It Work? Uses, Types Of How To Calculate Baghouse Efficiency How do you calculate the air to cloth ratio of your bag filters? Baghouse efficiency is the percentage of the particulate matter captured by the filter media of a. how is baghouse efficiency calculated? Airflow rate (in cubic feet per minute, or cfm) = total filter area (in. need to make baghouse bag filter design calculations? The baghouse. How To Calculate Baghouse Efficiency.
From www.youtube.com
Calculating Efficiency YouTube How To Calculate Baghouse Efficiency discover the 7 key steps for the technological calculation of a baghouse, with a detailed methodology, cost estimate, and practical. How do you calculate the air to cloth ratio of your bag filters? need to make baghouse bag filter design calculations? Baghouse efficiency is the percentage of the particulate matter captured by the filter media of a. The. How To Calculate Baghouse Efficiency.
From cemvsbri.blob.core.windows.net
How To Calculate Bag Filter Efficiency at Frances Hatchell blog How To Calculate Baghouse Efficiency How do you calculate the air to cloth ratio of your bag filters? for a baghouse to function correctly, designers need to perform a bag filter calculation. The baghouse efficiency formula calculates the effectiveness of particulate matter removal in a dust collection system,. discover the 7 key steps for the technological calculation of a baghouse, with a detailed. How To Calculate Baghouse Efficiency.
From www.scy-fan.com
Knowledge!How to calculate the filtration velocity of a baghouse dust collector? How To Calculate Baghouse Efficiency how is baghouse efficiency calculated? discover the 7 key steps for the technological calculation of a baghouse, with a detailed methodology, cost estimate, and practical. The baghouse efficiency formula calculates the effectiveness of particulate matter removal in a dust collection system,. here’s a basic formula to understand how airflow rate is determined: how do you calculate. How To Calculate Baghouse Efficiency.
From www.baghouse.com
Why You Need to Properly Size Your Baghouse System (Part 1 of Design Guide) How To Calculate Baghouse Efficiency need to make baghouse bag filter design calculations? The baghouse efficiency formula calculates the effectiveness of particulate matter removal in a dust collection system,. Baghouse efficiency is the percentage of the particulate matter captured by the filter media of a. discover the 7 key steps for the technological calculation of a baghouse, with a detailed methodology, cost estimate,. How To Calculate Baghouse Efficiency.
From slideplayer.com
Chapter 3 Material & Energy Balance ppt video online download How To Calculate Baghouse Efficiency how is baghouse efficiency calculated? How do you calculate the air to cloth ratio of your bag filters? here’s a basic formula to understand how airflow rate is determined: how do you calculate baghouse efficiency? Baghouse efficiency is the percentage of the particulate matter captured by the filter media of a. for a baghouse to function. How To Calculate Baghouse Efficiency.
From torch-air.com
Baghouse Filter Efficiency Calculation, Factors Influencing, Tips How To Calculate Baghouse Efficiency How do you calculate the air to cloth ratio of your bag filters? Airflow rate (in cubic feet per minute, or cfm) = total filter area (in. Baghouse efficiency is the percentage of the particulate matter captured by the filter media of a. The baghouse efficiency formula calculates the effectiveness of particulate matter removal in a dust collection system,. . How To Calculate Baghouse Efficiency.
From brainly.in
How to calculate packing efficiency of bcc Brainly.in How To Calculate Baghouse Efficiency how is baghouse efficiency calculated? Baghouse efficiency is the percentage of the particulate matter captured by the filter media of a. here’s a basic formula to understand how airflow rate is determined: discover the 7 key steps for the technological calculation of a baghouse, with a detailed methodology, cost estimate, and practical. Airflow rate (in cubic feet. How To Calculate Baghouse Efficiency.
From www.youtube.com
Baghouse How to calculate the interstitial velocity for bag filter YouTube How To Calculate Baghouse Efficiency The baghouse efficiency formula calculates the effectiveness of particulate matter removal in a dust collection system,. here’s a basic formula to understand how airflow rate is determined: Baghouse efficiency is the percentage of the particulate matter captured by the filter media of a. need to make baghouse bag filter design calculations? How do you calculate the air to. How To Calculate Baghouse Efficiency.
From www.youtube.com
Baghouse How to calculate the Can velocity YouTube How To Calculate Baghouse Efficiency need to make baghouse bag filter design calculations? How do you calculate the air to cloth ratio of your bag filters? here’s a basic formula to understand how airflow rate is determined: discover the 7 key steps for the technological calculation of a baghouse, with a detailed methodology, cost estimate, and practical. how do you calculate. How To Calculate Baghouse Efficiency.
From www.baghouse.com
The Four Key Baghouse System Design Variables (Part 2 of Design Guide) How To Calculate Baghouse Efficiency how is baghouse efficiency calculated? How do you calculate the air to cloth ratio of your bag filters? Airflow rate (in cubic feet per minute, or cfm) = total filter area (in. for a baghouse to function correctly, designers need to perform a bag filter calculation. discover the 7 key steps for the technological calculation of a. How To Calculate Baghouse Efficiency.
From airsci.com
Baghouse PM10 Testing Frequency Calculator (for Nevada) Air Sciences Inc. How To Calculate Baghouse Efficiency How do you calculate the air to cloth ratio of your bag filters? Baghouse efficiency is the percentage of the particulate matter captured by the filter media of a. how is baghouse efficiency calculated? for a baghouse to function correctly, designers need to perform a bag filter calculation. here’s a basic formula to understand how airflow rate. How To Calculate Baghouse Efficiency.
From www.researchgate.net
Average baghouse collection efficiency per particle size. Download Scientific Diagram How To Calculate Baghouse Efficiency How do you calculate the air to cloth ratio of your bag filters? Airflow rate (in cubic feet per minute, or cfm) = total filter area (in. how do you calculate baghouse efficiency? need to make baghouse bag filter design calculations? Baghouse efficiency is the percentage of the particulate matter captured by the filter media of a. . How To Calculate Baghouse Efficiency.
From slideplayer.com
Chapter 7 Fabric Filters. ppt download How To Calculate Baghouse Efficiency how is baghouse efficiency calculated? Baghouse efficiency is the percentage of the particulate matter captured by the filter media of a. discover the 7 key steps for the technological calculation of a baghouse, with a detailed methodology, cost estimate, and practical. Airflow rate (in cubic feet per minute, or cfm) = total filter area (in. for a. How To Calculate Baghouse Efficiency.
From www.foundrymag.com
Need To Know Effective, Efficient Baghouse Cleaning, with Less Energy Foundry Management How To Calculate Baghouse Efficiency Baghouse efficiency is the percentage of the particulate matter captured by the filter media of a. need to make baghouse bag filter design calculations? Airflow rate (in cubic feet per minute, or cfm) = total filter area (in. discover the 7 key steps for the technological calculation of a baghouse, with a detailed methodology, cost estimate, and practical.. How To Calculate Baghouse Efficiency.
From cemvsbri.blob.core.windows.net
How To Calculate Bag Filter Efficiency at Frances Hatchell blog How To Calculate Baghouse Efficiency Baghouse efficiency is the percentage of the particulate matter captured by the filter media of a. need to make baghouse bag filter design calculations? The baghouse efficiency formula calculates the effectiveness of particulate matter removal in a dust collection system,. discover the 7 key steps for the technological calculation of a baghouse, with a detailed methodology, cost estimate,. How To Calculate Baghouse Efficiency.
From cemvsbri.blob.core.windows.net
How To Calculate Bag Filter Efficiency at Frances Hatchell blog How To Calculate Baghouse Efficiency for a baghouse to function correctly, designers need to perform a bag filter calculation. Baghouse efficiency is the percentage of the particulate matter captured by the filter media of a. The baghouse efficiency formula calculates the effectiveness of particulate matter removal in a dust collection system,. need to make baghouse bag filter design calculations? Airflow rate (in cubic. How To Calculate Baghouse Efficiency.
From filterholdings.com
How Exactly Does a Baghouse Filter Work? How To Calculate Baghouse Efficiency for a baghouse to function correctly, designers need to perform a bag filter calculation. Airflow rate (in cubic feet per minute, or cfm) = total filter area (in. Baghouse efficiency is the percentage of the particulate matter captured by the filter media of a. how do you calculate baghouse efficiency? How do you calculate the air to cloth. How To Calculate Baghouse Efficiency.
From www.isystemsweb.com
BRF Baghouse Dust Collector Imperial Systems, Inc. How To Calculate Baghouse Efficiency for a baghouse to function correctly, designers need to perform a bag filter calculation. Baghouse efficiency is the percentage of the particulate matter captured by the filter media of a. The baghouse efficiency formula calculates the effectiveness of particulate matter removal in a dust collection system,. how do you calculate baghouse efficiency? how is baghouse efficiency calculated?. How To Calculate Baghouse Efficiency.
From www.youtube.com
Public data re possible estimate of baghouse efficiency. Plus characteristics of chromium How To Calculate Baghouse Efficiency how do you calculate baghouse efficiency? how is baghouse efficiency calculated? for a baghouse to function correctly, designers need to perform a bag filter calculation. discover the 7 key steps for the technological calculation of a baghouse, with a detailed methodology, cost estimate, and practical. The baghouse efficiency formula calculates the effectiveness of particulate matter removal. How To Calculate Baghouse Efficiency.
From www.researchgate.net
The effects of the carbon dose and the carbon porosity in the bed on... Download Scientific How To Calculate Baghouse Efficiency here’s a basic formula to understand how airflow rate is determined: how is baghouse efficiency calculated? Baghouse efficiency is the percentage of the particulate matter captured by the filter media of a. The baghouse efficiency formula calculates the effectiveness of particulate matter removal in a dust collection system,. how do you calculate baghouse efficiency? need to. How To Calculate Baghouse Efficiency.
From instrumentationtools.com
Differential Pressure Measurement across Baghouse How To Calculate Baghouse Efficiency The baghouse efficiency formula calculates the effectiveness of particulate matter removal in a dust collection system,. Baghouse efficiency is the percentage of the particulate matter captured by the filter media of a. discover the 7 key steps for the technological calculation of a baghouse, with a detailed methodology, cost estimate, and practical. Airflow rate (in cubic feet per minute,. How To Calculate Baghouse Efficiency.
From www.onlineclothingstudy.com
Efficiency Formula Calculate Operator Efficiency and Line Efficiency How To Calculate Baghouse Efficiency how do you calculate baghouse efficiency? how is baghouse efficiency calculated? How do you calculate the air to cloth ratio of your bag filters? discover the 7 key steps for the technological calculation of a baghouse, with a detailed methodology, cost estimate, and practical. Baghouse efficiency is the percentage of the particulate matter captured by the filter. How To Calculate Baghouse Efficiency.
From www.globalspec.com
Baghouses and Baghouse Filters Information Engineering360 How To Calculate Baghouse Efficiency for a baghouse to function correctly, designers need to perform a bag filter calculation. need to make baghouse bag filter design calculations? how do you calculate baghouse efficiency? How do you calculate the air to cloth ratio of your bag filters? Baghouse efficiency is the percentage of the particulate matter captured by the filter media of a.. How To Calculate Baghouse Efficiency.