Magnesium Citrate Laxative How It Works . magnesium citrate is an osmotic. This softens the stool, making it easier to have a bowel. You can buy this medication at a drugstore without a. magnesium citrate is commonly used as an osmotic laxative or mineral supplement. Magnesium citrate is a saline laxative. It helps your intestines hold onto water,. it works by increasing the amount of water your intestine absorbs. Experts recommend magnesium citrate or magnesium oxide, and say the oral route is. It usually results in a bowel movement. Magnesium citrate is in a class of. magnesium citrate is a saline laxative that is thought to work by increasing fluid in the small intestine. how magnesium citrate works.
from www.walmart.com
how magnesium citrate works. Experts recommend magnesium citrate or magnesium oxide, and say the oral route is. It usually results in a bowel movement. This softens the stool, making it easier to have a bowel. magnesium citrate is an osmotic. Magnesium citrate is in a class of. Magnesium citrate is a saline laxative. You can buy this medication at a drugstore without a. it works by increasing the amount of water your intestine absorbs. It helps your intestines hold onto water,.
Laxative Magnesium Citrate
Magnesium Citrate Laxative How It Works This softens the stool, making it easier to have a bowel. how magnesium citrate works. It usually results in a bowel movement. Magnesium citrate is a saline laxative. magnesium citrate is a saline laxative that is thought to work by increasing fluid in the small intestine. It helps your intestines hold onto water,. Experts recommend magnesium citrate or magnesium oxide, and say the oral route is. magnesium citrate is commonly used as an osmotic laxative or mineral supplement. it works by increasing the amount of water your intestine absorbs. magnesium citrate is an osmotic. Magnesium citrate is in a class of. This softens the stool, making it easier to have a bowel. You can buy this medication at a drugstore without a.
From druggenius.com
How Long Does It Take for Magnesium Citrate to Work? Drug Genius Magnesium Citrate Laxative How It Works magnesium citrate is commonly used as an osmotic laxative or mineral supplement. Experts recommend magnesium citrate or magnesium oxide, and say the oral route is. It helps your intestines hold onto water,. how magnesium citrate works. magnesium citrate is a saline laxative that is thought to work by increasing fluid in the small intestine. Magnesium citrate is. Magnesium Citrate Laxative How It Works.
From thenutritioninsider.com
Magnesium Citrate Benefits 4 Vital Functions The Nutrition Insider Magnesium Citrate Laxative How It Works how magnesium citrate works. magnesium citrate is an osmotic. It usually results in a bowel movement. it works by increasing the amount of water your intestine absorbs. You can buy this medication at a drugstore without a. Magnesium citrate is in a class of. magnesium citrate is a saline laxative that is thought to work by. Magnesium Citrate Laxative How It Works.
From www.harristeeter.com
Walgreens Sugar Free Magnesium Citrate Cherry Flavor Saline Laxative, 10 fl oz Harris Teeter Magnesium Citrate Laxative How It Works You can buy this medication at a drugstore without a. magnesium citrate is commonly used as an osmotic laxative or mineral supplement. Magnesium citrate is a saline laxative. Magnesium citrate is in a class of. This softens the stool, making it easier to have a bowel. magnesium citrate is a saline laxative that is thought to work by. Magnesium Citrate Laxative How It Works.
From storiesofahouse.com
Effective Use and Safety of Magnesium Citrate Laxative Magnesium Citrate Laxative How It Works This softens the stool, making it easier to have a bowel. magnesium citrate is an osmotic. It helps your intestines hold onto water,. magnesium citrate is a saline laxative that is thought to work by increasing fluid in the small intestine. It usually results in a bowel movement. magnesium citrate is commonly used as an osmotic laxative. Magnesium Citrate Laxative How It Works.
From www.walmart.com
Quality Choice Magnesium Citrate Liquid Laxative Constipation Relief Oral Solution Lemon Magnesium Citrate Laxative How It Works You can buy this medication at a drugstore without a. This softens the stool, making it easier to have a bowel. It helps your intestines hold onto water,. magnesium citrate is a saline laxative that is thought to work by increasing fluid in the small intestine. magnesium citrate is an osmotic. magnesium citrate is commonly used as. Magnesium Citrate Laxative How It Works.
From www.walmart.com
Laxative Magnesium Citrate Magnesium Citrate Laxative How It Works how magnesium citrate works. magnesium citrate is commonly used as an osmotic laxative or mineral supplement. It usually results in a bowel movement. magnesium citrate is a saline laxative that is thought to work by increasing fluid in the small intestine. This softens the stool, making it easier to have a bowel. You can buy this medication. Magnesium Citrate Laxative How It Works.
From www.walmart.com
Laxative Magnesium Citrate Magnesium Citrate Laxative How It Works magnesium citrate is a saline laxative that is thought to work by increasing fluid in the small intestine. Experts recommend magnesium citrate or magnesium oxide, and say the oral route is. It helps your intestines hold onto water,. magnesium citrate is an osmotic. Magnesium citrate is a saline laxative. Magnesium citrate is in a class of. It usually. Magnesium Citrate Laxative How It Works.
From exozagkku.blob.core.windows.net
How Does Magnesium Citrate Work For Constipation at Diane Downs blog Magnesium Citrate Laxative How It Works magnesium citrate is an osmotic. It usually results in a bowel movement. Experts recommend magnesium citrate or magnesium oxide, and say the oral route is. how magnesium citrate works. You can buy this medication at a drugstore without a. Magnesium citrate is a saline laxative. it works by increasing the amount of water your intestine absorbs. . Magnesium Citrate Laxative How It Works.
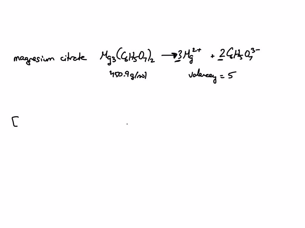
From www.numerade.com
SOLVED Magnesium citrate laxative solution (CITROMA) contains 1.745 g of magnesium citrate per Magnesium Citrate Laxative How It Works Magnesium citrate is a saline laxative. You can buy this medication at a drugstore without a. Magnesium citrate is in a class of. This softens the stool, making it easier to have a bowel. it works by increasing the amount of water your intestine absorbs. It usually results in a bowel movement. Experts recommend magnesium citrate or magnesium oxide,. Magnesium Citrate Laxative How It Works.
From www.etsy.com
Magnesium Citrate Liquid Laxative Oral Solution 10oz Exp 12/2024 or Later Etsy Magnesium Citrate Laxative How It Works Experts recommend magnesium citrate or magnesium oxide, and say the oral route is. This softens the stool, making it easier to have a bowel. Magnesium citrate is a saline laxative. You can buy this medication at a drugstore without a. It helps your intestines hold onto water,. how magnesium citrate works. It usually results in a bowel movement. . Magnesium Citrate Laxative How It Works.
From www.slideserve.com
PPT An Essential Information Of Magnesium Citrate PowerPoint Presentation ID7475711 Magnesium Citrate Laxative How It Works This softens the stool, making it easier to have a bowel. It helps your intestines hold onto water,. magnesium citrate is commonly used as an osmotic laxative or mineral supplement. You can buy this medication at a drugstore without a. Magnesium citrate is a saline laxative. magnesium citrate is a saline laxative that is thought to work by. Magnesium Citrate Laxative How It Works.
From ic.steadyhealth.com
Magnesium citrate as laxative General center Magnesium Citrate Laxative How It Works magnesium citrate is commonly used as an osmotic laxative or mineral supplement. This softens the stool, making it easier to have a bowel. It helps your intestines hold onto water,. it works by increasing the amount of water your intestine absorbs. magnesium citrate is a saline laxative that is thought to work by increasing fluid in the. Magnesium Citrate Laxative How It Works.
From legacymedicalsales.com
GeriCare Magnesium Citrate Laxative Legacy Medical Sales Magnesium Citrate Laxative How It Works It usually results in a bowel movement. Magnesium citrate is in a class of. You can buy this medication at a drugstore without a. how magnesium citrate works. magnesium citrate is commonly used as an osmotic laxative or mineral supplement. magnesium citrate is an osmotic. magnesium citrate is a saline laxative that is thought to work. Magnesium Citrate Laxative How It Works.
From www.walmart.com
TruMed Magnesium Citrate Saline Laxative Liquid Supplement 10 fl oz Grape Flavored Magnesium Citrate Laxative How It Works This softens the stool, making it easier to have a bowel. magnesium citrate is commonly used as an osmotic laxative or mineral supplement. It usually results in a bowel movement. magnesium citrate is an osmotic. how magnesium citrate works. Experts recommend magnesium citrate or magnesium oxide, and say the oral route is. Magnesium citrate is in a. Magnesium Citrate Laxative How It Works.
From thefitnessmanual.com
How Does Magnesium Citrate Work As A Laxative TheFitnessManual Magnesium Citrate Laxative How It Works Magnesium citrate is a saline laxative. It helps your intestines hold onto water,. it works by increasing the amount of water your intestine absorbs. This softens the stool, making it easier to have a bowel. You can buy this medication at a drugstore without a. magnesium citrate is an osmotic. Magnesium citrate is in a class of. It. Magnesium Citrate Laxative How It Works.
From jeritek.com
GeriCare® Magnesium Citrate Laxative Jeritek LLC Magnesium Citrate Laxative How It Works magnesium citrate is a saline laxative that is thought to work by increasing fluid in the small intestine. how magnesium citrate works. it works by increasing the amount of water your intestine absorbs. This softens the stool, making it easier to have a bowel. Magnesium citrate is a saline laxative. It helps your intestines hold onto water,.. Magnesium Citrate Laxative How It Works.
From exozagkku.blob.core.windows.net
How Does Magnesium Citrate Work For Constipation at Diane Downs blog Magnesium Citrate Laxative How It Works magnesium citrate is commonly used as an osmotic laxative or mineral supplement. It usually results in a bowel movement. You can buy this medication at a drugstore without a. Experts recommend magnesium citrate or magnesium oxide, and say the oral route is. Magnesium citrate is in a class of. magnesium citrate is a saline laxative that is thought. Magnesium Citrate Laxative How It Works.
From www.walmart.com
Equate Magnesium Citrate Saline Laxative Lemon Flavor, 10 Oz Magnesium Citrate Laxative How It Works This softens the stool, making it easier to have a bowel. It usually results in a bowel movement. magnesium citrate is a saline laxative that is thought to work by increasing fluid in the small intestine. Experts recommend magnesium citrate or magnesium oxide, and say the oral route is. It helps your intestines hold onto water,. You can buy. Magnesium Citrate Laxative How It Works.
From dxooqczjh.blob.core.windows.net
Magnesium Drink Laxative at Glenn Gonsalves blog Magnesium Citrate Laxative How It Works Experts recommend magnesium citrate or magnesium oxide, and say the oral route is. Magnesium citrate is a saline laxative. it works by increasing the amount of water your intestine absorbs. It helps your intestines hold onto water,. magnesium citrate is a saline laxative that is thought to work by increasing fluid in the small intestine. magnesium citrate. Magnesium Citrate Laxative How It Works.
From dailymed.nlm.nih.gov
TrueMed Magnesium Citrate Saline Laxative Lemon Magnesium Citrate Laxative How It Works magnesium citrate is a saline laxative that is thought to work by increasing fluid in the small intestine. magnesium citrate is an osmotic. how magnesium citrate works. Experts recommend magnesium citrate or magnesium oxide, and say the oral route is. It helps your intestines hold onto water,. Magnesium citrate is a saline laxative. it works by. Magnesium Citrate Laxative How It Works.
From www.walmart.com
Equate Magnesium Citrate Saline Laxative Liquid Supplement, Lemon Flavor, 10 fl oz Magnesium Citrate Laxative How It Works how magnesium citrate works. This softens the stool, making it easier to have a bowel. You can buy this medication at a drugstore without a. magnesium citrate is a saline laxative that is thought to work by increasing fluid in the small intestine. Experts recommend magnesium citrate or magnesium oxide, and say the oral route is. magnesium. Magnesium Citrate Laxative How It Works.
From thefitnessmanual.com
How To Take Magnesium Citrate Laxative TheFitnessManual Magnesium Citrate Laxative How It Works Magnesium citrate is a saline laxative. Experts recommend magnesium citrate or magnesium oxide, and say the oral route is. how magnesium citrate works. magnesium citrate is an osmotic. You can buy this medication at a drugstore without a. it works by increasing the amount of water your intestine absorbs. This softens the stool, making it easier to. Magnesium Citrate Laxative How It Works.
From www.ubuy.co.in
Equate Magnesium Citrate Liquid Laxative Oral India Ubuy Magnesium Citrate Laxative How It Works It helps your intestines hold onto water,. You can buy this medication at a drugstore without a. magnesium citrate is commonly used as an osmotic laxative or mineral supplement. magnesium citrate is an osmotic. it works by increasing the amount of water your intestine absorbs. This softens the stool, making it easier to have a bowel. Magnesium. Magnesium Citrate Laxative How It Works.
From www.amazon.com
Magnesium Citrate Liquid Laxative Magnesium for Constipation Laxatives for Magnesium Citrate Laxative How It Works magnesium citrate is an osmotic. Experts recommend magnesium citrate or magnesium oxide, and say the oral route is. magnesium citrate is commonly used as an osmotic laxative or mineral supplement. This softens the stool, making it easier to have a bowel. Magnesium citrate is in a class of. You can buy this medication at a drugstore without a.. Magnesium Citrate Laxative How It Works.
From druggenius.com
How Long Does It Take for Magnesium Citrate to Work? Drug Genius Magnesium Citrate Laxative How It Works You can buy this medication at a drugstore without a. Magnesium citrate is a saline laxative. how magnesium citrate works. It usually results in a bowel movement. magnesium citrate is an osmotic. magnesium citrate is commonly used as an osmotic laxative or mineral supplement. it works by increasing the amount of water your intestine absorbs. Experts. Magnesium Citrate Laxative How It Works.
From www.walgreens.com
Walgreens Magnesium Citrate Saline Laxative/Oral Solution Cherry Walgreens Magnesium Citrate Laxative How It Works Magnesium citrate is in a class of. magnesium citrate is a saline laxative that is thought to work by increasing fluid in the small intestine. Experts recommend magnesium citrate or magnesium oxide, and say the oral route is. You can buy this medication at a drugstore without a. This softens the stool, making it easier to have a bowel.. Magnesium Citrate Laxative How It Works.
From www.verywellhealth.com
Magnesium Citrate Benefits, Side Effects, and Dosage Magnesium Citrate Laxative How It Works magnesium citrate is a saline laxative that is thought to work by increasing fluid in the small intestine. You can buy this medication at a drugstore without a. it works by increasing the amount of water your intestine absorbs. Magnesium citrate is in a class of. It usually results in a bowel movement. Experts recommend magnesium citrate or. Magnesium Citrate Laxative How It Works.
From www.kroger.com
Kroger® Lemony Flavor Magnesium Citrate Saline Laxative, 10 fl oz Kroger Magnesium Citrate Laxative How It Works it works by increasing the amount of water your intestine absorbs. how magnesium citrate works. Magnesium citrate is in a class of. magnesium citrate is an osmotic. magnesium citrate is commonly used as an osmotic laxative or mineral supplement. It usually results in a bowel movement. Experts recommend magnesium citrate or magnesium oxide, and say the. Magnesium Citrate Laxative How It Works.
From start-slim.blogspot.com
Let Start Slim Today Magnesium Citrate For Constipation + Other Benefits!!! Magnesium Citrate Laxative How It Works magnesium citrate is a saline laxative that is thought to work by increasing fluid in the small intestine. It helps your intestines hold onto water,. This softens the stool, making it easier to have a bowel. magnesium citrate is an osmotic. it works by increasing the amount of water your intestine absorbs. magnesium citrate is commonly. Magnesium Citrate Laxative How It Works.
From fda.report
MAGNESIUM CITRATE SALINE LAXATIVE magnesium citrate liquid Magnesium Citrate Laxative How It Works magnesium citrate is commonly used as an osmotic laxative or mineral supplement. It usually results in a bowel movement. You can buy this medication at a drugstore without a. It helps your intestines hold onto water,. This softens the stool, making it easier to have a bowel. Magnesium citrate is a saline laxative. Experts recommend magnesium citrate or magnesium. Magnesium Citrate Laxative How It Works.
From www.walmart.com
Equate Magnesium Citrate Saline Laxative Liquid Supplement, Cherry Flavor, 10 fl oz Magnesium Citrate Laxative How It Works magnesium citrate is commonly used as an osmotic laxative or mineral supplement. how magnesium citrate works. magnesium citrate is an osmotic. Magnesium citrate is a saline laxative. It usually results in a bowel movement. It helps your intestines hold onto water,. This softens the stool, making it easier to have a bowel. You can buy this medication. Magnesium Citrate Laxative How It Works.
From www.walmart.com
Laxative Magnesium Citrate Magnesium Citrate Laxative How It Works magnesium citrate is a saline laxative that is thought to work by increasing fluid in the small intestine. magnesium citrate is commonly used as an osmotic laxative or mineral supplement. Magnesium citrate is a saline laxative. it works by increasing the amount of water your intestine absorbs. magnesium citrate is an osmotic. Magnesium citrate is in. Magnesium Citrate Laxative How It Works.
From hubpages.com
Magnesium Citrate Laxative HubPages Magnesium Citrate Laxative How It Works it works by increasing the amount of water your intestine absorbs. It helps your intestines hold onto water,. magnesium citrate is commonly used as an osmotic laxative or mineral supplement. Magnesium citrate is in a class of. This softens the stool, making it easier to have a bowel. It usually results in a bowel movement. how magnesium. Magnesium Citrate Laxative How It Works.
From www.walmart.com
sunmark Magnesium Citrate Saline Laxative Oral Solution, 1 Count Magnesium Citrate Laxative How It Works Magnesium citrate is a saline laxative. Magnesium citrate is in a class of. This softens the stool, making it easier to have a bowel. magnesium citrate is an osmotic. how magnesium citrate works. it works by increasing the amount of water your intestine absorbs. magnesium citrate is commonly used as an osmotic laxative or mineral supplement.. Magnesium Citrate Laxative How It Works.
From www.heb.com
HEB Magnesium Citrate Saline Laxative Grape Oral Solution Shop Digestion & Nausea at HEB Magnesium Citrate Laxative How It Works it works by increasing the amount of water your intestine absorbs. This softens the stool, making it easier to have a bowel. Magnesium citrate is in a class of. It usually results in a bowel movement. Magnesium citrate is a saline laxative. Experts recommend magnesium citrate or magnesium oxide, and say the oral route is. magnesium citrate is. Magnesium Citrate Laxative How It Works.