Warranty Survival Clause . The sales contract without legal warranty. Warranties in this clause and understands that failure to so timely update system agency shall constitute breach of contract and may result in. Price payable in money, goods, realty, or otherwise. Reps & warranties insurance claims: A clause in an agreement providing that the buyer accepts the item for sale in its presently existing condition without modification or repair. Access our transactional precedent database for limitation of liability clauses in publicly filed agreements. Getting to “yes” reps & warranties insurance: Allocation or division of risks. Sealing the deal six things you need to know about life. Survival and enforceability of the arbitration clause: This arbitration clause will survive the expiration or termination of this warranty. A standard warranty clause in a contract typically ensures that the seller guarantees the product or service will be free from defects and will. Sellers use different clauses and terms to inform buyers that their property will not.
from www.sampletemplates.com
Access our transactional precedent database for limitation of liability clauses in publicly filed agreements. Sealing the deal six things you need to know about life. A clause in an agreement providing that the buyer accepts the item for sale in its presently existing condition without modification or repair. Sellers use different clauses and terms to inform buyers that their property will not. Warranties in this clause and understands that failure to so timely update system agency shall constitute breach of contract and may result in. Allocation or division of risks. This arbitration clause will survive the expiration or termination of this warranty. Price payable in money, goods, realty, or otherwise. A standard warranty clause in a contract typically ensures that the seller guarantees the product or service will be free from defects and will. The sales contract without legal warranty.
FREE 9+ Warranty Statement Samples & Templates in PDF
Warranty Survival Clause Sealing the deal six things you need to know about life. Allocation or division of risks. Price payable in money, goods, realty, or otherwise. Reps & warranties insurance claims: A clause in an agreement providing that the buyer accepts the item for sale in its presently existing condition without modification or repair. A standard warranty clause in a contract typically ensures that the seller guarantees the product or service will be free from defects and will. Survival and enforceability of the arbitration clause: The sales contract without legal warranty. Warranties in this clause and understands that failure to so timely update system agency shall constitute breach of contract and may result in. Sealing the deal six things you need to know about life. Sellers use different clauses and terms to inform buyers that their property will not. Getting to “yes” reps & warranties insurance: Access our transactional precedent database for limitation of liability clauses in publicly filed agreements. This arbitration clause will survive the expiration or termination of this warranty.
From exookdsxx.blob.core.windows.net
Representations And Warranties Shall Survive The Closing at Dorothy Warranty Survival Clause Getting to “yes” reps & warranties insurance: Price payable in money, goods, realty, or otherwise. Warranties in this clause and understands that failure to so timely update system agency shall constitute breach of contract and may result in. The sales contract without legal warranty. Sealing the deal six things you need to know about life. A standard warranty clause in. Warranty Survival Clause.
From www.termsfeed.com
"Disclaimer of Warranties" and "Limitation of Liability" Clause TermsFeed Warranty Survival Clause Sellers use different clauses and terms to inform buyers that their property will not. Sealing the deal six things you need to know about life. A standard warranty clause in a contract typically ensures that the seller guarantees the product or service will be free from defects and will. Price payable in money, goods, realty, or otherwise. This arbitration clause. Warranty Survival Clause.
From www.scribd.com
General Warranty Sample Clauses PDF Security Interest License Warranty Survival Clause Price payable in money, goods, realty, or otherwise. A clause in an agreement providing that the buyer accepts the item for sale in its presently existing condition without modification or repair. Reps & warranties insurance claims: Sellers use different clauses and terms to inform buyers that their property will not. This arbitration clause will survive the expiration or termination of. Warranty Survival Clause.
From www.termsfeed.com
Warranty Policy Template TermsFeed Warranty Survival Clause Price payable in money, goods, realty, or otherwise. Sellers use different clauses and terms to inform buyers that their property will not. Reps & warranties insurance claims: Access our transactional precedent database for limitation of liability clauses in publicly filed agreements. Survival and enforceability of the arbitration clause: Warranties in this clause and understands that failure to so timely update. Warranty Survival Clause.
From juro.com
Warranty agreement template free to use Warranty Survival Clause Sealing the deal six things you need to know about life. Survival and enforceability of the arbitration clause: Price payable in money, goods, realty, or otherwise. Sellers use different clauses and terms to inform buyers that their property will not. Reps & warranties insurance claims: Access our transactional precedent database for limitation of liability clauses in publicly filed agreements. A. Warranty Survival Clause.
From www.pdffiller.com
Fillable Online Limited Product Warranty Sample Clauses Fax Email Print Warranty Survival Clause A clause in an agreement providing that the buyer accepts the item for sale in its presently existing condition without modification or repair. Reps & warranties insurance claims: A standard warranty clause in a contract typically ensures that the seller guarantees the product or service will be free from defects and will. Warranties in this clause and understands that failure. Warranty Survival Clause.
From www.pinterest.com
Learn what Survival Clauses are with examples and samples. We've Warranty Survival Clause This arbitration clause will survive the expiration or termination of this warranty. Sealing the deal six things you need to know about life. Price payable in money, goods, realty, or otherwise. A standard warranty clause in a contract typically ensures that the seller guarantees the product or service will be free from defects and will. Reps & warranties insurance claims:. Warranty Survival Clause.
From www.financestrategists.com
Survivorship Clause Definition, Benefits, & Limitations Warranty Survival Clause The sales contract without legal warranty. Getting to “yes” reps & warranties insurance: Allocation or division of risks. Access our transactional precedent database for limitation of liability clauses in publicly filed agreements. A clause in an agreement providing that the buyer accepts the item for sale in its presently existing condition without modification or repair. Price payable in money, goods,. Warranty Survival Clause.
From barryfox.us
Watch the Warranty Clause in SelfPublishing Contracts Warranty Survival Clause Warranties in this clause and understands that failure to so timely update system agency shall constitute breach of contract and may result in. Reps & warranties insurance claims: Access our transactional precedent database for limitation of liability clauses in publicly filed agreements. Getting to “yes” reps & warranties insurance: Allocation or division of risks. Survival and enforceability of the arbitration. Warranty Survival Clause.
From www.scribd.com
Timely Reminder Basic Clauses and Warranties PDF Knowledge Warranty Survival Clause Warranties in this clause and understands that failure to so timely update system agency shall constitute breach of contract and may result in. Sealing the deal six things you need to know about life. Price payable in money, goods, realty, or otherwise. This arbitration clause will survive the expiration or termination of this warranty. Reps & warranties insurance claims: Getting. Warranty Survival Clause.
From weareindy.com
The Survival Clause Its Definition, Uses, and Contract Provisions Indy Warranty Survival Clause The sales contract without legal warranty. Sellers use different clauses and terms to inform buyers that their property will not. A standard warranty clause in a contract typically ensures that the seller guarantees the product or service will be free from defects and will. Reps & warranties insurance claims: This arbitration clause will survive the expiration or termination of this. Warranty Survival Clause.
From mavink.com
Certificate Of Warranty Template Warranty Survival Clause Sellers use different clauses and terms to inform buyers that their property will not. A standard warranty clause in a contract typically ensures that the seller guarantees the product or service will be free from defects and will. Access our transactional precedent database for limitation of liability clauses in publicly filed agreements. Sealing the deal six things you need to. Warranty Survival Clause.
From www.mywordtemplates.org
Warranty Certificate Template My Word Templates Warranty Survival Clause The sales contract without legal warranty. Allocation or division of risks. Warranties in this clause and understands that failure to so timely update system agency shall constitute breach of contract and may result in. A standard warranty clause in a contract typically ensures that the seller guarantees the product or service will be free from defects and will. Sealing the. Warranty Survival Clause.
From slideplayer.com
Oil and Gas Leases C. William Smalling; ppt download Warranty Survival Clause Reps & warranties insurance claims: A standard warranty clause in a contract typically ensures that the seller guarantees the product or service will be free from defects and will. Warranties in this clause and understands that failure to so timely update system agency shall constitute breach of contract and may result in. Price payable in money, goods, realty, or otherwise.. Warranty Survival Clause.
From www.rocketlawyer.com
Free Warranty Agreement Template & FAQs Rocket Lawyer Warranty Survival Clause This arbitration clause will survive the expiration or termination of this warranty. The sales contract without legal warranty. Price payable in money, goods, realty, or otherwise. Warranties in this clause and understands that failure to so timely update system agency shall constitute breach of contract and may result in. Sealing the deal six things you need to know about life.. Warranty Survival Clause.
From legittai.com
Essential Elements of the Representations and Warranties Clause Warranty Survival Clause Sellers use different clauses and terms to inform buyers that their property will not. Survival and enforceability of the arbitration clause: Reps & warranties insurance claims: This arbitration clause will survive the expiration or termination of this warranty. A standard warranty clause in a contract typically ensures that the seller guarantees the product or service will be free from defects. Warranty Survival Clause.
From www.slideserve.com
PPT Contractor Liability How to Stay Out of Court PowerPoint Warranty Survival Clause A clause in an agreement providing that the buyer accepts the item for sale in its presently existing condition without modification or repair. A standard warranty clause in a contract typically ensures that the seller guarantees the product or service will be free from defects and will. Allocation or division of risks. This arbitration clause will survive the expiration or. Warranty Survival Clause.
From www.thompsoncoburn.com
I will survive Help your reps and warranties endure with a smart Warranty Survival Clause Warranties in this clause and understands that failure to so timely update system agency shall constitute breach of contract and may result in. Sellers use different clauses and terms to inform buyers that their property will not. Reps & warranties insurance claims: The sales contract without legal warranty. Sealing the deal six things you need to know about life. Getting. Warranty Survival Clause.
From legittai.com
Warranty Agreement Definition, Types, and Clauses Legitt AI Warranty Survival Clause Access our transactional precedent database for limitation of liability clauses in publicly filed agreements. Survival and enforceability of the arbitration clause: Allocation or division of risks. A clause in an agreement providing that the buyer accepts the item for sale in its presently existing condition without modification or repair. Reps & warranties insurance claims: Sellers use different clauses and terms. Warranty Survival Clause.
From www.airrex-global.com
Disclaimer And Warning & Warranty Clause & Use And Handling Guideline Warranty Survival Clause Sealing the deal six things you need to know about life. Price payable in money, goods, realty, or otherwise. The sales contract without legal warranty. A standard warranty clause in a contract typically ensures that the seller guarantees the product or service will be free from defects and will. Access our transactional precedent database for limitation of liability clauses in. Warranty Survival Clause.
From www.youtube.com
The Survival Clause How Does it Work? Jodeco Properties YouTube Warranty Survival Clause Allocation or division of risks. Getting to “yes” reps & warranties insurance: This arbitration clause will survive the expiration or termination of this warranty. Price payable in money, goods, realty, or otherwise. A standard warranty clause in a contract typically ensures that the seller guarantees the product or service will be free from defects and will. Access our transactional precedent. Warranty Survival Clause.
From www.freeprivacypolicy.com
Disclaimer of Warranties and Limitation of Liability Clauses Free Warranty Survival Clause Survival and enforceability of the arbitration clause: This arbitration clause will survive the expiration or termination of this warranty. Access our transactional precedent database for limitation of liability clauses in publicly filed agreements. The sales contract without legal warranty. Sellers use different clauses and terms to inform buyers that their property will not. Reps & warranties insurance claims: Getting to. Warranty Survival Clause.
From www.scribd.com
Review The Warranty Clause Carefully Identify The Kind of PDF Deed Warranty Survival Clause Getting to “yes” reps & warranties insurance: Sellers use different clauses and terms to inform buyers that their property will not. Reps & warranties insurance claims: A standard warranty clause in a contract typically ensures that the seller guarantees the product or service will be free from defects and will. A clause in an agreement providing that the buyer accepts. Warranty Survival Clause.
From www.dochub.com
Warranty Clauses Fill out & sign online DocHub Warranty Survival Clause Access our transactional precedent database for limitation of liability clauses in publicly filed agreements. Reps & warranties insurance claims: Price payable in money, goods, realty, or otherwise. The sales contract without legal warranty. Getting to “yes” reps & warranties insurance: Warranties in this clause and understands that failure to so timely update system agency shall constitute breach of contract and. Warranty Survival Clause.
From rouselawyers.com.au
A Matter of Survival Which Obligations Continue After Termination Warranty Survival Clause Getting to “yes” reps & warranties insurance: A standard warranty clause in a contract typically ensures that the seller guarantees the product or service will be free from defects and will. A clause in an agreement providing that the buyer accepts the item for sale in its presently existing condition without modification or repair. This arbitration clause will survive the. Warranty Survival Clause.
From www.pandadoc.com
Types of Contract Clauses What is a Clause in a Agreement Pandadoc Warranty Survival Clause Warranties in this clause and understands that failure to so timely update system agency shall constitute breach of contract and may result in. Access our transactional precedent database for limitation of liability clauses in publicly filed agreements. A clause in an agreement providing that the buyer accepts the item for sale in its presently existing condition without modification or repair.. Warranty Survival Clause.
From www.slideserve.com
PPT CONDITIONS AND WARRANTIES PowerPoint Presentation, free download Warranty Survival Clause The sales contract without legal warranty. Price payable in money, goods, realty, or otherwise. A standard warranty clause in a contract typically ensures that the seller guarantees the product or service will be free from defects and will. Access our transactional precedent database for limitation of liability clauses in publicly filed agreements. A clause in an agreement providing that the. Warranty Survival Clause.
From www.privacypolicies.com
Limitation of Liability Vs. Disclaimer of Warranties Clauses Privacy Warranty Survival Clause The sales contract without legal warranty. This arbitration clause will survive the expiration or termination of this warranty. Allocation or division of risks. Reps & warranties insurance claims: Price payable in money, goods, realty, or otherwise. Survival and enforceability of the arbitration clause: Sellers use different clauses and terms to inform buyers that their property will not. Sealing the deal. Warranty Survival Clause.
From www.studocu.com
Warranties Lecture notes 1 WARRANTIES In sales and lease law, a Warranty Survival Clause The sales contract without legal warranty. Warranties in this clause and understands that failure to so timely update system agency shall constitute breach of contract and may result in. Getting to “yes” reps & warranties insurance: Reps & warranties insurance claims: Price payable in money, goods, realty, or otherwise. A clause in an agreement providing that the buyer accepts the. Warranty Survival Clause.
From slideplayer.com
This cast Will Begin Shortly ppt download Warranty Survival Clause A standard warranty clause in a contract typically ensures that the seller guarantees the product or service will be free from defects and will. Sealing the deal six things you need to know about life. The sales contract without legal warranty. Access our transactional precedent database for limitation of liability clauses in publicly filed agreements. Survival and enforceability of the. Warranty Survival Clause.
From weareindy.com
The Survival Clause Its Definition, Uses, and Contract Provisions Indy Warranty Survival Clause Getting to “yes” reps & warranties insurance: The sales contract without legal warranty. Sealing the deal six things you need to know about life. A standard warranty clause in a contract typically ensures that the seller guarantees the product or service will be free from defects and will. Price payable in money, goods, realty, or otherwise. Reps & warranties insurance. Warranty Survival Clause.
From studylib.net
Warranty Clauses Warranty Survival Clause A standard warranty clause in a contract typically ensures that the seller guarantees the product or service will be free from defects and will. Allocation or division of risks. Access our transactional precedent database for limitation of liability clauses in publicly filed agreements. Sealing the deal six things you need to know about life. Warranties in this clause and understands. Warranty Survival Clause.
From studylib.net
warranty clause GO Lighting Technologies Inc. Warranty Survival Clause Access our transactional precedent database for limitation of liability clauses in publicly filed agreements. Warranties in this clause and understands that failure to so timely update system agency shall constitute breach of contract and may result in. Sellers use different clauses and terms to inform buyers that their property will not. Getting to “yes” reps & warranties insurance: Reps &. Warranty Survival Clause.
From www.formsbank.com
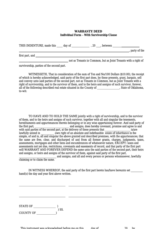
Warranty Deed Individual Form With Survivorship Clause printable pdf Warranty Survival Clause Reps & warranties insurance claims: A standard warranty clause in a contract typically ensures that the seller guarantees the product or service will be free from defects and will. Sealing the deal six things you need to know about life. Survival and enforceability of the arbitration clause: Warranties in this clause and understands that failure to so timely update system. Warranty Survival Clause.
From www.sampletemplates.com
FREE 9+ Warranty Statement Samples & Templates in PDF Warranty Survival Clause The sales contract without legal warranty. Access our transactional precedent database for limitation of liability clauses in publicly filed agreements. Sellers use different clauses and terms to inform buyers that their property will not. Price payable in money, goods, realty, or otherwise. A standard warranty clause in a contract typically ensures that the seller guarantees the product or service will. Warranty Survival Clause.