What Is The K Value For The Following Reaction H3Aso4 . 34 rows the table lists the k a values and the strength of each acid and base. Arsenic acid, h3aso4, has 3 pka values (pka1 = 2.31, pka2 = 7.05, pka3 = 11.9). Acids with a k a value less than one are. The values of k shown in table 15.2.2, for example, vary by 60 orders of magnitude. \ [k_a=\dfrac { [h^+] [cn^−]} { [hcn]} \label {16.5.8}\] the. For an aqueous solution of a weak acid, the dissociation constant is called the acid ionization constant (k_a). The equilibrium constant expression for the ionization of hcn is as follows: Because products are in the numerator of the equilibrium.
from www.numerade.com
Because products are in the numerator of the equilibrium. Acids with a k a value less than one are. 34 rows the table lists the k a values and the strength of each acid and base. The equilibrium constant expression for the ionization of hcn is as follows: For an aqueous solution of a weak acid, the dissociation constant is called the acid ionization constant (k_a). The values of k shown in table 15.2.2, for example, vary by 60 orders of magnitude. Arsenic acid, h3aso4, has 3 pka values (pka1 = 2.31, pka2 = 7.05, pka3 = 11.9). \ [k_a=\dfrac { [h^+] [cn^−]} { [hcn]} \label {16.5.8}\] the.
SOLVED Balance the following redox reaction in acidic solution As2O3
What Is The K Value For The Following Reaction H3Aso4 34 rows the table lists the k a values and the strength of each acid and base. The equilibrium constant expression for the ionization of hcn is as follows: Acids with a k a value less than one are. The values of k shown in table 15.2.2, for example, vary by 60 orders of magnitude. 34 rows the table lists the k a values and the strength of each acid and base. For an aqueous solution of a weak acid, the dissociation constant is called the acid ionization constant (k_a). Because products are in the numerator of the equilibrium. Arsenic acid, h3aso4, has 3 pka values (pka1 = 2.31, pka2 = 7.05, pka3 = 11.9). \ [k_a=\dfrac { [h^+] [cn^−]} { [hcn]} \label {16.5.8}\] the.
From www.chegg.com
Solved Given the pKa's of H3AsO4, H2SO3 and H2CO3 arrange What Is The K Value For The Following Reaction H3Aso4 Acids with a k a value less than one are. For an aqueous solution of a weak acid, the dissociation constant is called the acid ionization constant (k_a). Arsenic acid, h3aso4, has 3 pka values (pka1 = 2.31, pka2 = 7.05, pka3 = 11.9). \ [k_a=\dfrac { [h^+] [cn^−]} { [hcn]} \label {16.5.8}\] the. 34 rows the table lists the. What Is The K Value For The Following Reaction H3Aso4.
From www.numerade.com
SOLVED Complete and balance the following redox reaction in acidic What Is The K Value For The Following Reaction H3Aso4 34 rows the table lists the k a values and the strength of each acid and base. Because products are in the numerator of the equilibrium. \ [k_a=\dfrac { [h^+] [cn^−]} { [hcn]} \label {16.5.8}\] the. Arsenic acid, h3aso4, has 3 pka values (pka1 = 2.31, pka2 = 7.05, pka3 = 11.9). The equilibrium constant expression for the ionization of. What Is The K Value For The Following Reaction H3Aso4.
From www.bartleby.com
Answered Use the following information to answer… bartleby What Is The K Value For The Following Reaction H3Aso4 Arsenic acid, h3aso4, has 3 pka values (pka1 = 2.31, pka2 = 7.05, pka3 = 11.9). Acids with a k a value less than one are. \ [k_a=\dfrac { [h^+] [cn^−]} { [hcn]} \label {16.5.8}\] the. Because products are in the numerator of the equilibrium. The equilibrium constant expression for the ionization of hcn is as follows: The values of. What Is The K Value For The Following Reaction H3Aso4.
From www.numerade.com
SOLVED Question 10 (5 points) Balance the following reaction under What Is The K Value For The Following Reaction H3Aso4 The values of k shown in table 15.2.2, for example, vary by 60 orders of magnitude. Arsenic acid, h3aso4, has 3 pka values (pka1 = 2.31, pka2 = 7.05, pka3 = 11.9). For an aqueous solution of a weak acid, the dissociation constant is called the acid ionization constant (k_a). The equilibrium constant expression for the ionization of hcn is. What Is The K Value For The Following Reaction H3Aso4.
From www.numerade.com
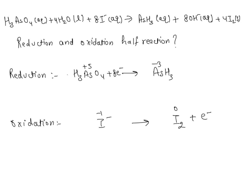
SOLVED Write balanced halfreactions for the following redox reaction What Is The K Value For The Following Reaction H3Aso4 Acids with a k a value less than one are. \ [k_a=\dfrac { [h^+] [cn^−]} { [hcn]} \label {16.5.8}\] the. Arsenic acid, h3aso4, has 3 pka values (pka1 = 2.31, pka2 = 7.05, pka3 = 11.9). 34 rows the table lists the k a values and the strength of each acid and base. Because products are in the numerator of. What Is The K Value For The Following Reaction H3Aso4.
From www.toppr.com
Balance the following reaction. AsH3 + KClO3 → H3AsO4 + KCl What Is The K Value For The Following Reaction H3Aso4 The values of k shown in table 15.2.2, for example, vary by 60 orders of magnitude. For an aqueous solution of a weak acid, the dissociation constant is called the acid ionization constant (k_a). \ [k_a=\dfrac { [h^+] [cn^−]} { [hcn]} \label {16.5.8}\] the. Because products are in the numerator of the equilibrium. 34 rows the table lists the k. What Is The K Value For The Following Reaction H3Aso4.
From www.youtube.com
Calculating K from Concentration YouTube What Is The K Value For The Following Reaction H3Aso4 34 rows the table lists the k a values and the strength of each acid and base. \ [k_a=\dfrac { [h^+] [cn^−]} { [hcn]} \label {16.5.8}\] the. For an aqueous solution of a weak acid, the dissociation constant is called the acid ionization constant (k_a). Acids with a k a value less than one are. Because products are in the. What Is The K Value For The Following Reaction H3Aso4.
From www.chegg.com
Solved 3. Consider the following reaction H3AsO4 + Sn2+ + 2 What Is The K Value For The Following Reaction H3Aso4 \ [k_a=\dfrac { [h^+] [cn^−]} { [hcn]} \label {16.5.8}\] the. Because products are in the numerator of the equilibrium. The equilibrium constant expression for the ionization of hcn is as follows: Arsenic acid, h3aso4, has 3 pka values (pka1 = 2.31, pka2 = 7.05, pka3 = 11.9). For an aqueous solution of a weak acid, the dissociation constant is called. What Is The K Value For The Following Reaction H3Aso4.
From www.numerade.com
SOLVED Write balanced halfreactions for the following redox reaction What Is The K Value For The Following Reaction H3Aso4 The values of k shown in table 15.2.2, for example, vary by 60 orders of magnitude. The equilibrium constant expression for the ionization of hcn is as follows: Acids with a k a value less than one are. Arsenic acid, h3aso4, has 3 pka values (pka1 = 2.31, pka2 = 7.05, pka3 = 11.9). 34 rows the table lists the. What Is The K Value For The Following Reaction H3Aso4.
From www.numerade.com
SOLVED Question 11 of 41 Complete and balance the following redox What Is The K Value For The Following Reaction H3Aso4 Because products are in the numerator of the equilibrium. Arsenic acid, h3aso4, has 3 pka values (pka1 = 2.31, pka2 = 7.05, pka3 = 11.9). For an aqueous solution of a weak acid, the dissociation constant is called the acid ionization constant (k_a). The values of k shown in table 15.2.2, for example, vary by 60 orders of magnitude. 34. What Is The K Value For The Following Reaction H3Aso4.
From klakyoaji.blob.core.windows.net
What Is The K Value In Math at Cassie Stanley blog What Is The K Value For The Following Reaction H3Aso4 Acids with a k a value less than one are. For an aqueous solution of a weak acid, the dissociation constant is called the acid ionization constant (k_a). Arsenic acid, h3aso4, has 3 pka values (pka1 = 2.31, pka2 = 7.05, pka3 = 11.9). \ [k_a=\dfrac { [h^+] [cn^−]} { [hcn]} \label {16.5.8}\] the. The equilibrium constant expression for the. What Is The K Value For The Following Reaction H3Aso4.
From www.numerade.com
SOLVED Question 11 of 41 Complete and balance the following redox What Is The K Value For The Following Reaction H3Aso4 The values of k shown in table 15.2.2, for example, vary by 60 orders of magnitude. 34 rows the table lists the k a values and the strength of each acid and base. Arsenic acid, h3aso4, has 3 pka values (pka1 = 2.31, pka2 = 7.05, pka3 = 11.9). Acids with a k a value less than one are. Because. What Is The K Value For The Following Reaction H3Aso4.
From www.numerade.com
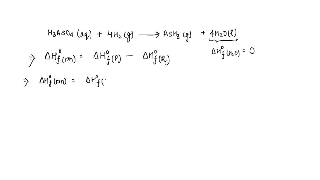
SOLVED Calculate the ∆Hº rxn for the following reaction H3AsO4(aq What Is The K Value For The Following Reaction H3Aso4 For an aqueous solution of a weak acid, the dissociation constant is called the acid ionization constant (k_a). The values of k shown in table 15.2.2, for example, vary by 60 orders of magnitude. \ [k_a=\dfrac { [h^+] [cn^−]} { [hcn]} \label {16.5.8}\] the. Acids with a k a value less than one are. Arsenic acid, h3aso4, has 3 pka. What Is The K Value For The Following Reaction H3Aso4.
From www.chegg.com
Solved H3AsO4+H+ H3AsO3+H2OWhen the following half reaction What Is The K Value For The Following Reaction H3Aso4 The values of k shown in table 15.2.2, for example, vary by 60 orders of magnitude. The equilibrium constant expression for the ionization of hcn is as follows: 34 rows the table lists the k a values and the strength of each acid and base. \ [k_a=\dfrac { [h^+] [cn^−]} { [hcn]} \label {16.5.8}\] the. Arsenic acid, h3aso4, has 3. What Is The K Value For The Following Reaction H3Aso4.
From www.numerade.com
SOLVED Redox reaction questions, worksheet 13 34.a) balance the What Is The K Value For The Following Reaction H3Aso4 The equilibrium constant expression for the ionization of hcn is as follows: Because products are in the numerator of the equilibrium. Acids with a k a value less than one are. 34 rows the table lists the k a values and the strength of each acid and base. The values of k shown in table 15.2.2, for example, vary by. What Is The K Value For The Following Reaction H3Aso4.
From www.chegg.com
Solved For the following i) H3PO4 > H3AsO4 > H3SbO4 ii) H₂ What Is The K Value For The Following Reaction H3Aso4 For an aqueous solution of a weak acid, the dissociation constant is called the acid ionization constant (k_a). Arsenic acid, h3aso4, has 3 pka values (pka1 = 2.31, pka2 = 7.05, pka3 = 11.9). \ [k_a=\dfrac { [h^+] [cn^−]} { [hcn]} \label {16.5.8}\] the. Acids with a k a value less than one are. The equilibrium constant expression for the. What Is The K Value For The Following Reaction H3Aso4.
From www.numerade.com
SOLVED When the following equation is balanced properly under acidic What Is The K Value For The Following Reaction H3Aso4 For an aqueous solution of a weak acid, the dissociation constant is called the acid ionization constant (k_a). Arsenic acid, h3aso4, has 3 pka values (pka1 = 2.31, pka2 = 7.05, pka3 = 11.9). \ [k_a=\dfrac { [h^+] [cn^−]} { [hcn]} \label {16.5.8}\] the. Because products are in the numerator of the equilibrium. Acids with a k a value less. What Is The K Value For The Following Reaction H3Aso4.
From www.youtube.com
Chemical Equilibrium Constant K Ice Tables Kp and Kc YouTube What Is The K Value For The Following Reaction H3Aso4 For an aqueous solution of a weak acid, the dissociation constant is called the acid ionization constant (k_a). Acids with a k a value less than one are. The values of k shown in table 15.2.2, for example, vary by 60 orders of magnitude. \ [k_a=\dfrac { [h^+] [cn^−]} { [hcn]} \label {16.5.8}\] the. Arsenic acid, h3aso4, has 3 pka. What Is The K Value For The Following Reaction H3Aso4.
From www.bartleby.com
Answered Complete and balance the following… bartleby What Is The K Value For The Following Reaction H3Aso4 Arsenic acid, h3aso4, has 3 pka values (pka1 = 2.31, pka2 = 7.05, pka3 = 11.9). The equilibrium constant expression for the ionization of hcn is as follows: 34 rows the table lists the k a values and the strength of each acid and base. The values of k shown in table 15.2.2, for example, vary by 60 orders of. What Is The K Value For The Following Reaction H3Aso4.
From www.numerade.com
SOLVED Write the dissociation expression for the Ka of H2AsO4. H3AsO4 What Is The K Value For The Following Reaction H3Aso4 For an aqueous solution of a weak acid, the dissociation constant is called the acid ionization constant (k_a). The equilibrium constant expression for the ionization of hcn is as follows: Acids with a k a value less than one are. Arsenic acid, h3aso4, has 3 pka values (pka1 = 2.31, pka2 = 7.05, pka3 = 11.9). Because products are in. What Is The K Value For The Following Reaction H3Aso4.
From www.chegg.com
Solved 6. As2O3 + NO3 → H3AsO4 + N2O3 a. In the reaction What Is The K Value For The Following Reaction H3Aso4 Arsenic acid, h3aso4, has 3 pka values (pka1 = 2.31, pka2 = 7.05, pka3 = 11.9). Because products are in the numerator of the equilibrium. For an aqueous solution of a weak acid, the dissociation constant is called the acid ionization constant (k_a). The values of k shown in table 15.2.2, for example, vary by 60 orders of magnitude. 34. What Is The K Value For The Following Reaction H3Aso4.
From www.chegg.com
Solved What is AH°rxn for the following reaction? H3AsO4(aq) What Is The K Value For The Following Reaction H3Aso4 \ [k_a=\dfrac { [h^+] [cn^−]} { [hcn]} \label {16.5.8}\] the. 34 rows the table lists the k a values and the strength of each acid and base. Arsenic acid, h3aso4, has 3 pka values (pka1 = 2.31, pka2 = 7.05, pka3 = 11.9). Because products are in the numerator of the equilibrium. Acids with a k a value less than. What Is The K Value For The Following Reaction H3Aso4.
From www.numerade.com
SOLVED Balance the following oxidationreduction reaction using the What Is The K Value For The Following Reaction H3Aso4 34 rows the table lists the k a values and the strength of each acid and base. Arsenic acid, h3aso4, has 3 pka values (pka1 = 2.31, pka2 = 7.05, pka3 = 11.9). For an aqueous solution of a weak acid, the dissociation constant is called the acid ionization constant (k_a). The equilibrium constant expression for the ionization of hcn. What Is The K Value For The Following Reaction H3Aso4.
From www.pdfprof.com
chemical equilibrium finding a constant What Is The K Value For The Following Reaction H3Aso4 Acids with a k a value less than one are. Because products are in the numerator of the equilibrium. The equilibrium constant expression for the ionization of hcn is as follows: \ [k_a=\dfrac { [h^+] [cn^−]} { [hcn]} \label {16.5.8}\] the. For an aqueous solution of a weak acid, the dissociation constant is called the acid ionization constant (k_a). The. What Is The K Value For The Following Reaction H3Aso4.
From www.numerade.com
SOLVED Write balanced halfreactions for the following redox reaction What Is The K Value For The Following Reaction H3Aso4 For an aqueous solution of a weak acid, the dissociation constant is called the acid ionization constant (k_a). Because products are in the numerator of the equilibrium. Arsenic acid, h3aso4, has 3 pka values (pka1 = 2.31, pka2 = 7.05, pka3 = 11.9). 34 rows the table lists the k a values and the strength of each acid and base.. What Is The K Value For The Following Reaction H3Aso4.
From ar.inspiredpencil.com
H3aso4 What Is The K Value For The Following Reaction H3Aso4 Because products are in the numerator of the equilibrium. The values of k shown in table 15.2.2, for example, vary by 60 orders of magnitude. \ [k_a=\dfrac { [h^+] [cn^−]} { [hcn]} \label {16.5.8}\] the. 34 rows the table lists the k a values and the strength of each acid and base. For an aqueous solution of a weak acid,. What Is The K Value For The Following Reaction H3Aso4.
From www.numerade.com
SOLVED A titration analysis was done to determine the arsenic acid What Is The K Value For The Following Reaction H3Aso4 34 rows the table lists the k a values and the strength of each acid and base. The equilibrium constant expression for the ionization of hcn is as follows: \ [k_a=\dfrac { [h^+] [cn^−]} { [hcn]} \label {16.5.8}\] the. Acids with a k a value less than one are. The values of k shown in table 15.2.2, for example, vary. What Is The K Value For The Following Reaction H3Aso4.
From www.numerade.com
SOLVED Write balanced halfreactions for the following redox reaction What Is The K Value For The Following Reaction H3Aso4 The equilibrium constant expression for the ionization of hcn is as follows: Arsenic acid, h3aso4, has 3 pka values (pka1 = 2.31, pka2 = 7.05, pka3 = 11.9). \ [k_a=\dfrac { [h^+] [cn^−]} { [hcn]} \label {16.5.8}\] the. Acids with a k a value less than one are. The values of k shown in table 15.2.2, for example, vary by. What Is The K Value For The Following Reaction H3Aso4.
From slideplayer.com
Triad 5 Practice Test Key Spring ppt download What Is The K Value For The Following Reaction H3Aso4 For an aqueous solution of a weak acid, the dissociation constant is called the acid ionization constant (k_a). \ [k_a=\dfrac { [h^+] [cn^−]} { [hcn]} \label {16.5.8}\] the. Acids with a k a value less than one are. The equilibrium constant expression for the ionization of hcn is as follows: The values of k shown in table 15.2.2, for example,. What Is The K Value For The Following Reaction H3Aso4.
From www.numerade.com
SOLVED Here is a graph of the molarity of arsenic acid (H3AsO4) in a What Is The K Value For The Following Reaction H3Aso4 Arsenic acid, h3aso4, has 3 pka values (pka1 = 2.31, pka2 = 7.05, pka3 = 11.9). 34 rows the table lists the k a values and the strength of each acid and base. Because products are in the numerator of the equilibrium. For an aqueous solution of a weak acid, the dissociation constant is called the acid ionization constant (k_a).. What Is The K Value For The Following Reaction H3Aso4.
From www.numerade.com
SOLVED Calculate the equilibrium constant for the following reaction What Is The K Value For The Following Reaction H3Aso4 34 rows the table lists the k a values and the strength of each acid and base. Acids with a k a value less than one are. Because products are in the numerator of the equilibrium. Arsenic acid, h3aso4, has 3 pka values (pka1 = 2.31, pka2 = 7.05, pka3 = 11.9). \ [k_a=\dfrac { [h^+] [cn^−]} { [hcn]} \label. What Is The K Value For The Following Reaction H3Aso4.
From www.numerade.com
SOLVED How much sulfur dioxide in terms of volume is produced from 25. What Is The K Value For The Following Reaction H3Aso4 Acids with a k a value less than one are. Because products are in the numerator of the equilibrium. \ [k_a=\dfrac { [h^+] [cn^−]} { [hcn]} \label {16.5.8}\] the. The equilibrium constant expression for the ionization of hcn is as follows: The values of k shown in table 15.2.2, for example, vary by 60 orders of magnitude. 34 rows the. What Is The K Value For The Following Reaction H3Aso4.
From www.numerade.com
SOLVED Balance the following redox reaction in acidic solution As2O3 What Is The K Value For The Following Reaction H3Aso4 The equilibrium constant expression for the ionization of hcn is as follows: Acids with a k a value less than one are. For an aqueous solution of a weak acid, the dissociation constant is called the acid ionization constant (k_a). Arsenic acid, h3aso4, has 3 pka values (pka1 = 2.31, pka2 = 7.05, pka3 = 11.9). 34 rows the table. What Is The K Value For The Following Reaction H3Aso4.
From www.youtube.com
Find out the value of equilibrium constant for the following reaction What Is The K Value For The Following Reaction H3Aso4 34 rows the table lists the k a values and the strength of each acid and base. Arsenic acid, h3aso4, has 3 pka values (pka1 = 2.31, pka2 = 7.05, pka3 = 11.9). The equilibrium constant expression for the ionization of hcn is as follows: \ [k_a=\dfrac { [h^+] [cn^−]} { [hcn]} \label {16.5.8}\] the. The values of k shown. What Is The K Value For The Following Reaction H3Aso4.
From www.bartleby.com
Answered What is the equilibrium constant (K)… bartleby What Is The K Value For The Following Reaction H3Aso4 Because products are in the numerator of the equilibrium. For an aqueous solution of a weak acid, the dissociation constant is called the acid ionization constant (k_a). 34 rows the table lists the k a values and the strength of each acid and base. \ [k_a=\dfrac { [h^+] [cn^−]} { [hcn]} \label {16.5.8}\] the. The values of k shown in. What Is The K Value For The Following Reaction H3Aso4.