Calcium Fluoride Ksp . ) for compounds at 25°c. Calcium fluoride (caf 2) is slightly soluble in water and dissolves as follows: Determine the k sp of calcium fluoride (caf 2), given that its molar solubility is 2.14 x 10¯ 4 moles per liter. At 25°c and ph 7.00, ksp for calcium phosphate is 2.07 × 10 −33, indicating that the concentrations of ca 2 + and po 4 3 − ions in solution that. 69 rows the ksp table page at umass provides solubility product constants for various compounds. 133 rows although all compounds have a characteristic solubility in water at a given temperature, some families of compounds are. Crc handbook of chemistry and. Ca (io 3) 2 · 6h 2 o.
from www.chegg.com
Ca (io 3) 2 · 6h 2 o. Calcium fluoride (caf 2) is slightly soluble in water and dissolves as follows: Determine the k sp of calcium fluoride (caf 2), given that its molar solubility is 2.14 x 10¯ 4 moles per liter. 69 rows the ksp table page at umass provides solubility product constants for various compounds. At 25°c and ph 7.00, ksp for calcium phosphate is 2.07 × 10 −33, indicating that the concentrations of ca 2 + and po 4 3 − ions in solution that. ) for compounds at 25°c. 133 rows although all compounds have a characteristic solubility in water at a given temperature, some families of compounds are. Crc handbook of chemistry and.
Solved What is the molar solubility of Calcium Fluoride?
Calcium Fluoride Ksp ) for compounds at 25°c. 69 rows the ksp table page at umass provides solubility product constants for various compounds. Calcium fluoride (caf 2) is slightly soluble in water and dissolves as follows: Determine the k sp of calcium fluoride (caf 2), given that its molar solubility is 2.14 x 10¯ 4 moles per liter. At 25°c and ph 7.00, ksp for calcium phosphate is 2.07 × 10 −33, indicating that the concentrations of ca 2 + and po 4 3 − ions in solution that. Ca (io 3) 2 · 6h 2 o. ) for compounds at 25°c. Crc handbook of chemistry and. 133 rows although all compounds have a characteristic solubility in water at a given temperature, some families of compounds are.
From www.chegg.com
Solved 9. Given that the Ksp for calcium fluoride [CaF2] is Calcium Fluoride Ksp 133 rows although all compounds have a characteristic solubility in water at a given temperature, some families of compounds are. Ca (io 3) 2 · 6h 2 o. ) for compounds at 25°c. At 25°c and ph 7.00, ksp for calcium phosphate is 2.07 × 10 −33, indicating that the concentrations of ca 2 + and po 4 3 −. Calcium Fluoride Ksp.
From www.chegg.com
Solved Does calcium fluoride (CaF2) precipitate when 10.0 Calcium Fluoride Ksp At 25°c and ph 7.00, ksp for calcium phosphate is 2.07 × 10 −33, indicating that the concentrations of ca 2 + and po 4 3 − ions in solution that. Calcium fluoride (caf 2) is slightly soluble in water and dissolves as follows: Ca (io 3) 2 · 6h 2 o. 69 rows the ksp table page at umass. Calcium Fluoride Ksp.
From www.numerade.com
SOLVED One liter of saturated calcium fluoride solution contains 0. Calcium Fluoride Ksp 133 rows although all compounds have a characteristic solubility in water at a given temperature, some families of compounds are. 69 rows the ksp table page at umass provides solubility product constants for various compounds. Ca (io 3) 2 · 6h 2 o. Determine the k sp of calcium fluoride (caf 2), given that its molar solubility is 2.14 x. Calcium Fluoride Ksp.
From www.chegg.com
Solved 10. Calculate Ksp for calcium fluoride if a saturated Calcium Fluoride Ksp At 25°c and ph 7.00, ksp for calcium phosphate is 2.07 × 10 −33, indicating that the concentrations of ca 2 + and po 4 3 − ions in solution that. ) for compounds at 25°c. Ca (io 3) 2 · 6h 2 o. Calcium fluoride (caf 2) is slightly soluble in water and dissolves as follows: Determine the k. Calcium Fluoride Ksp.
From www.slideserve.com
PPT THIS PowerPoint Presentation, free download ID2435962 Calcium Fluoride Ksp Ca (io 3) 2 · 6h 2 o. 69 rows the ksp table page at umass provides solubility product constants for various compounds. ) for compounds at 25°c. At 25°c and ph 7.00, ksp for calcium phosphate is 2.07 × 10 −33, indicating that the concentrations of ca 2 + and po 4 3 − ions in solution that. Crc. Calcium Fluoride Ksp.
From www.chegg.com
Solved The solubility of calcium fluoride (Ksp 4x1011 ) in Calcium Fluoride Ksp 133 rows although all compounds have a characteristic solubility in water at a given temperature, some families of compounds are. ) for compounds at 25°c. At 25°c and ph 7.00, ksp for calcium phosphate is 2.07 × 10 −33, indicating that the concentrations of ca 2 + and po 4 3 − ions in solution that. Determine the k sp. Calcium Fluoride Ksp.
From www.numerade.com
SOLVED Calculate the solubility of calcium fluoride at pH 2.00. Ksp Calcium Fluoride Ksp ) for compounds at 25°c. Crc handbook of chemistry and. 69 rows the ksp table page at umass provides solubility product constants for various compounds. Calcium fluoride (caf 2) is slightly soluble in water and dissolves as follows: At 25°c and ph 7.00, ksp for calcium phosphate is 2.07 × 10 −33, indicating that the concentrations of ca 2 +. Calcium Fluoride Ksp.
From fphoto.photoshelter.com
science chemistry experiment solubility Fundamental Photographs The Calcium Fluoride Ksp ) for compounds at 25°c. At 25°c and ph 7.00, ksp for calcium phosphate is 2.07 × 10 −33, indicating that the concentrations of ca 2 + and po 4 3 − ions in solution that. Crc handbook of chemistry and. Ca (io 3) 2 · 6h 2 o. 133 rows although all compounds have a characteristic solubility in water. Calcium Fluoride Ksp.
From www.numerade.com
SOLVED 7. CuBr(s) LD Cu2t(aq) Br (aq) CaF2(s) 4 Ca2t(aq) 2 F(aq) Ksp Calcium Fluoride Ksp Determine the k sp of calcium fluoride (caf 2), given that its molar solubility is 2.14 x 10¯ 4 moles per liter. ) for compounds at 25°c. At 25°c and ph 7.00, ksp for calcium phosphate is 2.07 × 10 −33, indicating that the concentrations of ca 2 + and po 4 3 − ions in solution that. Crc handbook. Calcium Fluoride Ksp.
From www.numerade.com
SOLVED Calculate Qsp for calcium fluoride (Ksp = 3.9 × 10^–11) when Calcium Fluoride Ksp Calcium fluoride (caf 2) is slightly soluble in water and dissolves as follows: At 25°c and ph 7.00, ksp for calcium phosphate is 2.07 × 10 −33, indicating that the concentrations of ca 2 + and po 4 3 − ions in solution that. 133 rows although all compounds have a characteristic solubility in water at a given temperature, some. Calcium Fluoride Ksp.
From www.youtube.com
Quick video Calculating the molar solubility of calcium fluoride in Calcium Fluoride Ksp Ca (io 3) 2 · 6h 2 o. Determine the k sp of calcium fluoride (caf 2), given that its molar solubility is 2.14 x 10¯ 4 moles per liter. 69 rows the ksp table page at umass provides solubility product constants for various compounds. 133 rows although all compounds have a characteristic solubility in water at a given temperature,. Calcium Fluoride Ksp.
From www.numerade.com
SOLVED Question 17 2 pts Rank the following in order of decreasing Calcium Fluoride Ksp Crc handbook of chemistry and. ) for compounds at 25°c. 133 rows although all compounds have a characteristic solubility in water at a given temperature, some families of compounds are. Calcium fluoride (caf 2) is slightly soluble in water and dissolves as follows: 69 rows the ksp table page at umass provides solubility product constants for various compounds. Determine the. Calcium Fluoride Ksp.
From www.crystran.co.uk
Calcium Fluoride CaF2 Calcium Fluoride Ksp 69 rows the ksp table page at umass provides solubility product constants for various compounds. Calcium fluoride (caf 2) is slightly soluble in water and dissolves as follows: Ca (io 3) 2 · 6h 2 o. Crc handbook of chemistry and. At 25°c and ph 7.00, ksp for calcium phosphate is 2.07 × 10 −33, indicating that the concentrations of. Calcium Fluoride Ksp.
From mydiagram.online
[DIAGRAM] Bohr Diagram For Calcium Fluoride Calcium Fluoride Ksp ) for compounds at 25°c. Calcium fluoride (caf 2) is slightly soluble in water and dissolves as follows: Crc handbook of chemistry and. Ca (io 3) 2 · 6h 2 o. 69 rows the ksp table page at umass provides solubility product constants for various compounds. At 25°c and ph 7.00, ksp for calcium phosphate is 2.07 × 10 −33,. Calcium Fluoride Ksp.
From www.lookfordiagnosis.com
Calcium Fluoride Calcium Fluoride Ksp ) for compounds at 25°c. 69 rows the ksp table page at umass provides solubility product constants for various compounds. Determine the k sp of calcium fluoride (caf 2), given that its molar solubility is 2.14 x 10¯ 4 moles per liter. Crc handbook of chemistry and. At 25°c and ph 7.00, ksp for calcium phosphate is 2.07 × 10. Calcium Fluoride Ksp.
From www.youtube.com
Calcium Fluoride Crystal Structure YouTube Calcium Fluoride Ksp 133 rows although all compounds have a characteristic solubility in water at a given temperature, some families of compounds are. ) for compounds at 25°c. 69 rows the ksp table page at umass provides solubility product constants for various compounds. Calcium fluoride (caf 2) is slightly soluble in water and dissolves as follows: Ca (io 3) 2 · 6h 2. Calcium Fluoride Ksp.
From www.chegg.com
Solved Determine the Ksp of calcium fluoride (CaF2), given a Calcium Fluoride Ksp Calcium fluoride (caf 2) is slightly soluble in water and dissolves as follows: ) for compounds at 25°c. 133 rows although all compounds have a characteristic solubility in water at a given temperature, some families of compounds are. Ca (io 3) 2 · 6h 2 o. Determine the k sp of calcium fluoride (caf 2), given that its molar solubility. Calcium Fluoride Ksp.
From www.numerade.com
SOLVED Feedback H See Periodic Table See Hint Calculate Qsp for Calcium Fluoride Ksp 133 rows although all compounds have a characteristic solubility in water at a given temperature, some families of compounds are. ) for compounds at 25°c. Ca (io 3) 2 · 6h 2 o. Determine the k sp of calcium fluoride (caf 2), given that its molar solubility is 2.14 x 10¯ 4 moles per liter. 69 rows the ksp table. Calcium Fluoride Ksp.
From www.chegg.com
Solved What is the molar solubility of calcium fluoride in a Calcium Fluoride Ksp Determine the k sp of calcium fluoride (caf 2), given that its molar solubility is 2.14 x 10¯ 4 moles per liter. ) for compounds at 25°c. Calcium fluoride (caf 2) is slightly soluble in water and dissolves as follows: At 25°c and ph 7.00, ksp for calcium phosphate is 2.07 × 10 −33, indicating that the concentrations of ca. Calcium Fluoride Ksp.
From www.numerade.com
SOLVED Calculate the molar solubility, s, of calcium fluoride (Ksp = 3 Calcium Fluoride Ksp At 25°c and ph 7.00, ksp for calcium phosphate is 2.07 × 10 −33, indicating that the concentrations of ca 2 + and po 4 3 − ions in solution that. Ca (io 3) 2 · 6h 2 o. 69 rows the ksp table page at umass provides solubility product constants for various compounds. ) for compounds at 25°c. Crc. Calcium Fluoride Ksp.
From www.numerade.com
SOLVED calcium fluoride, CaF2 has a solubility product Ksp = 4.0 x 10 Calcium Fluoride Ksp At 25°c and ph 7.00, ksp for calcium phosphate is 2.07 × 10 −33, indicating that the concentrations of ca 2 + and po 4 3 − ions in solution that. 133 rows although all compounds have a characteristic solubility in water at a given temperature, some families of compounds are. 69 rows the ksp table page at umass provides. Calcium Fluoride Ksp.
From www.studocu.com
Quiz 3 quiz Question 1 10 out of 10 points What is the solubility Calcium Fluoride Ksp Ca (io 3) 2 · 6h 2 o. Calcium fluoride (caf 2) is slightly soluble in water and dissolves as follows: Crc handbook of chemistry and. Determine the k sp of calcium fluoride (caf 2), given that its molar solubility is 2.14 x 10¯ 4 moles per liter. At 25°c and ph 7.00, ksp for calcium phosphate is 2.07 ×. Calcium Fluoride Ksp.
From www.numerade.com
SOLVED Which of the following solubility product expressions is Calcium Fluoride Ksp Crc handbook of chemistry and. Determine the k sp of calcium fluoride (caf 2), given that its molar solubility is 2.14 x 10¯ 4 moles per liter. At 25°c and ph 7.00, ksp for calcium phosphate is 2.07 × 10 −33, indicating that the concentrations of ca 2 + and po 4 3 − ions in solution that. 133 rows. Calcium Fluoride Ksp.
From www.chegg.com
Solved 1) What is the molar solubility of calcium fluoride, Calcium Fluoride Ksp At 25°c and ph 7.00, ksp for calcium phosphate is 2.07 × 10 −33, indicating that the concentrations of ca 2 + and po 4 3 − ions in solution that. Ca (io 3) 2 · 6h 2 o. ) for compounds at 25°c. 133 rows although all compounds have a characteristic solubility in water at a given temperature, some. Calcium Fluoride Ksp.
From www.crystran.co.uk
Calcium Fluoride CaF2 Calcium Fluoride Ksp Determine the k sp of calcium fluoride (caf 2), given that its molar solubility is 2.14 x 10¯ 4 moles per liter. Crc handbook of chemistry and. At 25°c and ph 7.00, ksp for calcium phosphate is 2.07 × 10 −33, indicating that the concentrations of ca 2 + and po 4 3 − ions in solution that. Ca (io. Calcium Fluoride Ksp.
From www.belledentherapies.com
Calcium Fluoride Tablet 1 Belleden Therapies Calcium Fluoride Ksp ) for compounds at 25°c. 133 rows although all compounds have a characteristic solubility in water at a given temperature, some families of compounds are. Determine the k sp of calcium fluoride (caf 2), given that its molar solubility is 2.14 x 10¯ 4 moles per liter. Crc handbook of chemistry and. 69 rows the ksp table page at umass. Calcium Fluoride Ksp.
From www.numerade.com
SOLVED Lo allcmnpc IN See Periodic Table See Hint Calculate Qsp for Calcium Fluoride Ksp 69 rows the ksp table page at umass provides solubility product constants for various compounds. At 25°c and ph 7.00, ksp for calcium phosphate is 2.07 × 10 −33, indicating that the concentrations of ca 2 + and po 4 3 − ions in solution that. ) for compounds at 25°c. Crc handbook of chemistry and. 133 rows although all. Calcium Fluoride Ksp.
From www.numerade.com
SOLVED Lo allcmnpc IN See Periodic Table See Hint Calculate Qsp for Calcium Fluoride Ksp Ca (io 3) 2 · 6h 2 o. Calcium fluoride (caf 2) is slightly soluble in water and dissolves as follows: 69 rows the ksp table page at umass provides solubility product constants for various compounds. 133 rows although all compounds have a characteristic solubility in water at a given temperature, some families of compounds are. Determine the k sp. Calcium Fluoride Ksp.
From www.chegg.com
Solved Determine the Ksp of calcium fluoride (CaF2). given Calcium Fluoride Ksp Calcium fluoride (caf 2) is slightly soluble in water and dissolves as follows: 69 rows the ksp table page at umass provides solubility product constants for various compounds. ) for compounds at 25°c. Ca (io 3) 2 · 6h 2 o. Crc handbook of chemistry and. At 25°c and ph 7.00, ksp for calcium phosphate is 2.07 × 10 −33,. Calcium Fluoride Ksp.
From www.numerade.com
SOLVED A.) Calculate the molar solubility of strontium fluoride, SrF2 Calcium Fluoride Ksp Ca (io 3) 2 · 6h 2 o. 69 rows the ksp table page at umass provides solubility product constants for various compounds. 133 rows although all compounds have a characteristic solubility in water at a given temperature, some families of compounds are. Determine the k sp of calcium fluoride (caf 2), given that its molar solubility is 2.14 x. Calcium Fluoride Ksp.
From www.chegg.com
Solved What is the molar solubility of Calcium Fluoride? Calcium Fluoride Ksp Crc handbook of chemistry and. Calcium fluoride (caf 2) is slightly soluble in water and dissolves as follows: Ca (io 3) 2 · 6h 2 o. 69 rows the ksp table page at umass provides solubility product constants for various compounds. At 25°c and ph 7.00, ksp for calcium phosphate is 2.07 × 10 −33, indicating that the concentrations of. Calcium Fluoride Ksp.
From www.numerade.com
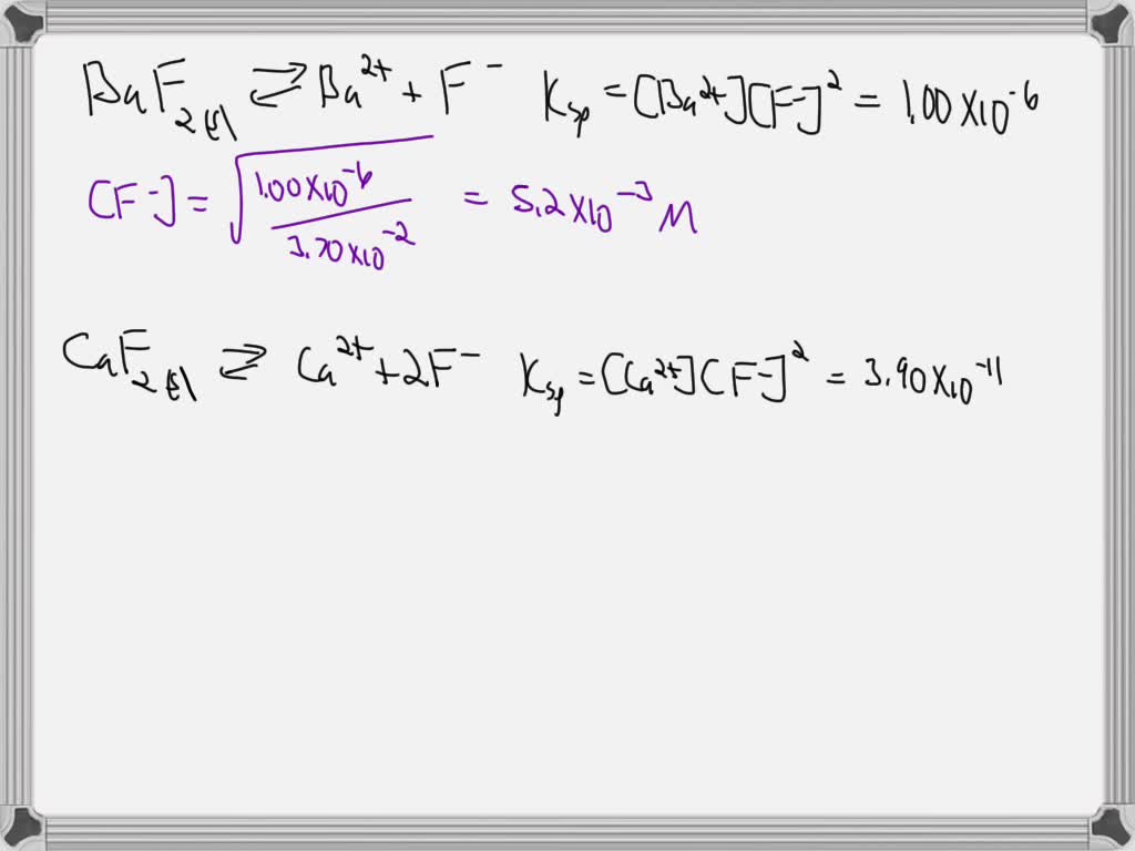
SOLVED Question 16 The Ksp of barium fluoride is 1.00 x 106The Ksp of Calcium Fluoride Ksp ) for compounds at 25°c. Crc handbook of chemistry and. 69 rows the ksp table page at umass provides solubility product constants for various compounds. Ca (io 3) 2 · 6h 2 o. At 25°c and ph 7.00, ksp for calcium phosphate is 2.07 × 10 −33, indicating that the concentrations of ca 2 + and po 4 3 −. Calcium Fluoride Ksp.
From sdcychem.com
Calcium fluoride CAS 7789755 SDCY CHEM Calcium Fluoride Ksp Ca (io 3) 2 · 6h 2 o. Crc handbook of chemistry and. 133 rows although all compounds have a characteristic solubility in water at a given temperature, some families of compounds are. ) for compounds at 25°c. 69 rows the ksp table page at umass provides solubility product constants for various compounds. At 25°c and ph 7.00, ksp for. Calcium Fluoride Ksp.
From www.numerade.com
SOLVED The Ksp of barium fluoride is 1.00 x 10^–6. The Ksp of Calcium Fluoride Ksp At 25°c and ph 7.00, ksp for calcium phosphate is 2.07 × 10 −33, indicating that the concentrations of ca 2 + and po 4 3 − ions in solution that. Crc handbook of chemistry and. Calcium fluoride (caf 2) is slightly soluble in water and dissolves as follows: 133 rows although all compounds have a characteristic solubility in water. Calcium Fluoride Ksp.
From www.bossgoo.com
Calcium Fluoride Ksp, High Quality Calcium Fluoride Ksp on Calcium Fluoride Ksp Calcium fluoride (caf 2) is slightly soluble in water and dissolves as follows: 69 rows the ksp table page at umass provides solubility product constants for various compounds. Ca (io 3) 2 · 6h 2 o. 133 rows although all compounds have a characteristic solubility in water at a given temperature, some families of compounds are. Crc handbook of chemistry. Calcium Fluoride Ksp.