What Does A Vibrating Pendulum Mean . Different nerve reactions will be detected depending on what your subconscious mind knows. touching it and feeling a temperature change or a subtle vibration may mean it is the lucky one. a chakra pendulum is a valuable tool to identify problems in your energy field. table of contents. In this guide, new york times bestseller deborah king will show. When held properly, the pendulum will react to very small nerve reactions in your fingers that are generated by your unconscious mind in response to a question. quite simply, a pendulum reacts to your subconscious mind. What is a pendulum used for?. a pendulum acts as an amplifier for the energy flow produced by each chakra. Tall trees are often displaced from their usual vertical orientation by strong. Observing how this energy manifests in the pendulum's swing can give you a great deal of information about your chakras. If the way it looks and feels seems right, then it's the one. What is a pendulum and how does it work? the vibrating skyscraper can be thought of as a type of inverted pendulum.
from www.researchgate.net
the vibrating skyscraper can be thought of as a type of inverted pendulum. a chakra pendulum is a valuable tool to identify problems in your energy field. a pendulum acts as an amplifier for the energy flow produced by each chakra. If the way it looks and feels seems right, then it's the one. touching it and feeling a temperature change or a subtle vibration may mean it is the lucky one. What is a pendulum used for?. When held properly, the pendulum will react to very small nerve reactions in your fingers that are generated by your unconscious mind in response to a question. quite simply, a pendulum reacts to your subconscious mind. In this guide, new york times bestseller deborah king will show. What is a pendulum and how does it work?
Dynamic model of the vibrating system with a pair of pendulums driven
What Does A Vibrating Pendulum Mean If the way it looks and feels seems right, then it's the one. quite simply, a pendulum reacts to your subconscious mind. What is a pendulum used for?. In this guide, new york times bestseller deborah king will show. a chakra pendulum is a valuable tool to identify problems in your energy field. a pendulum acts as an amplifier for the energy flow produced by each chakra. table of contents. When held properly, the pendulum will react to very small nerve reactions in your fingers that are generated by your unconscious mind in response to a question. If the way it looks and feels seems right, then it's the one. Tall trees are often displaced from their usual vertical orientation by strong. touching it and feeling a temperature change or a subtle vibration may mean it is the lucky one. the vibrating skyscraper can be thought of as a type of inverted pendulum. What is a pendulum and how does it work? Observing how this energy manifests in the pendulum's swing can give you a great deal of information about your chakras. Different nerve reactions will be detected depending on what your subconscious mind knows.
From www.toppr.com
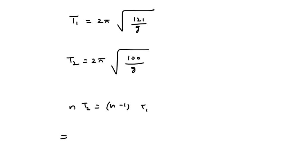
Two pendulums of lengths 121 cm and 100 cm start vibrating. At some What Does A Vibrating Pendulum Mean table of contents. quite simply, a pendulum reacts to your subconscious mind. If the way it looks and feels seems right, then it's the one. In this guide, new york times bestseller deborah king will show. a chakra pendulum is a valuable tool to identify problems in your energy field. a pendulum acts as an amplifier. What Does A Vibrating Pendulum Mean.
From www.youtube.com
PHYSICS DEFINITIONS OF SIMPLE PENDULUM & YouTube What Does A Vibrating Pendulum Mean quite simply, a pendulum reacts to your subconscious mind. Different nerve reactions will be detected depending on what your subconscious mind knows. a chakra pendulum is a valuable tool to identify problems in your energy field. Observing how this energy manifests in the pendulum's swing can give you a great deal of information about your chakras. In this. What Does A Vibrating Pendulum Mean.
From www.britannica.com
Mechanics Motion, Dimensions, Particle Britannica What Does A Vibrating Pendulum Mean What is a pendulum used for?. Different nerve reactions will be detected depending on what your subconscious mind knows. If the way it looks and feels seems right, then it's the one. Observing how this energy manifests in the pendulum's swing can give you a great deal of information about your chakras. Tall trees are often displaced from their usual. What Does A Vibrating Pendulum Mean.
From dxopkwlwe.blob.core.windows.net
What Does Pendulum Mean In Music at Rudolph Dawson blog What Does A Vibrating Pendulum Mean Tall trees are often displaced from their usual vertical orientation by strong. What is a pendulum used for?. the vibrating skyscraper can be thought of as a type of inverted pendulum. Different nerve reactions will be detected depending on what your subconscious mind knows. When held properly, the pendulum will react to very small nerve reactions in your fingers. What Does A Vibrating Pendulum Mean.
From www.slideserve.com
PPT Chapter 19 PowerPoint Presentation, free download ID256726 What Does A Vibrating Pendulum Mean the vibrating skyscraper can be thought of as a type of inverted pendulum. What is a pendulum and how does it work? Tall trees are often displaced from their usual vertical orientation by strong. a chakra pendulum is a valuable tool to identify problems in your energy field. quite simply, a pendulum reacts to your subconscious mind.. What Does A Vibrating Pendulum Mean.
From www.youtube.com
How Length, Gravity & Motion Affect Pendulums Arbor Scientific YouTube What Does A Vibrating Pendulum Mean Different nerve reactions will be detected depending on what your subconscious mind knows. a chakra pendulum is a valuable tool to identify problems in your energy field. What is a pendulum and how does it work? If the way it looks and feels seems right, then it's the one. the vibrating skyscraper can be thought of as a. What Does A Vibrating Pendulum Mean.
From www.slideserve.com
PPT Chapter 25 Vibrations & Waves PowerPoint Presentation, free What Does A Vibrating Pendulum Mean Observing how this energy manifests in the pendulum's swing can give you a great deal of information about your chakras. In this guide, new york times bestseller deborah king will show. a chakra pendulum is a valuable tool to identify problems in your energy field. Different nerve reactions will be detected depending on what your subconscious mind knows. What. What Does A Vibrating Pendulum Mean.
From www.numerade.com
SOLVEDTwo pendulums of lengths 121 cm and 100 cm start vibrating. At What Does A Vibrating Pendulum Mean table of contents. quite simply, a pendulum reacts to your subconscious mind. What is a pendulum and how does it work? Different nerve reactions will be detected depending on what your subconscious mind knows. a pendulum acts as an amplifier for the energy flow produced by each chakra. When held properly, the pendulum will react to very. What Does A Vibrating Pendulum Mean.
From physicsforuniverse.blogspot.com
Introduction To Energy And Its Types What Does A Vibrating Pendulum Mean What is a pendulum used for?. table of contents. Different nerve reactions will be detected depending on what your subconscious mind knows. a chakra pendulum is a valuable tool to identify problems in your energy field. If the way it looks and feels seems right, then it's the one. quite simply, a pendulum reacts to your subconscious. What Does A Vibrating Pendulum Mean.
From ucscphysicsdemo.sites.ucsc.edu
Simple Pendulum UCSC Physics Demonstration Room What Does A Vibrating Pendulum Mean Tall trees are often displaced from their usual vertical orientation by strong. table of contents. Observing how this energy manifests in the pendulum's swing can give you a great deal of information about your chakras. If the way it looks and feels seems right, then it's the one. quite simply, a pendulum reacts to your subconscious mind. . What Does A Vibrating Pendulum Mean.
From www.toppr.com
Two simple pendulums have time periods T and 5T/4 . They start What Does A Vibrating Pendulum Mean If the way it looks and feels seems right, then it's the one. touching it and feeling a temperature change or a subtle vibration may mean it is the lucky one. In this guide, new york times bestseller deborah king will show. When held properly, the pendulum will react to very small nerve reactions in your fingers that are. What Does A Vibrating Pendulum Mean.
From www.researchgate.net
Dynamic model of the vibrating system with a pair of pendulums driven What Does A Vibrating Pendulum Mean the vibrating skyscraper can be thought of as a type of inverted pendulum. a pendulum acts as an amplifier for the energy flow produced by each chakra. Tall trees are often displaced from their usual vertical orientation by strong. Different nerve reactions will be detected depending on what your subconscious mind knows. What is a pendulum used for?.. What Does A Vibrating Pendulum Mean.
From www.toppr.com
There are two pendulums of length l_1 and l_2 which start vibrating. At What Does A Vibrating Pendulum Mean quite simply, a pendulum reacts to your subconscious mind. table of contents. touching it and feeling a temperature change or a subtle vibration may mean it is the lucky one. In this guide, new york times bestseller deborah king will show. If the way it looks and feels seems right, then it's the one. the vibrating. What Does A Vibrating Pendulum Mean.
From www.numerade.com
Two pendulums of length 121 cm and 100 cm start vibrating. At same What Does A Vibrating Pendulum Mean a chakra pendulum is a valuable tool to identify problems in your energy field. When held properly, the pendulum will react to very small nerve reactions in your fingers that are generated by your unconscious mind in response to a question. a pendulum acts as an amplifier for the energy flow produced by each chakra. What is a. What Does A Vibrating Pendulum Mean.
From www.youtube.com
How To Use The PENDULUM. How & Why It Works! YouTube What Does A Vibrating Pendulum Mean quite simply, a pendulum reacts to your subconscious mind. table of contents. In this guide, new york times bestseller deborah king will show. When held properly, the pendulum will react to very small nerve reactions in your fingers that are generated by your unconscious mind in response to a question. the vibrating skyscraper can be thought of. What Does A Vibrating Pendulum Mean.
From journals.sagepub.com
The periodic solution of a pendulum under action Hongjin Ma What Does A Vibrating Pendulum Mean the vibrating skyscraper can be thought of as a type of inverted pendulum. a pendulum acts as an amplifier for the energy flow produced by each chakra. quite simply, a pendulum reacts to your subconscious mind. touching it and feeling a temperature change or a subtle vibration may mean it is the lucky one. table. What Does A Vibrating Pendulum Mean.
From www.slideserve.com
PPT VIBRATIONS AND WAVES PowerPoint Presentation, free download ID What Does A Vibrating Pendulum Mean a pendulum acts as an amplifier for the energy flow produced by each chakra. Tall trees are often displaced from their usual vertical orientation by strong. quite simply, a pendulum reacts to your subconscious mind. touching it and feeling a temperature change or a subtle vibration may mean it is the lucky one. What is a pendulum. What Does A Vibrating Pendulum Mean.
From getintophysics.blogspot.com
Get Into Physics Swings and Pendulums What Does A Vibrating Pendulum Mean What is a pendulum used for?. the vibrating skyscraper can be thought of as a type of inverted pendulum. Tall trees are often displaced from their usual vertical orientation by strong. a pendulum acts as an amplifier for the energy flow produced by each chakra. touching it and feeling a temperature change or a subtle vibration may. What Does A Vibrating Pendulum Mean.
From brainly.in
Two pendulums of length 121 121 cm and 100 100 cm start vibrating in What Does A Vibrating Pendulum Mean Observing how this energy manifests in the pendulum's swing can give you a great deal of information about your chakras. the vibrating skyscraper can be thought of as a type of inverted pendulum. a chakra pendulum is a valuable tool to identify problems in your energy field. When held properly, the pendulum will react to very small nerve. What Does A Vibrating Pendulum Mean.
From www.spiritanddestiny.co.uk
What is a pendulum and how to use it for guidance or spiritual healing What Does A Vibrating Pendulum Mean Different nerve reactions will be detected depending on what your subconscious mind knows. a chakra pendulum is a valuable tool to identify problems in your energy field. In this guide, new york times bestseller deborah king will show. Observing how this energy manifests in the pendulum's swing can give you a great deal of information about your chakras. What. What Does A Vibrating Pendulum Mean.
From www.shutterstock.com
Conservation Of Energy. Simple Pendulums. When Pendulum Moving Towards What Does A Vibrating Pendulum Mean Tall trees are often displaced from their usual vertical orientation by strong. In this guide, new york times bestseller deborah king will show. What is a pendulum used for?. When held properly, the pendulum will react to very small nerve reactions in your fingers that are generated by your unconscious mind in response to a question. a chakra pendulum. What Does A Vibrating Pendulum Mean.
From exodxosha.blob.core.windows.net
What Is Oscillation In Simple Pendulum at Megan French blog What Does A Vibrating Pendulum Mean touching it and feeling a temperature change or a subtle vibration may mean it is the lucky one. When held properly, the pendulum will react to very small nerve reactions in your fingers that are generated by your unconscious mind in response to a question. What is a pendulum used for?. Different nerve reactions will be detected depending on. What Does A Vibrating Pendulum Mean.
From schematicumerj.z14.web.core.windows.net
Pendulum Circuit Diagram What Does A Vibrating Pendulum Mean Tall trees are often displaced from their usual vertical orientation by strong. table of contents. Observing how this energy manifests in the pendulum's swing can give you a great deal of information about your chakras. touching it and feeling a temperature change or a subtle vibration may mean it is the lucky one. What is a pendulum and. What Does A Vibrating Pendulum Mean.
From www.youtube.com
Waveform of Simple Harmonic Motion (SHM). Vibrating Pendulum YouTube What Does A Vibrating Pendulum Mean a chakra pendulum is a valuable tool to identify problems in your energy field. touching it and feeling a temperature change or a subtle vibration may mean it is the lucky one. Tall trees are often displaced from their usual vertical orientation by strong. What is a pendulum and how does it work? If the way it looks. What Does A Vibrating Pendulum Mean.
From www.slideserve.com
PPT Stabilization of Inverted, Vibrating Pendulums PowerPoint What Does A Vibrating Pendulum Mean a pendulum acts as an amplifier for the energy flow produced by each chakra. What is a pendulum used for?. touching it and feeling a temperature change or a subtle vibration may mean it is the lucky one. table of contents. the vibrating skyscraper can be thought of as a type of inverted pendulum. Observing how. What Does A Vibrating Pendulum Mean.
From byjus.com
What do you understand by the amplitude of a simple pendulum? What Does A Vibrating Pendulum Mean What is a pendulum used for?. quite simply, a pendulum reacts to your subconscious mind. a chakra pendulum is a valuable tool to identify problems in your energy field. Observing how this energy manifests in the pendulum's swing can give you a great deal of information about your chakras. When held properly, the pendulum will react to very. What Does A Vibrating Pendulum Mean.
From www.slideserve.com
PPT Chapter 19 Vibrations and Waves PowerPoint Presentation, free What Does A Vibrating Pendulum Mean the vibrating skyscraper can be thought of as a type of inverted pendulum. When held properly, the pendulum will react to very small nerve reactions in your fingers that are generated by your unconscious mind in response to a question. a chakra pendulum is a valuable tool to identify problems in your energy field. table of contents.. What Does A Vibrating Pendulum Mean.
From www.wakecoaches.com
BE AWARE OF THE PENDULUM SWING Wake Coaches What Does A Vibrating Pendulum Mean In this guide, new york times bestseller deborah king will show. Different nerve reactions will be detected depending on what your subconscious mind knows. a chakra pendulum is a valuable tool to identify problems in your energy field. If the way it looks and feels seems right, then it's the one. When held properly, the pendulum will react to. What Does A Vibrating Pendulum Mean.
From www.toppr.com
Two pendulums of lengths 121 cm and 100 cm start vibrating the same What Does A Vibrating Pendulum Mean Tall trees are often displaced from their usual vertical orientation by strong. If the way it looks and feels seems right, then it's the one. touching it and feeling a temperature change or a subtle vibration may mean it is the lucky one. In this guide, new york times bestseller deborah king will show. a pendulum acts as. What Does A Vibrating Pendulum Mean.
From www.youtube.com
The Origin and Meaning of PENDULUM (4 Illustrated Examples) YouTube What Does A Vibrating Pendulum Mean table of contents. Tall trees are often displaced from their usual vertical orientation by strong. What is a pendulum used for?. the vibrating skyscraper can be thought of as a type of inverted pendulum. When held properly, the pendulum will react to very small nerve reactions in your fingers that are generated by your unconscious mind in response. What Does A Vibrating Pendulum Mean.
From www.youtube.com
Simple Pendulum SHM, Wave Oscillation, Frequency, Time Period What Does A Vibrating Pendulum Mean a chakra pendulum is a valuable tool to identify problems in your energy field. What is a pendulum used for?. quite simply, a pendulum reacts to your subconscious mind. In this guide, new york times bestseller deborah king will show. If the way it looks and feels seems right, then it's the one. the vibrating skyscraper can. What Does A Vibrating Pendulum Mean.
From www.earthdwellerdaily.com
How A Pendulum Works For Accessing Subconscious Knowledge Earth What Does A Vibrating Pendulum Mean quite simply, a pendulum reacts to your subconscious mind. If the way it looks and feels seems right, then it's the one. a chakra pendulum is a valuable tool to identify problems in your energy field. touching it and feeling a temperature change or a subtle vibration may mean it is the lucky one. What is a. What Does A Vibrating Pendulum Mean.
From www.askiitians.com
A simple pendulum is vibrating with an angular amplitude of 90 as show What Does A Vibrating Pendulum Mean quite simply, a pendulum reacts to your subconscious mind. If the way it looks and feels seems right, then it's the one. the vibrating skyscraper can be thought of as a type of inverted pendulum. What is a pendulum used for?. a chakra pendulum is a valuable tool to identify problems in your energy field. touching. What Does A Vibrating Pendulum Mean.
From www.slideserve.com
PPT Stabilization of Inverted, Vibrating Pendulums PowerPoint What Does A Vibrating Pendulum Mean quite simply, a pendulum reacts to your subconscious mind. a pendulum acts as an amplifier for the energy flow produced by each chakra. What is a pendulum and how does it work? If the way it looks and feels seems right, then it's the one. What is a pendulum used for?. Observing how this energy manifests in the. What Does A Vibrating Pendulum Mean.
From www.kheopsinternational.com
Health & Wellbeing What Does A Vibrating Pendulum Mean quite simply, a pendulum reacts to your subconscious mind. If the way it looks and feels seems right, then it's the one. In this guide, new york times bestseller deborah king will show. the vibrating skyscraper can be thought of as a type of inverted pendulum. What is a pendulum used for?. What is a pendulum and how. What Does A Vibrating Pendulum Mean.